Numerical Study on the Expansion and Variation of Changjiang Diluted Water in Summer and Autumn
Abstract
1. Introduction
2. Materials and Methods
2.1. Model Description
2.2. Model Configuration
3. Results and Analysis
3.1. Model Validation
3.1.1. Validation of Tidal Level
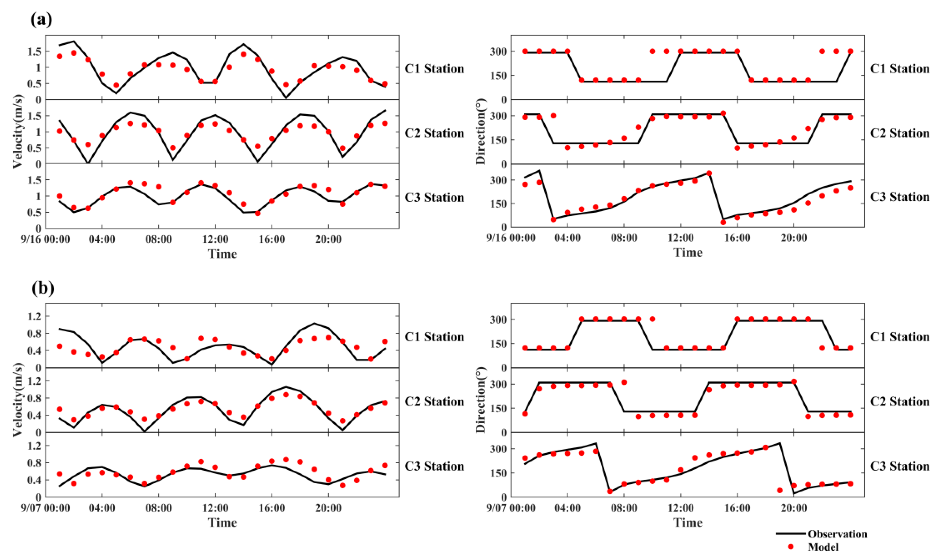
3.1.2. Validation of the Tidal Current
3.1.3. Validation of Salinity
3.2. Characteristics of the Wind Field in the YRE
3.3. Effect of Wind on the Path Turning of the CDW
3.4. Influence of Typhoons on the Spreading Pattern of the CDW
4. Conclusions
- (1)
- In 2019, the CDW main expansion directions were northeast in summer and south in autumn, as per the monsoon. Seasonal variations of the wind field provide conditions for the CDW to expand in different forms.
- (2)
- The influence of wind on the path turning of the CDW is obvious in contrast to the runoff. Wind leads to change of the residual current field, which causes the path turning of the CDW, while the runoff determines how far the core area extends.
- (3)
- In the flood season of the YR in 2019, the frequent occurrence of typhoons accelerated change of the spreading form of the CDW. Continuous typhoons make transport a large amount of the CDW continuously and abnormally, which accelerates the path turning of the CDW.
Author Contributions
Funding
Institutional Review Board Statement
Informed Consent Statement
Data Availability Statement
Conflicts of Interest
References
- State Oceanic Administration. Bulletin of China Marine Environmental Status [EB/OL]. Available online: http://www.mee.gov.cn/hjzl/sthjzk/jagb/ (accessed on 1 December 2019).
