Triads and Rogue Events for Internal Waves in Stratified Fluids with a Constant Buoyancy Frequency
Abstract
1. Introduction
2. Formulation of the Triad Resonance
3. Numerical Simulations of Energy Transfer in Coupled Triads
3.1. Components (3, 5, 1) being the Rogue Waves, and Modes 2 and 4 being the Plane Waves
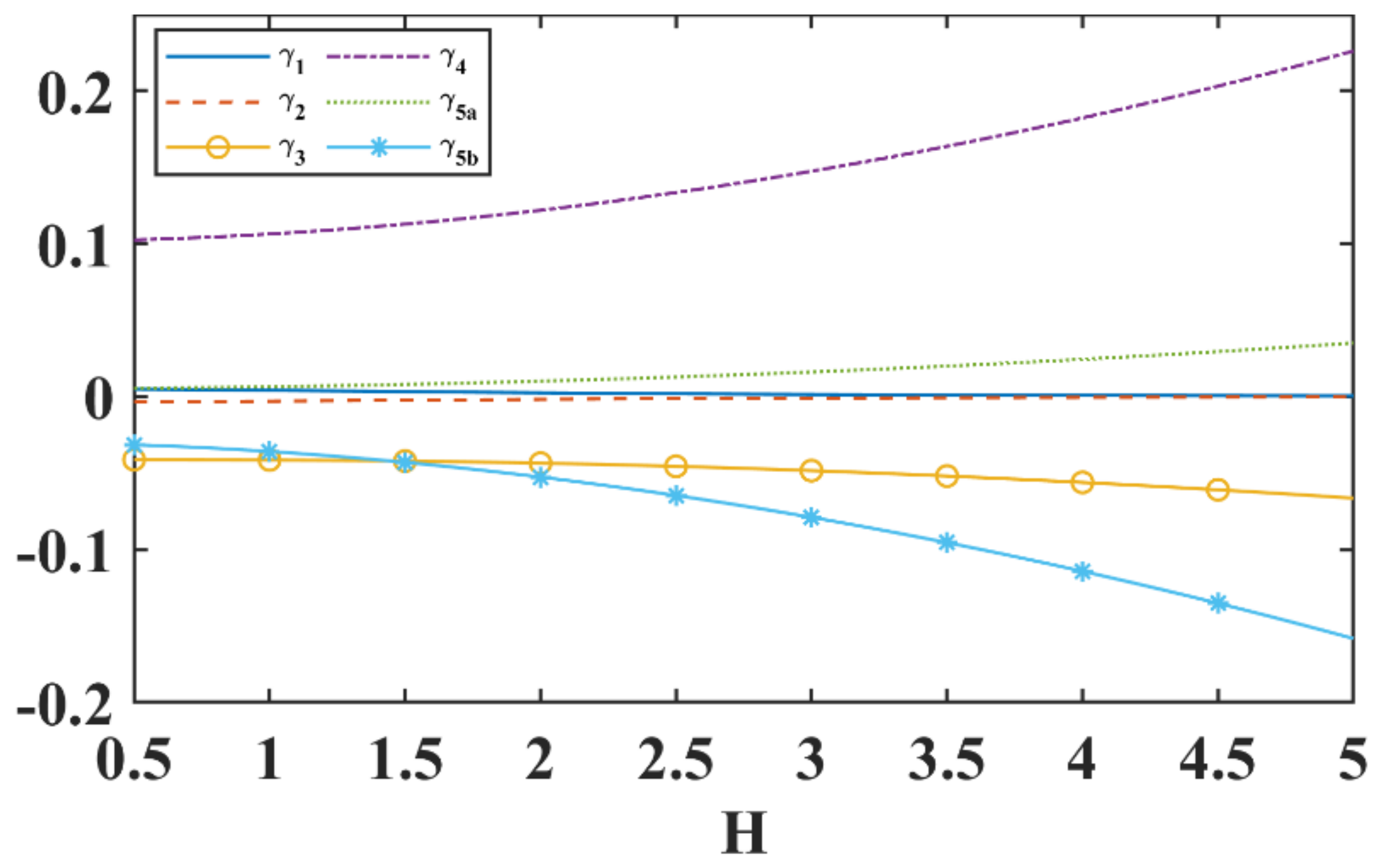
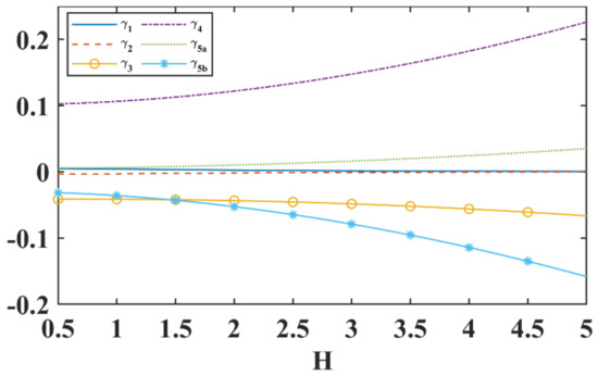
- On setting the coefficients γ2, γ4 and γ5b to be 0, energy only flows among members of the isolated triad (3, 5, 1). The other modes S2 and S4 just oscillate independently, as they are governed by the evolution equations
- On the other hand, one can also set the parameters γ1, γ3, and γ5a to be zero (Figure 5), but maintain nonzero interaction coefficients in the other triad. Simulations can also be conducted. Qualitatively similar conclusions can be drawn, i.e., a rogue wave can trigger FPUT. Energy transfer also appears among |S2|, |S4|, |S5| (|S2| and |S4| → |S5|).
