The Response of the Water Surface Layer to Internal Turbulence and Surface Forcing
Abstract
1. Introduction
2. Experimental Setup, Data Acquisition, and Analysis
2.1. Experimental Setup
2.2. Internal Source of Turbulence
2.3. Convection and Turbulent Heat Flux
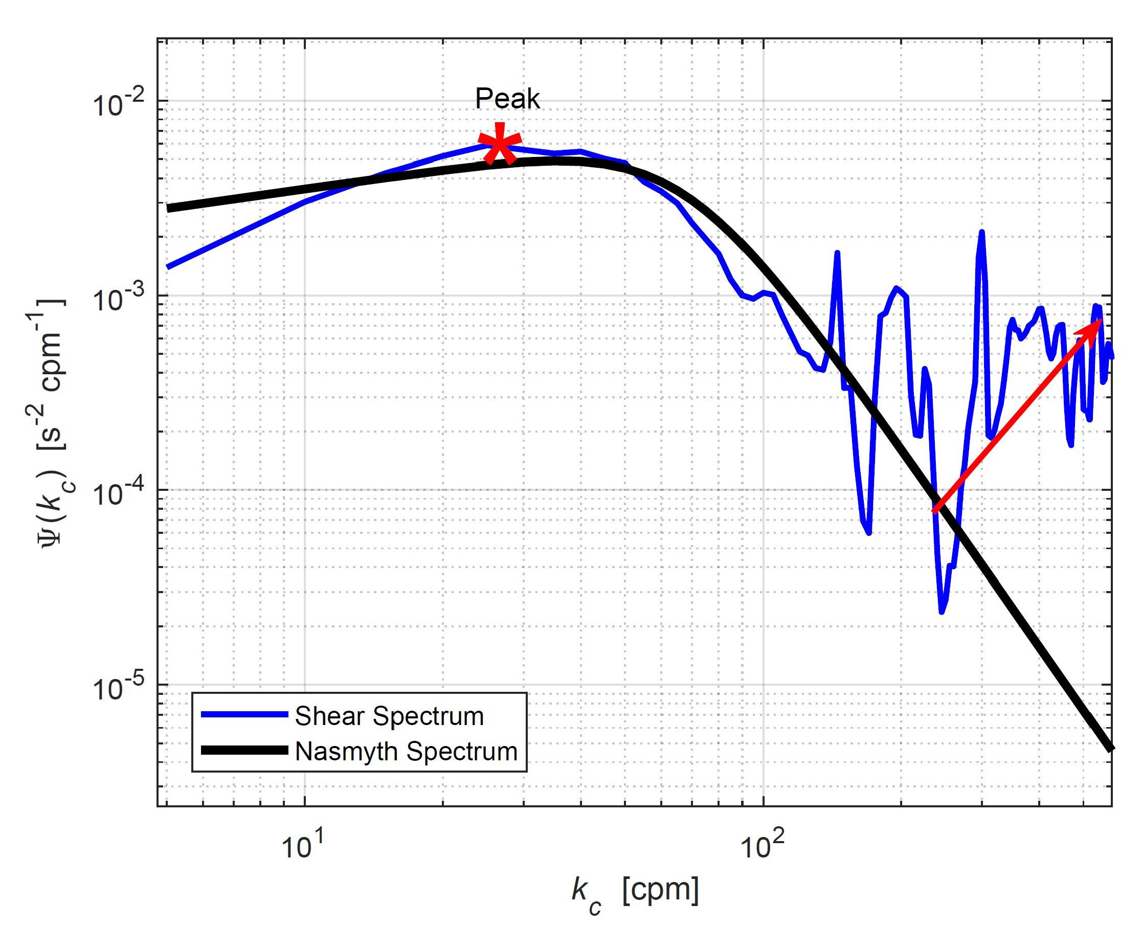
2.4. Turbulence Scaling
3. Results and Discussion
3.1. Steady and Spatially Decaying Background Turbulence—Grid-Generated Turbulence
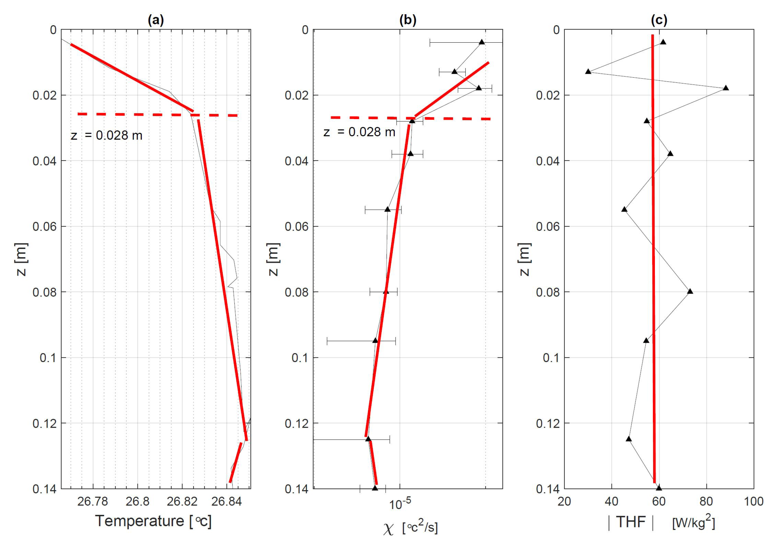
3.2. Observations of Free Convective Flow and Associated Vertical Heat Flux
3.3. Vertical Profile Observations
3.4. Wave-Generated
4. Conclusions
Author Contributions
Funding
Institutional Review Board Statement
Informed Consent Statement
Data Availability Statement
Acknowledgments
Conflicts of Interest
Appendix A. Transport Equation of ϵ and χ for Grid-Generated Turbulence
Appendix B. Wave Scaling
References
- Terashima, H. The Importance of Education and Capacity-building Programs for Ocean Govemance. Ocean Yearb. Online 2004, 18, 600–611. [Google Scholar] [CrossRef]