- Guo, Y.; Yang, Z. The ecological studies on the phytoplankton over the continental shelf of the East China Sea in the summer of 1976. J. Mar. Sci. 1982, 19, 11–32. [Google Scholar]
- Wang, G.; Huang, X.; Jiang, X.; Hong, J. The distribution and characteristics of Skeletonema costatum red tides occurred Changjiang Estuary. Mar. Sci. 1993, 3, 51–55. [Google Scholar]
- Gu, Y. A study on the cause of the path turning of the Changjiang River Diluted Water. Oceanol. Limnol. Sin. 1985, 16, 354–363. [Google Scholar]
- Zhao, B. On the turning mechanism of the Yangtze River diluted water. Acta Oceanol. Sin. 1991, 5, 600–610. [Google Scholar]
- Le, K. A preliminary study of the path of the Changjiang Diluted Water. Oceanol. Limnol. Sin. 1984, 2, 157–167. [Google Scholar]
- Guo, Y.; Rong, Z.; Chi, Y.; Li, X.; Na, R. The modeling study of interannual variability of Changjiang River plume in summer season. Oceanol. Limnol. 2020, 4, 30–41. [Google Scholar]
- Liu, B.; Li, J.; Feng, L. A modeling study of the effect of wind on Changjiang (Yangtze) River Diluted Water in summer. Acta Oceanol. Sin. 2013, 35, 25–37. [Google Scholar]
- Wang, K.; Xiong, X.; Guo, B.; Hua, F.; Jiang, Z. The extension form and seasonal variation of the Changjiang Diluted Water during 2006–2007. Coast. Eng. 2012, 1, 46–54. [Google Scholar] [CrossRef]
- Zhou, F.; Xuan, J.; Ni, X.; Huang, D. A preliminary study on variations of the Changjiang Diluted Water between August 1999 and 2006. Acta Oceanl. Sin. 2009, 4, 1–12. [Google Scholar]
- Pan, Y.; Huang, S. Analysis on the path of transportation and diffusion of Changjiang diluted water. Donghai Mar. Sci. 1997, 2, 26–30. [Google Scholar]
- Pu, Y. The summer salinity distribution types of the 30° N profile in the East China Sea. Donghai Mar. Sci. 2002, 20, 1–13. [Google Scholar]
- Wang, J.; Wang, Y.; Wang, G. Analysis of direction change mechanism of the Changjiang River diluted water based on FVCOM and observation. Adv. Earth Sci. 2012, 27, 194–201. [Google Scholar]
- Chen, C.; Liu, H.; Beardsley, R. An unstructured grid, finite volume, three-dimensional, primitive equation ocean model: Application to coastal ocean and estuaries. J. Atmos. Ocean. Technol. 2003, 20, 159–186. [Google Scholar] [CrossRef]
- Chen, C.; Beardsley, R.; Cowles, G. An unstructured grid, finite-volume coastal ocean model (FVCOM) system. Oceanography 2006, 19, 78–89. [Google Scholar] [CrossRef]
- Yu, H.; Wang, Z.; Kuang, L.; Wang, L.; Bao, X.; Wu, H.; Wang, X.; Deng, X. A numerical study on the circulation and tide in a zigzag bay. Acta Oceanol. Sin. 2015, 1, 119–128. [Google Scholar] [CrossRef]
- Qu, D.; Yu, H.; Sun, Y.; Zhao, Y.; Wei, Q.; Yu, H.; Kelly, M.; Yuan, Y. Numerical study on the summertime patches of red tide in the adjacent sea of the Changjiang (Yangtze) River Estuary, China. Mar. Pollut. Bull. 2019, 143, 242–255. [Google Scholar] [CrossRef]
- National Geophysical Data Center. ETOPO1 Global Relief Model [DB/OL]. Available online: http://www.ngdc.noaa.gov/mgg/global/ (accessed on 1 September 2019).
- Padman, L.; Erofeeva, S. Tide Model Driver (TMD) Manual; Earth & Space Research: Seattle WA, USA, 2005. [Google Scholar]
- Asia-Pacific Data-Research Center. HYCOM Global Daily Snapshot 0Z 1/12 Degree GOFS 3.1 Analysis (GLBv0.08) [DB/OL]. Available online: http://apdrc.soest.hawaii.edu/las/v6/dataset?catitem=11493 (accessed on 1 June 2020).
- Saha, S.; Moorthi, S.; Pan, H.; Wu, X.; Wang, J.; Nadiga, S.; Tripp, P.; Kistler, R.; Woollen, J.; Behringer, D.; et al. The NCEP Climate Forecast System Reanalysis. B Am. Meteorol. Soc. 2010, 91, 1015–1058. [Google Scholar] [CrossRef]
- Tao, L.; Sun, J.; Liu, H.; Li, Y.; Shang, J.; Lin, B.; Nie, Z.; Yuan, D. Study on water exchange in Bohai Bay under effects of tides and seasonal winds. J. Hydrol. Eng. 2020, 39, 99–107. [Google Scholar]
- Shanghai Water Conservancy Commission. Water Resources Monitoring Bulletin of Important Control Sections in the Yangtze River Basin [EB/OL]. Available online: http://www.cjw.gov.cn/ (accessed on 1 June 2020).
