Analysis of Dangerous Sea States in the Northwestern Mediterranean Area
Abstract
1. Introduction
2. Numerical Methods
2.1. Higher Order Spectral Method
2.2. WaveWatch III Hindcast
2.3. Numerical Simulations
3. Results and Discussion
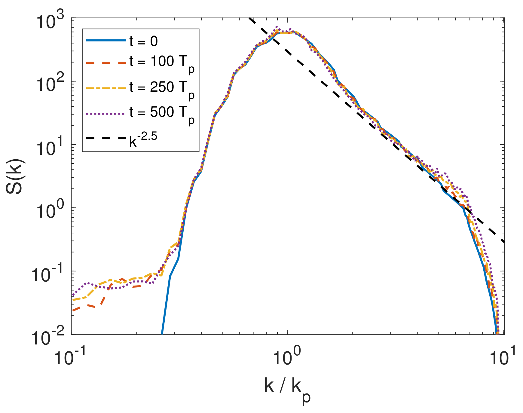
3.1. Spectral Evolution
3.2. Wave Statistics
3.2.1. Integral Statistics
3.2.2. Crest Distributions
3.2.3. Dependence of Statistics on Macroscopic Observables
- the steepness parameter is estimated from the skewness of the surface elevation, ;
- the steepness parameter is estimated a priori from the peak wavenumber, ;
- the steepness parameter is estimated a priori from the mean wavenumber, ;
- the steepness parameter is estimated a priori from the mean wavenumber and corrected with the bandwidth , [9].
- from the skewness of the surface elevation;
- a priori from the peak wavenumber.
4. Conclusions
Author Contributions
Funding
Institutional Review Board Statement
Informed Consent Statement
Data Availability Statement
Acknowledgments
Conflicts of Interest
Appendix A
Appendix A.1. Spectral Integral Quantities
Appendix A.2. Physical Integral Quantities
Appendix A.3. Theoretical Distributions
References
- Didenkulova, I.; Slunyaev, A.; Pelinovsky, E.; Kharif, C. Freak waves in 2005. Nat. Hazards Earth Syst. Sci. 2006, 6, 1007–1015. [Google Scholar] [CrossRef]
- Nikolkina, I.; Didenkulova, I. Rogue waves in 2006–2010. Nat. Hazards Earth Syst. Sci. 2011, 11, 2913–2924. [Google Scholar] [CrossRef]
- Didenkulova, E. Catalogue of rogue waves occurred in the World Ocean from 2011 to 2018 reported by mass media sources. Ocean. Coast. Manag. 2020, 188, 105076. [Google Scholar] [CrossRef]
- Kharif, C.; Pelinovsky, E. Physical mechanisms of the rogue wave phenomenon. Eur. J. Mech. B/Fluids 2003, 22, 603–634. [Google Scholar] [CrossRef]
- Dysthe, K.; Krogstad, H.E.; Müller, P. Oceanic rogue waves. Annu. Rev. Fluid Mech. 2008, 40, 287–310. [Google Scholar] [CrossRef]
- Onorato, M.; Residori, S.; Bortolozzo, U.; Montina, A.; Arecchi, F. Rogue waves and their generating mechanisms in different physical contexts. Phys. Rep. 2013, 528, 47–89. [Google Scholar] [CrossRef]
- Fedele, F.; Brennan, J.; De León, S.P.; Dudley, J.; Dias, F. Real world ocean rogue waves explained without the modulational instability. Sci. Rep. 2016, 6, 27715. [Google Scholar] [CrossRef]
- Mori, N.; Liu, P.C.; Yasuda, T. Analysis of freak wave measurements in the Sea of Japan. Ocean. Eng. 2002, 29, 1399–1414. [Google Scholar] [CrossRef]
- Fedele, F.; Tayfun, M.A. On nonlinear wave groups and crest statistics. J. Fluid Mech. 2009, 620, 221. [Google Scholar] [CrossRef]
- Onorato, M.; Osborne, A.R.; Serio, M.; Cavaleri, L.; Brandini, C.; Stansberg, C. Observation of strongly non-Gaussian statistics for random sea surface gravity waves in wave flume experiments. Phys. Rev. E 2004, 70, 067302. [Google Scholar] [CrossRef]
- Cavaleri, L.; Bertotti, L.; Torrisi, L.; Bitner-Gregersen, E.; Serio, M.; Onorato, M. Rogue waves in crossing seas: The Louis Majesty accident. J. Geophys. Res. Ocean. 2012, 117. [Google Scholar] [CrossRef]