- Dourado, M.; Oliveira, A.P.D. Observational description of the atmospheric and oceanic boundary layers over the Atlantic Ocean. Rev. Bras. Oceanogr. 2001, 49, 49–59. [Google Scholar] [CrossRef]
- Pinker, R.T.; Bentamy, A.; Katsaros, K.; Ma, Y.; Li, C. Estimates of net heat fluxes over the Atlantic Ocean. J. Geophys. Res. Ocean. 2014, 119, 410–427. [Google Scholar] [CrossRef]
- Fredriksson, S.T.; Arneborg, L.; Nilsson, H.; Zhang, Q.; Handler, R.A. An evaluation of gas transfer velocity parameterizations during natural convection using DNS. J. Geophys. Res. Ocean. 2016, 121, 1400–1423. [Google Scholar] [CrossRef]
- Loh, A.; Shankar, R.; Ha, S.Y.; An, J.G.; Yim, U.H. Stability of mechanically and chemically dispersed oil: Effect of particle types on oil dispersion. Sci. Total Environ. 2020, 716, 135343. [Google Scholar] [CrossRef]
- Ramírez, J.; Moghimi, S.; Restrepo, J.M.; Venkataramani, S. Modelling the mass exchange dynamics of oceanic surface and subsurface oil. Ocean Model. 2018, 129, 1–12. [Google Scholar] [CrossRef]
- Pope, S.B. Turbulent Flows. 2001. Available online: https://iopscience.iop.org/article/10.1088/0957-0233/12/11/705/meta (accessed on 18 February 2021).