- National Marine Data and Information Service [DB/OL]. Available online: http://global-tide.nmdis.org.cn/ (accessed on 1 August 2020).
- Li, B.; Lu, J.; Wang, P.; Wang, K. Isolated Low-Salinity Water mass in expansion area of Changjiang Diluted Water. Oceanol. Limnol. Sin. 2019, 6, 1181–1190. [Google Scholar]
- Chen, C.; Xue, P.; Ding, P.; Beardsley, R.C.; Xu, Q.; Mao, X.; Gao, G.; Qi, J.; Li, C.; Lin, H.; et al. Physical mechanisms for the offshore detachment of the Changjiang Diluted Water in the East China Sea. J. Geophys. Res. 2008, 113, C02002. [Google Scholar]
- Zhang, Z. Dynamical Response of Changjiang River Plume Extension to Typhoon Events; East China Normal University: Shanghai, China, 2020. [Google Scholar]
- Blair, A.; Ginis, I.; Hara, T.; Ulhorn, E. Impact of langmuir turbulence on upper ocean response to hurricane edouard: Model and observations. J. Geophys. Res. 2017, 122, 9712–9724. [Google Scholar] [CrossRef]














| Constituents | T1 | T2 | |||||
|---|---|---|---|---|---|---|---|
| Observation | Model | Error | Observation | Model | Error | ||
| O1 | Amplitude (cm) | 19.26 | 18.70 | −0.56 | 15.22 | 15.13 | −0.09 |
| Phase (°) | 28.48 | 35.39 | 6.91 | 0.56 | 0.69 | 0.13 | |
| K1 | Amplitude (cm) | 22.23 | 25.10 | 2.87 | 20.34 | 21.81 | 1.47 |
| Phase (°) | 67.81 | 71.12 | 3.31 | 55.20 | 53.87 | −1.33 | |
| M2 | Amplitude (cm) | 126.32 | 125.27 | −1.05 | 111.44 | 110.99 | −0.45 |
| Phase (°) | 92.13 | 93.01 | 0.88 | 84.70 | 85.22 | 0.52 | |
| S2 | Amplitude (cm) | 73.12 | 76.13 | 3.01 | 66.27 | 68.02 | 1.75 |
| Phase (°) | 132.81 | 136.47 | 3.66 | 118.55 | 118.84 | 0.29 | |
Publisher’s Note: MDPI stays neutral with regard to jurisdictional claims in published maps and institutional affiliations. |
© 2021 by the authors. Licensee MDPI, Basel, Switzerland. This article is an open access article distributed under the terms and conditions of the Creative Commons Attribution (CC BY) license (http://creativecommons.org/licenses/by/4.0/).
Share and Cite
Hou, W.; Ba, M.; Bai, J.; Yu, J. Numerical Study on the Expansion and Variation of Changjiang Diluted Water in Summer and Autumn. J. Mar. Sci. Eng. 2021, 9, 317. https://doi.org/10.3390/jmse9030317
Hou W, Ba M, Bai J, Yu J. Numerical Study on the Expansion and Variation of Changjiang Diluted Water in Summer and Autumn. Journal of Marine Science and Engineering. 2021; 9(3):317. https://doi.org/10.3390/jmse9030317
Chicago/Turabian StyleHou, Wanli, Menglin Ba, Jie Bai, and Jianghua Yu. 2021. "Numerical Study on the Expansion and Variation of Changjiang Diluted Water in Summer and Autumn" Journal of Marine Science and Engineering 9, no. 3: 317. https://doi.org/10.3390/jmse9030317
APA StyleHou, W., Ba, M., Bai, J., & Yu, J. (2021). Numerical Study on the Expansion and Variation of Changjiang Diluted Water in Summer and Autumn. Journal of Marine Science and Engineering, 9(3), 317. https://doi.org/10.3390/jmse9030317