- Komen, G.J.; Cavaleri, L.; Donelan, M.; Hasselmann, K.; Hasselmann, S.; Janssen, P. Dynamics and Modelling of Ocean Waves; Cambridge University Press: Cambridge, UK, 1996. [Google Scholar]
- Tolman, H.L. User manual and system documentation of WAVEWATCH III TM version 3.14. MMAB Contrib. 2009, 276, 220. [Google Scholar]
- Barbariol, F.; Alves, J.H.G.; Benetazzo, A.; Bergamasco, F.; Bertotti, L.; Carniel, S.; Cavaleri, L.; Chao, Y.Y.; Chawla, A.; Ricchi, A.; et al. Numerical modeling of space-time wave extremes using WAVEWATCH III. Ocean Dyn. 2017, 67, 535–549. [Google Scholar] [CrossRef]
- Benetazzo, A.; Barbariol, F.; Pezzutto, P.; Staneva, J.; Behrens, A.; Davison, S.; Bergamasco, F.; Sclavo, M.; Cavaleri, L. Towards a unified framework for extreme sea waves from spectral models: Rationale and applications. Ocean Eng. 2021, 219, 108263. [Google Scholar] [CrossRef]
- Brebbia, C.A. The Boundary Element Method for Engineers; Number BOOK; Pentech Press: Devon, UK, 1980. [Google Scholar]
- Grilli, S.T.; Guyenne, P.; Dias, F. A fully nonlinear model for three-dimensional overturning waves over an arbitrary bottom. Int. J. Numer. Methods Fluids 2001, 35, 829–867. [Google Scholar] [CrossRef]
- Dommermuth, D.G.; Yue, D.K. A high-order spectral method for the study of nonlinear gravity waves. J. Fluid Mech. 1987, 184, 267–288. [Google Scholar] [CrossRef]
- West, B.J.; Brueckner, K.A.; Janda, R.S.; Milder, D.M.; Milton, R.L. A new numerical method for surface hydrodynamics. J. Geophys. Res. Ocean. 1987, 92, 11803–11824. [Google Scholar] [CrossRef]
- Brandini, C. Nonlinear Interaction Processes in Extreme Waves Dynamics. Ph.D. Thesis, Università di Firenze, Florence, Italy, 2000. [Google Scholar]
- Tanaka, M. A method of studying nonlinear random field of surface gravity waves by direct numerical simulation. Fluid Dyn. Res. 2001, 28, 41. [Google Scholar] [CrossRef]
- Toffoli, A.; Bitner-Gregersen, E.; Osborne, A.R.; Serio, M.; Monbaliu, J.; Onorato, M. Extreme waves in random crossing seas: Laboratory experiments and numerical simulations. Geophys. Res. Lett. 2011, 38. [Google Scholar] [CrossRef]
- Ducrozet, G.; Bonnefoy, F.; Le Touzé, D.; Ferrant, P. 3D HOS simulations of extreme waves in open seas. Nat. Hazards Earth Syst. Sci. 2007, 7, 109–122. [Google Scholar] [CrossRef]
- Xiao, W.; Liu, Y.; Wu, G.; Yue, D.K. Rogue wave occurrence and dynamics by direct simulations of nonlinear wave-field evolution. J. Fluid Mech. 2013, 720, 357–392. [Google Scholar] [CrossRef]
- Bitner-Gregersen, E.; Fernández, L.; Lefèvre, J.; Monbaliu, J.; Toffoli, A. The North Sea Andrea storm and numerical simulations. Nat. Hazards Earth Syst. Sci. 2014, 14, 1407. [Google Scholar] [CrossRef]
- Dias, F.; Brennan, J.; Ponce de León, S.; Clancy, C.; Dudley, J. Local analysis of wave fields produced from hindcasted rogue wave sea states. In International Conference on Offshore Mechanics and Arctic Engineering; American Society of Mechanical Engineers: New York, NY, USA, 2015; Volume 56499, p. V003T02A020. [Google Scholar]
- Vannucchi, V.; Taddei, S.; Capecchi, V.; Bendoni, M.; Brandini, C. Dynamical Downscaling of ERA5 Data on the North-Western Mediterranean Sea: From Atmosphere to High-Resolution Coastal Wave Climate. J. Mar. Sci. Eng. 2021, 9, 208. [Google Scholar] [CrossRef]