- Metoyer, S.; Barzegar, M.; Bogucki, D.; Haus, B.K.; Shao, M. Measurement of small-scale surface velocity and turbulent kinetic energy dissipation rates using infrared imaging. J. Atmos. Ocean. Technol. 2020, 38. [Google Scholar] [CrossRef]
- Wain, D.J.; Lilly, J.M.; Callaghan, A.H.; Yashayaev, I.; Ward, B. A breaking internal wave in the surface ocean boundary layer. J. Geophys. Res. Ocean. 2015, 120, 4151–4161. [Google Scholar] [CrossRef]
- Wang, D.W.; Wijesekera, H.W. Observations of breaking waves and energy dissipation in modulated wave groups. J. Phys. Oceanogr. 2018, 48, 2937–2948. [Google Scholar] [CrossRef]
- Bogucki, D.; Haus, B.K.; Shao, M. The dissipation of energy beneath non-breaking waves. In Proceedings of the Ocean Sciences Meeting 2020, AGU, San Diego, CA, USA, 19 February 2020. [Google Scholar]
- Bogucki, D.J.; Huguenard, K.; Haus, B.K.; Özgökmen, T.; Reniers, A.; Laxague, N. Scaling laws for the upper ocean temperature dissipation rate. Geophys. Res. Lett. 2015, 42, 839–846. [Google Scholar] [CrossRef]
- Bogucki, D.; Haus, B.K.; Shao, M. The Response of the Boundary Layer to Weak Forcing. In Proceedings of the Ocean Sciences Meeting 2020, AGU, San Diego, CA, USA, 19 February 2020. [Google Scholar]
- Berhanu, M.; Falcon, E.; Deike, L. Turbulence of capillary waves forced by steep gravity waves. J. Fluid Mech. 2018, 850, 803–843. [Google Scholar] [CrossRef]
- Wüest, A.; Piepke, G.; Van Senden, D.C. Turbulent kinetic energy balance as a tool for estimating vertical diffusivity in wind-forced stratified waters. Limnol. Oceanogr. 2000, 45, 1388–1400. [Google Scholar] [CrossRef]
- Terray, E.; Donelan, M.; Agrawal, Y.; Drennan, W.M.; Kahma, K.; Williams, A.J.; Hwang, P.; Kitaigorodskii, S. Estimates of kinetic energy dissipation under breaking waves. J. Phys. Oceanogr. 1996, 26, 792–807. [Google Scholar] [CrossRef]
- Anguelova, M.D.; Webster, F. Whitecap coverage from satellite measurements: A first step toward modeling the variability of oceanic whitecaps. J. Geophys. Res. Ocean. 2006, 111. [Google Scholar] [CrossRef]
- Babanin, A.V.; Haus, B.K. On the existence of water turbulence induced by nonbreaking surface waves. J. Phys. Oceanogr. 2009, 39, 2675–2679. [Google Scholar] [CrossRef]
- Bogucki, D.J.; Haus, B.K.; Barzegar, M.; Shao, M.; Domaradzki, J.A. On the Nature of the Turbulent Energy Dissipation Beneath Nonbreaking Waves. Geophys. Res. Lett. 2020, 47, e2020GL090138. [Google Scholar] [CrossRef]
- Barkan, R.; McWilliams, J.C.; Shchepetkin, A.F.; Molemaker, M.J.; Renault, L.; Bracco, A.; Choi, J. Submesoscale dynamics in the northern Gulf of Mexico. Part I: Regional and seasonal characterization and the role of river outflow. J. Phys. Oceanogr. 2017, 47, 2325–2346. [Google Scholar] [CrossRef]
- Munk, W.H. Origin and Generation of Waves; Technical Report; Scripps Institution of Oceanography: La Jolla, CA, USA, 1951. [Google Scholar]
- Laxague, N.J.M. Development and Application of Gravity-Capillary Wave Fourier Analysis for the Study of Air-Sea Interaction Physics; University of Miami: Coral Gables, FL, USA, 2016. [Google Scholar]
- Chen, P.; Wang, X.; Liu, L.; Chong, J. A coupling modulation model of capillary waves from gravity waves: Theoretical analysis and experimental validation. J. Geophys. Res. Ocean. 2016, 121, 4228–4244. [Google Scholar] [CrossRef]
- Murzyn, F.; Bélorgey, M. Experimental investigation of the grid-generated turbulence features in a free surface flow. Exp. Therm. Fluid Sci. 2005, 29, 925–935. [Google Scholar] [CrossRef]
