Feasibility Study for the Extraction of Wave Energy along the Coast of Ensenada, Baja California, Mexico
Abstract
1. Introduction
2. Materials and Methods
2.1. Characteristics of the Study Area
2.2. Typical Meteorological Year
- For each variable, the original data, available in the four-times-daily format, was averaged into one daily value.
- For each month and variable (i.e., wind speed, direction and surface pressure), the long-term and short-term Cumulative Distribution Functions (CDF) are calculated. By short-term we refer to the time series for the specific month (e.g., 1998), while by long-term we refer to the time series of all concatenated Januaries in the period 1998–2018.
- For each month and variable, the Filkestein–Schafer factor (FS) (defined in [11]) for the month is calculated as a function of the absolute difference between long and short-term CDFs. The sum of such absolute differences over the CDF bins is then normalized by the number of bins.
- The final FS for the month is estimated as a weighted sum of the FSs calculated for each variable, using equal weights.
- The five years with minimum FS factor are selected as month’s TMY.
- For each candidate month, the Root Mean Square Difference (RMSD) between long and short-term data is calculated.
- The year having minimum RMSD is the representative year for the month at stake.
2.3. The SWAN + ADCIRC Model for Wave Simulations
2.4. Wave Generation and Propagation in the Study Area
2.5. Wave Energy Calculation
3. Results
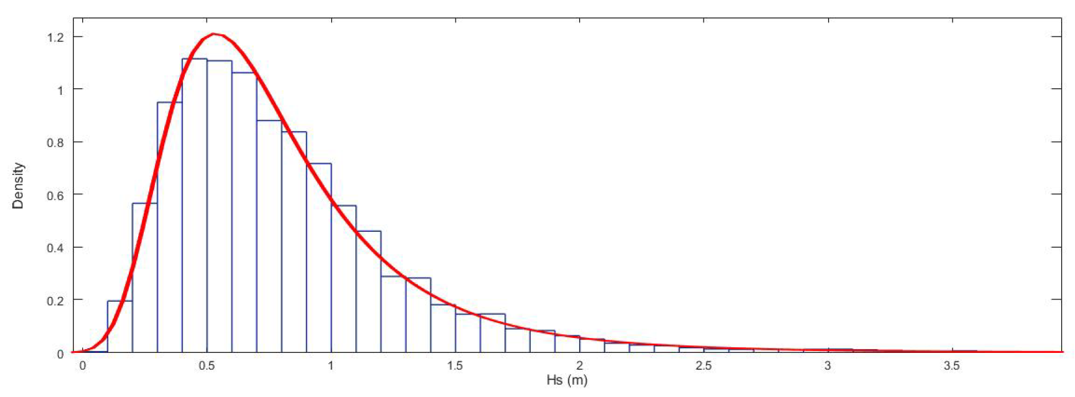
3.1. Wave Parameters Analysis
3.2. Wave Energy
4. Discussion
5. Conclusions
Supplementary Materials
Author Contributions
Funding
Institutional Review Board Statement
Informed Consent Statement
Data Availability Statement
Conflicts of Interest
References
- Morthorst, P.E. Grøn Energi—Vejen Mod et Dansk Energisystem uden Fossile bræNdsler er Udgivet af Klimakommissionen; Keen Press og Energistyrelsen: København, Denmark, 2010. [Google Scholar]
- Mackay, E.B.L. Resource Assessment for Wave Energy. In Comprehensive Renewable Energy; Sayigh, A., Ed.; Elsevier: Oxford, UK, 2012; pp. 11–77. [Google Scholar]
- Ingram, D.; Smith, G.H.; Ferriera, C.; Smith, H. Protocols for the Equitable Assessment of Marine Energy Converters; Technical Report; Institute of Energy Systems, University of Edinburgh, School of Engineering: Edinburgh, UK, 2011. [Google Scholar]
- International Electrotechnical Commission (IEC). Wave Energy Resource Assessment and Characterization; Technical Report 62600-101; International Electrotechnical Commission/Technical Section: Geneva, Switzerland, 2014; Available online: https://webstore.iec.ch/publication/22593 (accessed on 23 February 2021).