- Bonnefoy, F.; Ducrozet, G.; Le Touzé, D.; Ferrant, P. Time domain simulation of nonlinear water waves using spectral methods. In Advances in Numerical Simulation of Nonlinear Water Waves; World Scientific: Singapore, 2010; pp. 129–164. [Google Scholar]
- Ducrozet, G.; Bonnefoy, F.; Le Touzé, D.; Ferrant, P. HOS-ocean: Open-source solver for nonlinear waves in open ocean based on High-Order Spectral method. Comput. Phys. Commun. 2016, 203, 245–254. [Google Scholar] [CrossRef]
- Touboul, J. On the influence of wind on extreme wave events. Nat. Hazards Earth Syst. Sci. 2007, 7, 123–128. [Google Scholar] [CrossRef][Green Version]
- Seiffert, B.R.; Ducrozet, G. Simulation of breaking waves using the high-order spectral method with laboratory experiments: Wave-breaking energy dissipation. Ocean Dyn. 2018, 68, 65–89. [Google Scholar] [CrossRef]
- Dommermuth, D. The initialization of nonlinear waves using an adjustment scheme. Wave Motion 2000, 32, 307–317. [Google Scholar] [CrossRef]
- Bonnefoy, F. Modélisation Expérimentale et Numérique des états de mer Complexes. Ph.D. Thesis, Université de Nantes, Nantes, France, 2005. [Google Scholar]
- Ducrozet, G. Modelisation of Nonlinear Processes in Generation and Propagation of Sea States with a Spectral Approach. Ph.D. Thesis, Université de Nantes, Nantes, France, 2007. [Google Scholar]
- Brandini, C.; Capecchi, V.; Pasi, F.; Taddei, S.; Vannucchi, V. Special Project Progress Report SPITBRAN, Evaluation of Coastal Climate Trends in the Mediterranean Area by Means of High-Resolution and Multi-Model Downscaling of ERA5 Reanalysis; Technical Report; LaMMA Consortium: Florence, Italy, 2019. [Google Scholar]
- Hasselmann, S.; Hasselmann, K.; Allender, J.; Barnett, T. Computations and parameterizations of the nonlinear energy transfer in a gravity-wave specturm. Part II: Parameterizations of the nonlinear energy transfer for application in wave models. J. Phys. Oceanogr. 1985, 15, 1378–1391. [Google Scholar] [CrossRef]
- Ardhuin, F.; Rogers, E.; Babanin, A.V.; Filipot, J.F.; Magne, R.; Roland, A.; Van Der Westhuysen, A.; Queffeulou, P.; Lefevre, J.M.; Aouf, L.; et al. Semiempirical dissipation source functions for ocean waves. Part I: Definition, calibration, and validation. J. Phys. Oceanogr. 2010, 40, 1917–1941. [Google Scholar] [CrossRef]
- Leckler, F.; Ardhuin, F.; Filipot, J.F.; Mironov, A. Dissipation source terms and whitecap statistics. Ocean Model. 2013, 70, 62–74. [Google Scholar] [CrossRef][Green Version]
- Buzzi, A.; Davolio, S.; Malguzzi, P.; Drofa, O.; Mastrangelo, D. Heavy rainfall episodes over Liguria in autumn 2011: Numerical forecasting experiments. Nat. Hazards Earth Syst. Sci. 2014, 14, 1325–1340. [Google Scholar] [CrossRef]
- Malguzzi, P.; Grossi, G.; Buzzi, A.; Ranzi, R.; Buizza, R. The 1966 “century” flood in Italy: A meteorological and hydrological revisitation. J. Geophys. Res. Atmos. 2006, 111. [Google Scholar] [CrossRef]
- Conjunto de Datos: REDEXT. Technical Report. Puertos del Estado. 2015. Available online: https://bancodatos.puertos.es/BD/informes/INT_2.pdf (accessed on 1 September 2020).