- Grzelak, J.; Wierciński, Z. The decay power law in turbulence generated by grids. Trans. Inst. Fluid-Flow Mach. 2015, 130, 93–107. [Google Scholar]
- Tennekes, H.; Lumley, J.L.; Lumley, J. A First Course in Turbulence; MIT Press: Cambridge, MA, USA, 1972. [Google Scholar]
- Lueck, R.G.; Wolk, F.; Yamazaki, H. Oceanic velocity microstructure measurements in the 20th century. J. Oceanogr. 2002, 58, 153–174. [Google Scholar] [CrossRef]
- Macoun, P.; Lueck, R. Modeling the spatial response of the airfoil shear probe using different sized probes. J. Atmos. Ocean. Technol. 2004, 21, 284–297. [Google Scholar] [CrossRef]
- Lueck, R. Calculating the Rate of Dissipation of Turbulent Kinetic Energy; RSI Technical Note 028; Rockland Scientific International Inc.: Victoria, BC, Canada, 2013; Volume 18. [Google Scholar]
- Lueck, R. Converting Shear Probe, Thermistors and Microconductivity Signals into Physical Units; Rockland Scientific International Inc.: Victoria, BC, Canada, 2010; Volume 1. [Google Scholar]
- Siddon, T.E.; Ribner, H.S. An aerofoil probe for measuring the transverse component of turbulence. AIAA J. 1965, 3, 747–749. [Google Scholar] [CrossRef]
- Osborn, T.; Crawford, W. An airfoil probe for measuring turbulent velocity fluctuations in water. In Air-Sea Interaction; Springer: Berlin/Heidelberg, Germany, 1980; pp. 369–386. [Google Scholar]
- Bluteau, C.E.; Lueck, R.G.; Ivey, G.N.; Jones, N.L.; Book, J.W.; Rice, A.E. Determining mixing rates from concurrent temperature and velocity measurements. J. Atmos. Ocean. Technol. 2017, 34, 2283–2293. [Google Scholar] [CrossRef]
- Goodman, L.; Levine, E.R.; Lueck, R.G. On measuring the terms of the turbulent kinetic energy budget from an AUV. J. Atmos. Ocean. Technol. 2006, 23, 977–990. [Google Scholar] [CrossRef]
- Kolmogorov, A.N. The local structure of turbulence in incompressible viscous fluid for very large Reynolds numbers. Proc. R. Soc. Lond. Ser. A Math. Phys. Sci. 1991, 434, 9–13. [Google Scholar]
- Peterson, A.K.; Fer, I. Dissipation measurements using temperature microstructure from an underwater glider. Methods Oceanogr. 2014, 10, 44–69. [Google Scholar] [CrossRef]
- Oakey, N. Determination of the rate of dissipation of turbulent energy from simultaneous temperature and velocity shear microstructure measurements. J. Phys. Oceanogr. 1982, 12, 256–271. [Google Scholar] [CrossRef]
- Bogucki, D.; Luo, H.; Domaradzki, J. Experimental evidence of the Kraichnan scalar spectrum at high reynolds numbers. J. Phys. Oceanogr. 2012, 42, 1717–1728. [Google Scholar] [CrossRef]
- Lueck, R.G.; Hertzman, O.; Osborn, T.R. The spectral response of thermistors. Deep Sea Res. 1977, 24, 951–970. [Google Scholar] [CrossRef]
- Nash, J.D.; Caldwell, D.R.; Zelman, M.J.; Moum, J.N. A thermocouple probe for high-speed temperature measurement in the ocean. J. Atmos. Ocean. Technol. 1999, 16, 1474–1482. [Google Scholar] [CrossRef][Green Version]
- Donelan, M.A.; Plant, W.J. A threshold for wind-wave growth. J. Geophys. Res. Ocean. 2009, 114. [Google Scholar] [CrossRef]
- Elfouhaily, T.; Chapron, B.; Katsaros, K.; Vandemark, D. A unified directional spectrum for long and short wind-driven waves. J. Geophys. Res. Ocean. 1997, 102, 15781–15796. [Google Scholar] [CrossRef]
- Zhou, T.; Antonia, R.; Danaila, L.; Anselmet, F. Transport equations for the mean energy and temperature dissipation rates in grid turbulence. Exp. Fluids 2000, 28, 143–151. [Google Scholar] [CrossRef]