- Guillou, N.; Lavidas, G.; Chapalain, G. Wave Energy Resource Assessment for Exploitation—A Review. J. Mar. Sci. Eng. 2020, 8, 705. [Google Scholar] [CrossRef]
- Elecetricity Information Overview. Statistic Report. July. Available online: https://www.iea.org/reports/electricity-information-overview (accessed on 20 September 2020).
- SENER. Prospectiva de Energías Renovables 2017–2030; SENER (Secretaría de Energía): Mexico City, Mexico, 2017. [Google Scholar]
- Baja California Energy Outlook 2020–2025. Available online: https://www.iamericas.org/2020/02/03/baja-california-energy-outlook-2020-2025/ (accessed on 20 September 2020).
- Hernández-Fontes, J.V.; Felix, A.; Mendoza, E.; Rodríguez Cueto, Y.; Silva, R. On the Marine Energy Resources of Mexico. J. Mar. Sci. Eng. 2019, 7, 191. [Google Scholar] [CrossRef]
- Dietrich, J.C.; Tanaka, J.J.; Westerink, C.; Dawson, R.; Luettich, R.; Zijlema, M.; Holthuijsen, L.H.; Smith, J.; Westernik, L. Performance of the unstructured-mesh, SWAN+ ADCIRC model in computing hurricane waves and surge. J. Sci. Comput. 2012, 52, 468–497. [Google Scholar] [CrossRef]
- Finkelstein, J.M.; Schafer, R.E. Improved goodness of fit tests. Biometrika 1971, 58, 641–645. [Google Scholar] [CrossRef]
- De Marina, S.; Ensenada, B.C. Available online: https://digaohm.semar.gob.mx/cuestionarios/cnarioEnsenada.pdf (accessed on 20 September 2020).
- Martínez-Díaz, A.; Nava-Button, C.; Ocampo-Torres, F.J. Ocean Wave Statistics For Todos Santos Bay, B.C., From September 1986 To August 1987. Cienc. Mar. 1989, 15, 1–20. [Google Scholar] [CrossRef][Green Version]
- Flocard, F.; Lerodiaconou, D.; Coghlan, I.R. Multi-criteria Evaluation of Wave Energy Projects on the South-east Australian Coast. Renew. Energy 2016, 99, 80–94. [Google Scholar] [CrossRef]
- Lavi, G.H. Issues in OTEC commercialization. Energy 1980, 5, 551–560. [Google Scholar] [CrossRef]
- Yang, H.; Lu, L. Study of typical meteorological years and their effect on building energy and renewable energy simulations. ASHRAE Trans. 2003, 110, 424–431. [Google Scholar]
- Huld, T.; Paietta, E.; Zangheri, E.; Pinedo Pascua, I. Assembling Typical Meteorological Year Data Sets for Building Energy Performance Using Reanalysis and Satellite-Based Data. Atmosphere 2018, 9, 53. [Google Scholar] [CrossRef]
- Li, H.; Yang, Y.; Lv, K.; Yang, L. Compare several methods of select typical meteorological year for building energy simulation in China. Energy 2020, 209, 118465. [Google Scholar] [CrossRef]
- Gazela, M.; Mathioulakis, E. A new method for typical weather data selection to evaluate long-term performance of solar energy systems. Sol. Energy 2001, 70, 339–348. [Google Scholar] [CrossRef]
- Vignola, F.E.; McMahan, A.; Grover, C.N. Chapter 5—Bankable Solar-Radiation Datasets. In Solar Energy Forecasting and Resource Assessment; Academic Press: Amsterdam, The Netherlands, 2013. [Google Scholar]
- Kalogirou, S.A. Chapter 2—Environmental Characteristics. In Solar Energy Forecasting and Resource Assessment; Academic Press: Amsterdam, The Netherlands, 2013. [Google Scholar]
- Scaini, C.; Folch, A.; Navarro, M. Tephra hazard assessment at Concepción Volcano, Nicaragua. J. Volcanol. Geotherm. Res. 2012, 219–220, 41–51. [Google Scholar] [CrossRef]
- ERA5 Hourly Data on Single Levels from 1979 to Present. Available online: https://cds.climate.copernicus.eu/cdsapp#!/dataset/reanalysis-era5-single-levels?tab=overview (accessed on 15 October 2020).