- Ducrozet, G.; Bonnefoy, F.; Perignon, Y. Applicability and limitations of highly nonlinear potential flow solvers in the context of water waves. Ocean Eng. 2017, 142, 233–244. [Google Scholar] [CrossRef]
- Toffoli, A.; Gramstad, O.; Trulsen, K.; Monbaliu, J.; Bitner-Gregersen, E.; Onorato, M. Evolution of weakly nonlinear random directional waves: Laboratory experiments and numerical simulations. J. Fluid Mech. 2010, 664, 313. [Google Scholar] [CrossRef]
- Trulsen, K.; Nieto Borge, J.C.; Gramstad, O.; Aouf, L.; Lefèvre, J.M. Crossing sea state and rogue wave probability during the P restige accident. J. Geophys. Res. Ocean. 2015, 120, 7113–7136. [Google Scholar] [CrossRef]
- Zakharov, V.; Filonenko, N. Energy spectrum for stochastic oscillations of the surface of a liquid. Sov. Phys. Dokl. 1967, 11, 881. [Google Scholar]
- Onorato, M.; Osborne, A.R.; Serio, M.; Resio, D.; Pushkarev, A.; Zakharov, V.E.; Brandini, C. Freely decaying weak turbulence for sea surface gravity waves. Phys. Rev. Lett. 2002, 89, 144501. [Google Scholar] [CrossRef] [PubMed]
- Janssen, P.A. Nonlinear four-wave interactions and freak waves. J. Phys. Oceanogr. 2003, 33, 863–884. [Google Scholar]
- Mori, N.; Janssen, P.A. On kurtosis and occurrence probability of freak waves. J. Phys. Oceanogr. 2006, 36, 1471–1483. [Google Scholar] [CrossRef]
- Toffoli, A.; Benoit, M.; Onorato, M.; Bitner-Gregersen, E. The effect of third-order nonlinearity on statistical properties of random directional waves in finite depth. Nonlinear Process. Geophys. 2009, 16, 131. [Google Scholar]
- Mori, N.; Onorato, M.; Janssen, P.A.; Osborne, A.R.; Serio, M. On the extreme statistics of long-crested deep water waves: Theory and experiments. J. Geophys. Res. Ocean. 2007, 112. [Google Scholar] [CrossRef]
- Tayfun, M.A. Narrow-band nonlinear sea waves. J. Geophys. Res. Ocean. 1980, 85, 1548–1552. [Google Scholar] [CrossRef]
- Tayfun, M.A.; Fedele, F. Wave-height distributions and nonlinear effects. Ocean Eng. 2007, 34, 1631–1649. [Google Scholar] [CrossRef]
- Forristall, G.Z. Wave crest distributions: Observations and second-order theory. J. Phys. Oceanogr. 2000, 30, 1931–1943. [Google Scholar] [CrossRef]
- Janssen, P.A. On some consequences of the canonical transformation in the Hamiltonian theory of water waves. J. Fluid Mech. 2009, 637, 1. [Google Scholar] [CrossRef]
- Young, I. The determination of confidence limits associated with estimates of the spectral peak frequency. Ocean Eng. 1995, 22, 669–686. [Google Scholar] [CrossRef]
- Serio, M.; Onorato, M.; Osborne, A.R.; Janssen, P.A. On the computation of the Benjamin–Feir Index. II Nuovo C. 2005, 28, 893–903. [Google Scholar]
- Goda, Y. Random Seas and Design of Maritime Structures; World Scientific: Singapore, 2010. [Google Scholar]