- Antonia, R.; Zhou, T.; Zhu, Y. Three-component vorticity measurements in a turbulent grid flow. J. Fluid Mech. 1998, 374, 29–57. [Google Scholar] [CrossRef]
- Hearst, R.J.; Lavoie, P. Decay of turbulence generated by a square-fractal-element grid. J. Fluid Mech. 2014, 741, 567–584. [Google Scholar] [CrossRef]
- Warhaft, Z.; Lumley, J. An experimental study of the decay of temperature fluctuations in grid-generated turbulence. J. Fluid Mech. 1978, 88, 659–684. [Google Scholar] [CrossRef]
- Soloviev, A.; Klinger, B.; Steele, J.; Thorpe, S. Open ocean convection. Encycl. Ocean Sci. 2001, 4, 2015–2022. [Google Scholar]
- Moum, J.N. Energy-containing scales of turbulence in the ocean thermocline. J. Geophys. Res. Ocean. 1996, 101, 14095–14109. [Google Scholar] [CrossRef]
- Osborn, T.R.; Cox, C.S. Oceanic fine structure. Geophys. Astrophys. Fluid Dyn. 1972, 3, 321–345. [Google Scholar] [CrossRef]
- Ruddick, B.; Walsh, D.; Oakey, N. Variations in apparent mixing efficiency in the North Atlantic Central Water. J. Phys. Oceanogr. 1997, 27, 2589–2605. [Google Scholar] [CrossRef]
- Esters, L.; Breivik, Ø.; Landwehr, S.; ten Doeschate, A.; Sutherland, G.; Christensen, K.H.; Bidlot, J.R.; Ward, B. Turbulence scaling comparisons in the ocean surface boundary layer. J. Geophys. Res. Ocean. 2018, 123, 2172–2191. [Google Scholar] [CrossRef]
- Kitaigorodskii, S.; Donelan, M.; Lumley, J.; Terray, E. Wave-turbulence interactions in the upper ocean. part ii. statistical characteristics of wave and turbulent components of the random velocity field in the marine surface layer. J. Phys. Oceanogr. 1983, 13, 1988–1999. [Google Scholar] [CrossRef]
- Gargett, A.E. Ocean turbulence. Annu. Rev. Fluid Mech. 1989, 21, 419–451. [Google Scholar] [CrossRef]
- Sutherland, G.; Ward, B.; Christensen, K. Wave-turbulence scaling in the ocean mixed layer. Ocean Sci. 2013, 9, 597–608. [Google Scholar] [CrossRef]
- Zahariev, K.; Garrett, C. An apparent surface buoyancy flux associated with the nonlinearity of the equation of state. J. Phys. Oceanogr. 1997, 27, 362–368. [Google Scholar] [CrossRef]
- Wells, A.J.; Cenedese, C.; Farrar, J.T.; Zappa, C.J. Variations in ocean surface temperature due to near-surface flow: Straining the cool skin layer. J. Phys. Oceanogr. 2009, 39, 2685–2710. [Google Scholar] [CrossRef]
- Bogucki, D.J.; Domaradzki, J.A.; von Allmen, P. Polarimetric lidar measurements of aquatic turbulence-laboratory experiment. Opt. Express 2018, 26, 6806–6816. [Google Scholar] [CrossRef] [PubMed]
- Carton, J.A.; Chepurin, G.A.; Chen, L.; Grodsky, S.A. Improved global net surface heat flux. J. Geophys. Res. Ocean. 2018, 123, 3144–3163. [Google Scholar] [CrossRef]
- Pan, J.; Sun, Y. Estimation of Horizontal Eddy Heat Flux in Upper Mixed-Layer in the South China Sea by Using Satellite Data. Sci. Rep. 2018, 8, 1–11. [Google Scholar] [CrossRef]
- McMillan, J.M.; Hay, A.E.; Lueck, R.G.; Wolk, F. Rates of dissipation of turbulent kinetic energy in a high Reynolds number tidal channel. J. Atmos. Ocean. Technol. 2016, 33, 817–837. [Google Scholar] [CrossRef]
- Lozovatsky, I.; Fernando, H.; Planella-Morato, J.; Liu, Z.; Lee, J.H.; Jinadasa, S. Probability distribution of turbulent kinetic energy dissipation rate in ocean: Observations and approximations. J. Geophys. Res. Ocean. 2017, 122, 8293–8308. [Google Scholar] [CrossRef]
- Evans, D.G.; Lucas, N.S.; Hemsley, V.; Frajka-Williams, E.; Naveira Garabato, A.C.; Martin, A.; Painter, S.C.; Inall, M.E.; Palmer, M.R. Annual cycle of turbulent dissipation estimated from Seagliders. Geophys. Res. Lett. 2018, 45, 10–560. [Google Scholar] [CrossRef]