- Ramon, J.; Lledó, L.; Torralba, V.; Soret, A.; Doblas-Reyes, F.J. What global reanalysis best represents near-surface winds? Q. J. R. Meteorol. Soc. 2019, 145, 3236–3251. [Google Scholar] [CrossRef]
- Kay, J.E.; Deser, C.; Phillips, A.; Mai, A.; Hannay, C.; Strand, G.; Arblaster, J.; Bates, S.; Danabasoglu, G.; Edwards, J.; et al. The Community Earth System Model (CESM) Large Ensemble Project: A Community Resource for Studying Climate Change in the Presence of Internal Climate Variability. Bull. Am. Meteorol. Soc. 2015, 96, 1333–1349. [Google Scholar] [CrossRef]
- Dietrich, J.C.; Zijlema, M.; Westerink, J.J.; Holthuijsen, L.H.; Dawson, M.; Luettich, R.A.; Jensen, R.E.; Smith, J.M.; Stelling, G.S.; Stone, G.W. Modeling hurricane waves and storm surge using integrally-coupled, scalable computations. Coast. Eng. 2011, 58, 45–65. [Google Scholar] [CrossRef]
- Gorman, R.M.; Neilson, C.G. Modelling shallow water wave generation and transformation in an intertidal estuary. Coast. Eng. 1999, 36, 197–217. [Google Scholar] [CrossRef]
- Rogers, W.E.; Hwang, P.A.; Wang, D.W. Investigation of wave growth and decay in the SWAN model: Three regional-scale applications. J. Phys. Oceanogr. 2003, 33, 366–389. [Google Scholar] [CrossRef]
- Zijlema, M. Computation of wind–wave spectra in coastal waters with SWAN on unstructured grids. Coast. Eng. 2010, 57, 267–277. [Google Scholar] [CrossRef]
- Md Hoque, A.; Perrie, W.; Salomon, S.M. Application of SWAN model for storm generated wave simulation in the Canadian Beaufort Sea. J. Ocean Eng. Sci. 2020, 5, 19–34. [Google Scholar] [CrossRef]
- Booij, N.; Ris, R.C.; Holthuijsen, L.H. A third-generation wave model for coastal regions, Part I, model description and validation. J. Geophys. Res. 1999, 104, 7649–7666. [Google Scholar] [CrossRef]
- Dawson, C.N.; Westernik, J.J.; Feyen, J.C.; Ponthina, D. Continuous, discontinuous and coupled discontinuous-continuous Galerkin finite element methods for the shallow water equations. Int. J. Numer. Methods Fluids 2006, 52, 63–88. [Google Scholar] [CrossRef]
- Kolar, R.L.; Westernik, J.J.; Cantekin, M.E.; Blain, C.A. Aspects of nonlinear simulations using shallow water models based on the wave continuity equations. Comput. Fluids 1994, 23, 1–24. [Google Scholar] [CrossRef]
- Westernik, J.J.; Luettich, R.A.; Feyen, J.C.; Atkinson, J.H.; Dawson, C.; Roberts, H.J.; Powe, M.D.; Dunion, J.P.; Kubatko, E.J.; Pourtaheri, H.; et al. A basin to channel scale unstructured grid hurricane storm surge model applied to southern Louisiana. Mon. Weather Rev. 2008, 136, 833–864. [Google Scholar] [CrossRef]
- Bennett, V.C.C.; Mulligan, R.P. Evaulation of surface wind fields for prediction of directional ocean wave spectra during Hurricane Sandy. Coast. Eng. 2017, 125, 1–15. [Google Scholar] [CrossRef]
- Deb, M.; Ferreira, C.M. Simulation of cyclone-induced storm surges in the low-lying delta of Bangladesh using coupled hydrodynamic and wave model (SWAN+ ADCIRC). J. Flood Risk Manag. 2018, 11, S750–S765. [Google Scholar] [CrossRef]
- Demissie, H.K.; Bacopoulos, P. Parameter estimation of anisotropic Manning’s n coefficient for advanced circulation (ADCIRC) modeling of estuarine river currents (lower St. Johns River). J. Mar. Syst. 2017, 169, 1–10. [Google Scholar] [CrossRef]
- Kolar, R.L.; Kibbey, T.C.G.; Szpilka, C.M.; Dresback, K.M.; Tromble, E.M.; Toohey, I.P.; Hoggan, J.L.; Atkinson, J.H. Process-oriented tests for validation of baroclinic shallow water models: The lock-exchange problem. Ocean Model. 2009, 28, 137–152. [Google Scholar] [CrossRef]
- International Hydrographic Organization. Gridded Bathymetry Data. Available online: https://www.gebco.net/ (accessed on 10 June 2020).