- Tayfun, M.A.; Fedele, F. Expected shape of extreme waves in storm seas. In Proceedings of the International Conference on Offshore Mechanics and Arctic Engineering, San Diego, CA, USA, 10–15 June 2007; Volume 42681, pp. 53–60. [Google Scholar]










| Case # | Date | Time | Peak Direction () (Coming-From) | (Steepness) | BFI | Hs (m) | Tp (s) | (Spreading) | |
|---|---|---|---|---|---|---|---|---|---|
| 1 | 01/01/2010 | 09:00 | 214 | 0.028 | 0.154 | 2.7 | 9.74 | 0.444 | |
| ☆ | 2 | 01/01/2010 | 23:59 | 329 | 0.054 | 0.276 | 3.05 | 7.5 | 0.887 |
| 3 | 08/01/2010 | 11:00 | 360 | 0.062 | 0.390 | 5.6 | 9.54 | 0.470 | |
| ☆ | 4 | 09/01/2010 | 05:00 | 343 | 0.055 | 0.318 | 4.4 | 9.03 | 0.366 |
| 5 | 09/01/2010 | 20:00 | 344 | 0.056 | 0.320 | 4.2 | 8.67 | 0.316 | |
| ☆ | 6 | 15/01/2010 | 00:00 | 24 | 0.059 | 0.370 | 4.75 | 8.86 | 0.794 |
| ☆ | 7 | 26/01/2010 | 10:00 | 73 | 0.039 | 0.173 | 2.8 | 8.38 | 0.638 |
| ☆ | 8 | 26/01/2010 | 22:00 | 356 | 0.059 | 0.374 | 3.6 | 7.85 | 0.495 |
| ☆ | 9 | 27/01/2010 | 08:00 | 23 | 0.062 | 0.366 | 4 | 8.21 | 0.635 |
| ☆ | 10 | 28/01/2010 | 08:00 | 348 | 0.053 | 0.307 | 3.75 | 8.44 | 0.354 |
| 11 | 07/02/2010 | 10:00 | 344 | 0.057 | 0.335 | 3.23 | 7.61 | 0.362 | |
| ☆ | 12 | 09/02/2010 | 20:00 | 5 | 0.062 | 0.402 | 4.25 | 8.4 | 0.696 |
| ☆ | 13 | 10/02/2010 | 07:00 | 351 | 0.062 | 0.377 | 4.42 | 8.6 | 0.528 |
| 14 | 10/02/2010 | 21:00 | 343 | 0.057 | 0.328 | 4.4 | 8.83 | 0.351 | |
| ☆ | 15 | 19/02/2010 | 08:00 | 19 | 0.066 | 0.425 | 4.25 | 8.14 | 0.729 |
| 16 | 03/03/2010 | 15:00 | 82 | 0.045 | 0.298 | 4.08 | 9.46 | 0.468 | |
| 17 | 08/03/2010 | 13:00 | 73 | 0.054 | 0.319 | 6.75 | 11.22 | 0.294 | |
| ☆ | 18 | 10/03/2010 | 09:00 | 346 | 0.060 | 0.350 | 3.8 | 8.08 | 0.526 |
| 19 | 15/03/2010 | 08:00 | 348 | 0.054 | 0.325 | 3.6 | 8.25 | 0.330 | |
| 20 | 30/03/2010 | 07:00 | 210 | 0.054 | 0.341 | 1.9 | 5.95 | 0.458 | |
| ☆ | 21 | 30/03/2010 | 21:00 | 301 | 0.046 | 0.241 | 2.3 | 6.97 | 1.094 |
| 22 | 05/04/2010 | 01:00 | 347 | 0.048 | 0.255 | 2.6 | 7.4 | 0.391 | |
| ☆ | 23 | 08/04/2010 | 12:00 | 346 | 0.057 | 0.335 | 3.25 | 7.68 | 0.458 |
| ☆ | 24 | 23/04/2010 | 16:00 | 71 | 0.034 | 0.191 | 2.1 | 7.76 | 0.434 |
| 25 | 04/05/2010 | 09:00 | 352 | 0.064 | 0.393 | 6.2 | 9.78 | 0.421 | |
| 26 | 15/05/2010 | 08:00 | 340 | 0.055 | 0.313 | 2.75 | 7.12 | 0.383 | |
| 27 | 20/06/2010 | 23:59 | 344 | 0.055 | 0.319 | 4 | 8.53 | 0.363 | |
| 28 | 21/06/2010 | 06:00 | 341 | 0.057 | 0.329 | 4 | 8.46 | 0.368 | |
| 29 | 05/07/2010 | 23:59 | 343 | 0.056 | 0.327 | 2.72 | 7.03 | 0.326 | |
| 30 | 06/07/2010 | 02:00 | 346 | 0.055 | 0.324 | 2.92 | 7.41 | 0.331 | |
| 31 | 24/07/2010 | 00:00 | 346 | 0.056 | 0.336 | 2.84 | 7.25 | 0.340 | |
| 32 | 25/07/2010 | 23:59 | 343 | 0.055 | 0.325 | 3.2 | 7.65 | 0.350 | |
| 33 | 06/08/2010 | 04:00 | 350 | 0.055 | 0.330 | 2.43 | 6.71 | 0.357 | |