3.2. Components (3, 5, 1) as Plane Waves, Modes 2, 4 as Plane Waves with Perturbations
- (a)
- if ρ2, ρ4 are small, exchange and oscillations of S1, S3, S5 can be maintained;
- (b)
- if at least one of ρ2 or ρ4 is order one, then the oscillations exhibited by S1, S3, S5 are distorted.
- Energy transfer can arise immediately among |S1|, |S3|, and |S5|, with the initial conditions being rogue wave modes (Figure 3f);
- Energy transfer occurs among |S1|, |S3|, |S5|, |S2|, and |S4| in the nonlinear stage of modulation instability.
- We first consider the energy flow in an isolated triad (3, 5, 1) with γ2 = γ4 = 0 (Figure 7). The parameter γ5b is critical for the movement of energy because |S2| and |S4| are perturbed by the noise. Comparing Figure 6 with Figure 7, the results show that the energy of perturbations flows to |S1|, |S3| and |S5|. Furthermore, energy transfer occurs among |S1|, |S3|, |S5| (|S1| → |S3| and |S5|), as well as triads (3, 5, 1) and (4, 5, 2) ((4, 5, 2) → (3, 5, 1)), simultaneously.
- Setting γ1 = γ3 = γ5a = 0 and comparing Figure 6 with Figure 8, energy exchange can be observed between |S2| and |S4|. The energy transfer among |S2|, |S4|, |S5| is insignificant due to the small magnitude of the parameter γ5b. However, energy movement among |S2|, |S4|, |S5| (|S2| and |S4| to |S5|) will still take place if the simulation is continued for a sufficiently long time.
4. Simulations with Other Choices of Input Parameters
4.1. Components (3, 5, 1) Being Rogue Waves, Modes 2 and 4 Being Plane Waves
4.2. Components (3, 5, 1) as Plane Waves, Modes 2, 4 Being Plane Waves with Perturbations
5. Discussions and Conclusions
Author Contributions
Funding
Institutional Review Board Statement
Informed Consent Statement
Acknowledgments
Conflicts of Interest
Appendix A
Appendix B
Appendix C
References
- Phillips, O.M. On the dynamics of unsteady gravity waves of finite amplitude Part 1. The elementary interactions. J. Fluid Mech. 1960, 9, 193–217. [Google Scholar] [CrossRef]
- Phillips, O.M. On the dynamics of unsteady gravity waves of finite amplitude Part 2. Local properties of a random wave field. J. Fluid Mech. 1961, 11, 143–155. [Google Scholar] [CrossRef]
- McGoldrick, L.F. Resonant interactions among capillary-gravity waves. J. Fluid Mech. 1965, 21, 305–331. [Google Scholar] [CrossRef]
- Ball, F.K. Energy transfer between external and internal gravity waves. J. Fluid Mech. 1964, 19, 465–478. [Google Scholar] [CrossRef]
- Thorpe, S.A. On wave interactions in a stratified fluid. J. Fluid Mech. 1966, 24, 737–751. [Google Scholar] [CrossRef]
- Biswas, L.; Shukla, P. Stability analysis of a resonant triad in a stratified uniform shear flow. Phys. Rev. Fluids 2021, 6, 014802. [Google Scholar] [CrossRef]
- Pan, Q.; Peng, N.N.; Chan, H.N.; Chow, K.W. Coupled triads in the dynamics of internal waves: Case study using a linearly stratified fluid. Phys. Rev. Fluids 2021, 6, 024802. [Google Scholar] [CrossRef]
- Dauxois, T.; Joubaud, S.; Odier, P.; Venaille, A. Instabilities of internal gravity wave beams. Annu. Rev. Fluid Mech. 2018, 50, 131–156. [Google Scholar] [CrossRef]