- Szpilka, C.; Dresback, K.; Kolar, R.; Massey, T.C. Improvements for the Eastern North Pacific ADCIRC Tidal Database (ENPAC15). J. Mar. Sci. Eng. 2018, 6, 131. [Google Scholar] [CrossRef]
- Hench, J.L.; Luettich, R.A. ADCIRC: An advanced three-dimensional circulation model for shelves, coasts, and estuaries report 6: Development of a tidal constituent database for the Eastern North Pacific. In Technical Report DRP-92-6; U.S. Army Corps of Engineers, Waterways Experiment Station: Vicksburg, MS, USA, 1994. [Google Scholar]
- Salter, S.H. Wave power. Nature 1974, 249, 720–724. [Google Scholar] [CrossRef]
- Margheritini, L.; Vicinanza, D.; Frigaard, P. SSG wave energy converter: Design, reliability and hydraulic performance of an innovative overtopping device. Renew. Energy 2009, 34, 1371–1380. [Google Scholar] [CrossRef]
- Carballo, R.; Iglesias, G.A. A methodology to determine the power performance of wave energy converters at a particular coastal location. Energy Convers. Manag. 2012, 61, 8–18. [Google Scholar] [CrossRef]
- Kofoed, J.P. The wave energy sector. In Handbook of Ocean Wave Energy, Ocean Engineering & Oceanography; Pecher, A., Kofoed, J.P., Eds.; Springer: Cham, Switzerland, 2017; Volume 7, Chapter 2. [Google Scholar] [CrossRef]
- Pecher, A.; Kofoed, J.P. Introduction. In Handbook of Ocean Wave Energy, Ocean Engineering & Oceanography; Pecher, A., Kofoed, J.P., Eds.; Springer: Cham, Switzerland, 2017; Volume 7, Chapter 1. [Google Scholar] [CrossRef]
- Zanuttigh, B.; Angelelli, E. Analisi Delle Attuali Tecnologie Esistenti per lo Sfruttamento della Energia Marina dai Mari Italiani; Dicam Dipartimento di Ingegneria Civile, Ambientale e dei Materiali: Bologna, Italy, 2011; p. 126. [Google Scholar]
- Soukissian, T.H.; Denaxa, D.; Karathanasi, F.; Prospathopoulos, A.; Sarantakos, K.; Iona, A. Marine renewable energy in the Mediterranean Sea: Statuts and perspectives. Energies 2017, 10, 1512. [Google Scholar] [CrossRef]
- Kyoto Protocol to the United Nations Framework Convention on Climate Change. Available online: https://unfccc.int/process-and-meetings/the-kyoto-protocol/history-of-the-kyoto-protocol/text-of-the-kyoto-protocol (accessed on 20 April 2020).