- Markowski, P.M.; Lis, N.T.; Turner, D.D.; Lee, T.R.; Buban, M.S. Observations of near-surface vertical wind profiles and vertical momentum fluxes from VORTEX-SE 2017: Comparisons to Monin–Obukhov similarity theory. Mon. Weather Rev. 2019, 147, 3811–3824. [Google Scholar] [CrossRef]
- Drennan, W.M.; Donelan, M.; Madsen, N.; Katsaros, K.; Terray, E.A.; Flagg, C. Directional wave spectra from a Swath ship at sea. J. Atmos. Ocean. Technol. 1994, 11, 1109–1116. [Google Scholar] [CrossRef]
- Collins, C., III; Blomquist, B.; Persson, O.; Lund, B.; Rogers, W.; Thomson, J.; Wang, D.; Smith, M.; Doble, M.; Wadhams, P.; et al. Doppler correction of wave frequency spectra measured by underway vessels. J. Atmos. Ocean. Technol. 2017, 34, 429–436. [Google Scholar] [CrossRef]
- Alappattu, D.P.; Wang, Q.; Yamaguchi, R.; Lind, R.J.; Reynolds, M.; Christman, A.J. Warm layer and cool skin corrections for bulk water temperature measurements for air-sea interaction studies. J. Geophys. Res. Ocean. 2017, 122, 6470–6481. [Google Scholar] [CrossRef]
- Liu, Y.; Yu, L.; Chen, G. Characterization of Sea Surface Temperature and Air-Sea Heat Flux Anomalies Associated with Mesoscale Eddies in the South China Sea. J. Geophys. Res. Ocean. 2020, 125, e2019JC015470. [Google Scholar] [CrossRef]
- Batchelor, G.K.; Townsend, A.A. Decay of isotropic turbulence in the initial period. Proc. R. Soc. Lond. Ser. A Math. Phys. Sci. 1948, 193, 539–558. [Google Scholar]
- Tresso, R.; Munoz, D.R. Homogeneous, isotropic flow in grid generated turbulence. J. Fluids Eng. 2000, 122, 51–56. [Google Scholar] [CrossRef]
- Gemmrich, J. Strong turbulence in the wave crest region. J. Phys. Oceanogr. 2010, 40, 583–595. [Google Scholar] [CrossRef]






| <U> = Mean Flow Velocity (m/s) | 0.101 | 0.125 | 0.167 | 0.183 |
|---|---|---|---|---|
| = ( M <U>/) = grid Reynolds number | 2366 | 4482 | 5988 | 6630 |
| MSS = Mean square slope | ||||
| wavelength (m) | 0.038 | 0.051 | 0.074 | 0.098 |
| H = = wave height (m) | 0.003 | 0.0034 | 0.0060 | 0.0068 |
| = background turbulence at x/M = 37 (m/s) | ||||
| = surface buoyancy flux (m/s) | ||||
| = Oboukhov length scale (m) | 1.24 | 1.22 | 1.2 | 1.16 |
Publisher’s Note: MDPI stays neutral with regard to jurisdictional claims in published maps and institutional affiliations. |
© 2021 by the authors. Licensee MDPI, Basel, Switzerland. This article is an open access article distributed under the terms and conditions of the Creative Commons Attribution (CC BY) license (http://creativecommons.org/licenses/by/4.0/).
Share and Cite
Barzegar, M.; Bogucki, D.; Haus, B.K.; Shao, M. The Response of the Water Surface Layer to Internal Turbulence and Surface Forcing. J. Mar. Sci. Eng. 2021, 9, 217. https://doi.org/10.3390/jmse9020217
Barzegar M, Bogucki D, Haus BK, Shao M. The Response of the Water Surface Layer to Internal Turbulence and Surface Forcing. Journal of Marine Science and Engineering. 2021; 9(2):217. https://doi.org/10.3390/jmse9020217
Chicago/Turabian StyleBarzegar, Mohammad, Darek Bogucki, Brian K. Haus, and Mingming Shao. 2021. "The Response of the Water Surface Layer to Internal Turbulence and Surface Forcing" Journal of Marine Science and Engineering 9, no. 2: 217. https://doi.org/10.3390/jmse9020217
APA StyleBarzegar, M., Bogucki, D., Haus, B. K., & Shao, M. (2021). The Response of the Water Surface Layer to Internal Turbulence and Surface Forcing. Journal of Marine Science and Engineering, 9(2), 217. https://doi.org/10.3390/jmse9020217