- Sutherland, B.R.; Jefferson, R. Triad resonant instability of horizontally periodic internal modes. Phys. Rev. Fluids 2020, 5, 034801. [Google Scholar] [CrossRef]
- Karimi, H.H.; Akylas, T.R. Near-inertial parametric subharmonic instability of internal wave beams. Phys. Rev. Fluids 2017, 2, 074801. [Google Scholar] [CrossRef]
- Varma, D.; Mathur, M. Internal wave resonant triads in finite-depth non-uniform stratifications. J. Fluid Mech. 2017, 824, 286–311. [Google Scholar] [CrossRef]
- Fan, B.; Akylas, T.R. Effect of background mean flow on PSI of internal wave beams. J. Fluid Mech. 2019, 869, R1. [Google Scholar] [CrossRef]
- Obuse, K.; Yamada, M. Three-wave resonant interactions and zonal flows in two-dimensional Rossby-Haurwitz wave turbulence on a rotating sphere. Phys. Rev. Fluids 2019, 4, 024601. [Google Scholar] [CrossRef]
- Bustamante, M.D.; Kartashova, E. Effect of the dynamical phases on the nonlinear amplitudes’ evolution. Europhys. Lett. 2009, 85, 34002. [Google Scholar] [CrossRef][Green Version]
- Dysthe, K.; Krogstad, H.E.; Muller, P. Oceanic rogue waves. Annu. Rev. Fluid Mech. 2008, 40, 287–310. [Google Scholar] [CrossRef]
- Onorato, M.; Residori, S.; Bortolozzo, U.; Montina, A.; Arecchi, F. Rogue waves and their generating mechanisms in different physical contexts. Phys. Rep. 2013, 528, 47–89. [Google Scholar] [CrossRef]
- Grimshaw, R.; Pelinovsky, E.; Taipova, T.; Sergeeva, A. Rogue internal waves in the ocean: Long wave model. Eur. Phys. J. Spec. Top. 2010, 185, 195–208. [Google Scholar] [CrossRef]
- Talipova, T.; Kurkina, O.; Kurkin, A.; Didenkulova, E.; Pelinovsky, E. Internal wave breathers in the slightly stratified fluid. Microgravity Sci. Technol. 2020, 32, 69–77. [Google Scholar] [CrossRef]
- Bokaeeyan, M.; Ankiewicz, A.; Akhmediev, N. Bright and dark rogue internal waves: The Gardner equation approach. Phys. Rev. E 2019, 99, 062224. [Google Scholar] [CrossRef]
- Baronio, F.; Conforti, M.; Degasperis, A.; Lombardo, S. Rogue waves emerging from the resonant interaction of three waves. Phys. Rev. Lett. 2013, 111, 114101. [Google Scholar] [CrossRef]
- Coppini, F.; Santini, P.M. Fermi-Pasta-Ulam-Tsingou recurrence of periodic anomalous waves in the complex Ginzburg-Landau and in the Lugiato-Lefever equations. Phys. Rev. E 2020, 102, 062207. [Google Scholar] [CrossRef]
- Gallavotti, G. The Fermi-Pasta-Ulam Problem: A Status Report, 1st ed.; Springer: Berlin/Heidelberg, Germany, 2008. [Google Scholar]
- Yuen, H.C., Jr.; Ferguson, W.E.F. Relationship between Benjamin–Feir instability and recurrence in the nonlinear Schrödinger equation. Phys. Fluids 1978, 21, 1275–1278. [Google Scholar] [CrossRef]
- Hasselman, K. A criterion for nonlinear wave stability. J. Fluid Mech. 1967, 30, 737–739. [Google Scholar] [CrossRef]
- Kartashova, E.; L’vov, V.S. Cluster dynamics of planetary waves. Europhys. Lett. 2008, 83, 50012. [Google Scholar] [CrossRef]
- Yoshinaga, T.; Wakamiya, M.; Kakutani, T. Recurrence and chaotic behavior resulting from nonlinear interaction between long and short waves. Phys. Fluids A 1991, 3, 83. [Google Scholar] [CrossRef]
- Wabnitz, S.; Akhmediev, N. Efficient modulation frequency doubling by induced modulation instability. Opt. Commun. 2010, 283, 1152–1154. [Google Scholar] [CrossRef]