- Mattiazzo, G. State of the Art and Perspectives of Wave Energy in the Mediterranean Sea: Backstage of ISWEC. Front. Ener. Res. 2019, 7. [Google Scholar] [CrossRef]
- Malara, G.; Romolo, A.; Fiamma, V.; Arena, F.A. On the modelling of water column oscillations in U-OWC energy harvesters. Renew. Energy 2017, 101, 964–972. [Google Scholar] [CrossRef]
- Moretti, G.; Malara, G.; Scialò, A.; Daniele, L.; Romolo, A.; Vertechy, R. Modelling and field testing of a breakwater-integrated U-OWC wave energy converter with dielectric elastomer generator. Renew. Energy 2019, 146, 628–642. [Google Scholar] [CrossRef]
- Arena, F.; Romolo, A.; Malara, G.; Fiamma, V.; Laface, V. The first worldwide application at full-scale of the U-OWC device in the port of Civitavecchia: Initial energetic performances. In Proceedings of the ASME 36th International Conference on Ocean, Offshore and Arctic Engineering, OMAE2017-62036 (Trondheim), Trondheim, Norway, 25–30 June 2017. [Google Scholar] [CrossRef]












| Month | 1 | 2 | 3 | 4 | 5 | 6 |
| Year | 2004 | 2009 | 2009 | 2003 | 1999 | 2007 |
| Month | 7 | 8 | 9 | 10 | 11 | 12 |
| Year | 2010 | 2006 | 2003 | 2014 | 2003 | 2016 |
| Average in kW/m | Standard Deviation | |
|---|---|---|
| January | 2.0 | 4.0 |
| February | 3.1 | 7.2 |
| March | 2.9 | 6.0 |
| April | 3.5 | 3.6 |
| May | 4.8 | 4.9 |
| June | 2.5 | 3.9 |
| July | 1.4 | 1.6 |
| August | 1.2 | 1.0 |
| September | 1.7 | 1.7 |
| October | 0.9 | 1.2 |
| November | 1.8 | 4.5 |
| December | 3.2 | 6.6 |
| Month | Energy ≥ 2 kW/m | Energy ≥ 5 kW/m | Energy ≥ 10 kW/m |
|---|---|---|---|
| January | 26.3% | 8.7% | 2.4% |
| February | 33.8% | 13.1% | 5.8% |
| March | 37.3% | 12.0% | 4.3% |
| April | 53.2% | 27.1% | 8.3% |
| May | 55.1% | 36.5% | 15.5% |
| June | 36.5% | 7.4% | 5.0% |
| July | 22.3% | 4.4% | 0.2% |
| August | 16.6% | 0.6% | 0.0% |
| September | 31.8% | 5.5% | 0.0% |
| October | 10.9% | 2.3% | 0.0% |
| November | 17.4% | 6.8% | 2.6% |
| December | 33.3% | 12.7% | 6.5% |
Publisher’s Note: MDPI stays neutral with regard to jurisdictional claims in published maps and institutional affiliations. |
© 2021 by the authors. Licensee MDPI, Basel, Switzerland. This article is an open access article distributed under the terms and conditions of the Creative Commons Attribution (CC BY) license (http://creativecommons.org/licenses/by/4.0/).
Share and Cite
Hernandez-Sanchez, T.; Bonasia, R.; Scaini, C. Feasibility Study for the Extraction of Wave Energy along the Coast of Ensenada, Baja California, Mexico. J. Mar. Sci. Eng. 2021, 9, 284. https://doi.org/10.3390/jmse9030284
Hernandez-Sanchez T, Bonasia R, Scaini C. Feasibility Study for the Extraction of Wave Energy along the Coast of Ensenada, Baja California, Mexico. Journal of Marine Science and Engineering. 2021; 9(3):284. https://doi.org/10.3390/jmse9030284
Chicago/Turabian StyleHernandez-Sanchez, Tzeltzin, Rosanna Bonasia, and Chiara Scaini. 2021. "Feasibility Study for the Extraction of Wave Energy along the Coast of Ensenada, Baja California, Mexico" Journal of Marine Science and Engineering 9, no. 3: 284. https://doi.org/10.3390/jmse9030284
APA StyleHernandez-Sanchez, T., Bonasia, R., & Scaini, C. (2021). Feasibility Study for the Extraction of Wave Energy along the Coast of Ensenada, Baja California, Mexico. Journal of Marine Science and Engineering, 9(3), 284. https://doi.org/10.3390/jmse9030284