| 34 | 28/08/2010 | 06:00 | 353 | 0.057 | 0.338 | 3.26 | 7.64 | 0.346 | |
| 35 | 26/09/2010 | 07:00 | 350 | 0.057 | 0.354 | 3.8 | 8.24 | 0.349 | |
| ☆ | 36 | 10/10/2010 | 23:59 | 66 | 0.034 | 0.207 | 3.85 | 10.64 | 0.443 |
| 37 | 11/10/2010 | 12:00 | 70 | 0.044 | 0.244 | 5.22 | 10.89 | 0.296 | |
| ☆ | 38 | 12/10/2010 | 15:00 | 76 | 0.046 | 0.262 | 4 | 9.43 | 0.406 |
| ☆ | 39 | 13/10/2010 | 05:00 | 85 | 0.045 | 0.252 | 3.2 | 8.45 | 0.563 |
| 40 | 03/11/2010 | 00:00 | 346 | 0.055 | 0.325 | 3.92 | 8.48 | 0.335 | |
| 41 | 08/11/2010 | 16:00 | 230 | 0.058 | 0.358 | 2.88 | 7.11 | 0.350 | |
| 42 | 09/11/2010 | 16:00 | 214 | 0.029 | 0.111 | 2.62 | 9.65 | 0.202 | |
| ☆ | 43 | 10/11/2010 | 23:00 | 339 | 0.056 | 0.333 | 2.84 | 7.28 | 0.638 |
| 44 | 16/11/2010 | 21:00 | 343 | 0.052 | 0.289 | 3.8 | 8.55 | 0.331 | |
| 45 | 24/11/2010 | 07:00 | 347 | 0.053 | 0.311 | 2.74 | 7.31 | 0.352 | |
| 46 | 26/11/2010 | 04:00 | 345 | 0.056 | 0.333 | 3.02 | 7.42 | 0.376 | |
| 47 | 03/12/2010 | 19:00 | 348 | 0.057 | 0.335 | 2.51 | 6.73 | 0.441 | |
| 48 | 09/12/2010 | 21:00 | 354 | 0.058 | 0.358 | 3.51 | 7.82 | 0.390 | |
| 49 | 13/12/2010 | 03:00 | 21 | 0.050 | 0.281 | 3.12 | 7.82 | 0.342 | |
| 50 | 15/12/2010 | 22:00 | 348 | 0.057 | 0.342 | 5.03 | 9.43 | 0.333 | |
| ☆ | 51 | 17/12/2010 | 21:00 | 343 | 0.056 | 0.354 | 3.12 | 7.49 | 0.551 |
| 52 | 24/12/2010 | 10:00 | 342 | 0.054 | 0.304 | 4.81 | 9.5 | 0.397 | |
| 53 | 25/12/2010 | 21:00 | 345 | 0.056 | 0.321 | 4.93 | 9.48 | 0.312 | |
| 54 | 26/12/2010 | 10:00 | 350 | 0.055 | 0.330 | 4.81 | 9.38 | 0.305 |
Publisher’s Note: MDPI stays neutral with regard to jurisdictional claims in published maps and institutional affiliations. |
© 2021 by the authors. Licensee MDPI, Basel, Switzerland. This article is an open access article distributed under the terms and conditions of the Creative Commons Attribution (CC BY) license (https://creativecommons.org/licenses/by/4.0/).
Share and Cite
Innocenti, A.; Onorato, M.; Brandini, C. Analysis of Dangerous Sea States in the Northwestern Mediterranean Area. J. Mar. Sci. Eng. 2021, 9, 422. https://doi.org/10.3390/jmse9040422
Innocenti A, Onorato M, Brandini C. Analysis of Dangerous Sea States in the Northwestern Mediterranean Area. Journal of Marine Science and Engineering. 2021; 9(4):422. https://doi.org/10.3390/jmse9040422
Chicago/Turabian StyleInnocenti, Alessio, Miguel Onorato, and Carlo Brandini. 2021. "Analysis of Dangerous Sea States in the Northwestern Mediterranean Area" Journal of Marine Science and Engineering 9, no. 4: 422. https://doi.org/10.3390/jmse9040422
APA StyleInnocenti, A., Onorato, M., & Brandini, C. (2021). Analysis of Dangerous Sea States in the Northwestern Mediterranean Area. Journal of Marine Science and Engineering, 9(4), 422. https://doi.org/10.3390/jmse9040422