- Vanderhaegen, G.; Szriftgiser, P.; Kudlinski, A.; Conforti, M.; Trillo, S.; Droques, M.; Mussot, A. Observation of four Fermi-Pasta-Ulam-Tsingou recurrences in an ultra-low-loss optical fiber. Opt. Express 2020, 28, 17773–17781. [Google Scholar] [CrossRef] [PubMed]
- Fedele, F.; Brennan, J.; Ponce de León, S.; Dudley, J.; Dias, F. Real world ocean rogue waves explained without the modulational instability. Sci. Rep. 2016, 6, 27715. [Google Scholar] [CrossRef] [PubMed]
- Kartashova, E.; Shugan, I.V. Dynamical cascade generation as a basic mechanism of Benjamin-Feir instability. Europhys. Lett. 2011, 95, 30003. [Google Scholar] [CrossRef]
- Kartashova, E. Nonlinear Resonance Analysis: Theory, Computation, Applications; Cambridge University Press: Cambridge, UK, 2010. [Google Scholar]
- Pelinovskiy, E.N.; Raevsky, M.A. Weak turbulence of internal waves in the ocean. Izv. Atmos. Ocean. Phys. 1977, 13, 130–134. [Google Scholar]
- Kharif, C.; Pelinovsky, E.; Slunyaev, A. Rogue Waves in the Ocean, 1st ed.; Springer: Berlin/Heidelberg, Germany, 2009. [Google Scholar]
- Orr, M.H.; Mignerey, P.C. Nonlinear internal waves in the South China Sea: Observation of the conversion of depression internal waves to elevation internal waves. J. Geophys. Res. Ocean. 2003, 108. [Google Scholar] [CrossRef]
- Kaminski, A.K.; Flynn, M.R. Modal decomposition of polychromatic internal wave fields in arbitrary stratifications. Wave Motion 2020, 95, 102549. [Google Scholar] [CrossRef]
















| Components | Numerical Amplitude | Analytical Amplitude |
|---|---|---|
| S1 | 1.7730 | 2.8284 |
| S3 | 2.2225 | 4 |
| S5 | 1.6093 | 2.8284 |
| S2 | 1.3844 | 1 |
| S4 | 1.5193 | 1 |
| Components | Numerical Amplitude | Analytical Amplitude |
|---|---|---|
| S1 | 1.1060 | 1 |
| S3 | 1.7826 | 1 |
| S5 | 2.4633 | 1 |
| S2 | 0.6634 | 0.1 |
| S4 | 0.7256 | 0.1 |
Publisher’s Note: MDPI stays neutral with regard to jurisdictional claims in published maps and institutional affiliations. |
© 2021 by the authors. Licensee MDPI, Basel, Switzerland. This article is an open access article distributed under the terms and conditions of the Creative Commons Attribution (CC BY) license (https://creativecommons.org/licenses/by/4.0/).
Share and Cite
Pan, Q.; Yin, H.-M.; Chow, K.W. Triads and Rogue Events for Internal Waves in Stratified Fluids with a Constant Buoyancy Frequency. J. Mar. Sci. Eng. 2021, 9, 577. https://doi.org/10.3390/jmse9060577
Pan Q, Yin H-M, Chow KW. Triads and Rogue Events for Internal Waves in Stratified Fluids with a Constant Buoyancy Frequency. Journal of Marine Science and Engineering. 2021; 9(6):577. https://doi.org/10.3390/jmse9060577
Chicago/Turabian StylePan, Qing, Hui-Min Yin, and Kwok W. Chow. 2021. "Triads and Rogue Events for Internal Waves in Stratified Fluids with a Constant Buoyancy Frequency" Journal of Marine Science and Engineering 9, no. 6: 577. https://doi.org/10.3390/jmse9060577
APA StylePan, Q., Yin, H.-M., & Chow, K. W. (2021). Triads and Rogue Events for Internal Waves in Stratified Fluids with a Constant Buoyancy Frequency. Journal of Marine Science and Engineering, 9(6), 577. https://doi.org/10.3390/jmse9060577

