Impact of Management Regime and Regime Change on Gravel Barrier Response to a Major Storm Surge
Abstract
1. Introduction
- (1)
- How does an interventionist regime impact on gravel barrier morphology compared to an unmanaged state?
- (2)
- To what extent do morphological differences between the managed and unmanaged barrier sections alter barrier responses to extreme hydrodynamic events?
- (3)
- Where differences in barrier morphology alter responses to storm events, what are the implications for landward overtopping water volume?
2. Regional Setting and Study Location
3. Datasets and Modeling Approach
3.1. Analysis of Representative Cross-Shore Profiles from LiDAR
3.2. Modeling Overtopping Volume and Morphological Change from the December 2013 Storm Surge
4. Results
5. Discussion
5.1. Management Regime Introduces Systemic Differences in Barrier Pre-Storm Morphology
5.2. Pre-Storm Morphology Influences Morphological Change during Storm Events
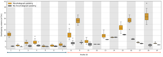
5.3. Morphological Change During Storm Events Influences Overtopping Volume
6. Conclusions
Supplementary Materials
Author Contributions
Funding
Institutional Review Board Statement
Informed Consent Statement
Data Availability Statement
Conflicts of Interest
References
- Stutz, M.L.; Pilkey, O.H. Open-ocean barrier islands: Global influence of climatic, oceanographic, and depositional settings. J. Coast. Res. 2011, 27, 207–222. [Google Scholar] [CrossRef]
- Otvos, E.G. Coastal barriers—Fresh look at origins, nomenclature and classification issues. Geomorphology 2020, 355, 107000. [Google Scholar] [CrossRef]
- McNamara, D.E.; Werner, B.T. Coupled barrier island-resort model: 1. Emergent instabilities induced by strong human-landscape interactions. J. Geophys. Res. Earth Surf. 2008, 113, 1–10. [Google Scholar] [CrossRef]
- Lazarus, E.D.; Ellis, M.A.; Murray, A.B.; Hall, D.M. An evolving research agenda for human–coastal systems. Geomorphology 2016, 256, 81–90. [Google Scholar] [CrossRef]
- Kraus, N.C.; Wamsley, T.V. Coastal Barrier Breaching, Part 1: Overview of Breaching Processes. In Coastal and Hydraulics Engineering Technical Note ERDC/CHL CHETN-IV-56; U.S. Army Engineer Research and Development Center: Vicksburg, MS, USA, 2003; Available online: http://chl.erdc.usace.army.mil/library/publications/chetn/pdf/chetn-iv-56.pdf (accessed on 30 January 2021).
- Grzegorzewski, A.S.; Cialone, M.A.; Wamsley, T.V. Interaction of barrier islands and storms: Implications for flood risk reduction in Louisiana and Mississippi. J. Coast. Res. 2011, 156–164. [Google Scholar] [CrossRef]
- Dornbusch, U. Design requirement for mixed sand and gravel beach defences under scenarios of sea level rise. Coast. Eng. 2017, 124, 12–24. [Google Scholar] [CrossRef]
- Penland, S.; Ramsey, K. Relative sea-level rise in Louisiana and the Gulf of Mexico: 1908–1988. J. Coast. Res. 1988, 6, 323–342. [Google Scholar] [CrossRef]
- Orford, J.; Jennings, S. The importance of different time-scale controls on coastal management strategy: The problem of Porlock gravel barrier, Somerset, UK. In Coastal Defence and Earth Science Conservation; Hooke, J.M., Ed.; Geological Society: London, UK, 1998; p. 270. ISBN 1897799969. [Google Scholar]
- Carter, R.W.G.; Orford, J.D. The morphodynamics of coarse clastic beaches and barriers: A short- and long-term perspective. J. Coast. Res. 1993, Special Issue 15, 158–179. [Google Scholar]
- Jennings, R.; Shulmeister, J. A field based classification scheme for gravel beaches. Mar. Geol. 2002, 186, 211–228. [Google Scholar] [CrossRef]
- Buscombe, D.; Masselink, G. Concepts in gravel beach dynamics. Earth-Science Rev. 2006, 79, 33–52. [Google Scholar] [CrossRef]
- Masselink, G.; Short, A.D. The effect of tide range on beach morphodynamics and morphology: A conceptual beach model. J. Coast. Res. 1993, 9, 785–800. [Google Scholar] [CrossRef]
- Orford, J.D.; G Carter, R.W.; Jennings, S.C. Control domains and morphological phases in gravel-dominated coastal barriers of Nova Scotia. J. Coast. Res. 1996, 12, 589–604. [Google Scholar]
- Billy, J.; Robin, N.; Hein, C.J.; FitzGerald, D.M.; Certain, R. Impact of relative sea-level changes since the last deglaciation on the formation of a composite paraglacial barrier. Mar. Geol. 2018, 400, 76–93. [Google Scholar] [CrossRef]
- Orford, J.D.; Carter, R.W.G.; McKenna, J.; Jennings, S.C. The relationship between the rate of mesoscale sea-level rise and the rate of retreat of swash-aligned gravel-dominated barriers. Mar. Geol. 1995, 124, 177–186. [Google Scholar] [CrossRef]
- Rodriguez, A.B.; Yu, W.; Theuerkauf, E.J. Abrupt increase in washover deposition along a transgressive barrier island during the late nineteenth century acceleration in sea-level rise. In Barrier Dynamics and Response to Changing Climate; Moore, L.J., Murray, A.B., Eds.; Springer: Berlin, Germany, 2018; pp. 121–145. [Google Scholar]
- Forbes, D.L.; Taylor, R.B.; Orford, J.D.; Carter, R.W.G.; Shaw, J. Gravel-barrier migration and overstepping. Mar. Geol. 1991, 97, 305–313. [Google Scholar] [CrossRef]
- Hartstein, N.D.; Dickinson, W.W. Gravel barrier migration and overstepping in Cable Bay, Nelson, New Zealand. J. Coast. Res. 2000, Special Issue 34, 256–266. [Google Scholar]
- Masselink, G.; McCall, R.; Poate, T.; van Geer, P. Modelling storm response on gravel beaches using XBeach-G. Proc. Inst. Civ. Eng. Marit. Eng. 2014, 167, 173–191. [Google Scholar] [CrossRef]
- Brown, S.I.; Dickson, M.E.; Kench, P.S.; Bergillos, R.J. Modelling gravel barrier response to storms and sudden relative sea-level change using XBeach-G. Mar. Geol. 2019, 410, 164–175. [Google Scholar] [CrossRef]
- Stokes, K.; Poate, T.; Masselink, G.; King, E.; Saulter, A.; Ely, N. Forecasting coastal overtopping at engineered and naturally defended coastlines. Coast. Eng. 2021, 164, 103827. [Google Scholar] [CrossRef]
- Orford, J.D.; Carter, R.W.G.; Jennings, S.C. Gravel barrier migration and sea level rise: Some observations from Story Head, Nova Scotia, Canada. J. Coast. Res. 1991, 7, 477–489. [Google Scholar]
- EurOtop. Manual on Wave Overtopping of Sea Defences and Related Structures. An Overtopping Manual Largely Based on European Research, but for Worldwide Application, 2nd ed. 2018. Available online: www.overtopping-manual.com (accessed on 30 January 2021).
- Mason, T.; Coates, T.T. Sediment transport processes on mixed beaches: A review for shoreline management. J. Coast. Res. 2001, 17, 645–657. [Google Scholar]
- Ahrens, J. Dynamic revetments. In Proceedings of the 22nd Conference on Coastal Engineering, Delft, The Netherlands, 2–6 July 1990; Edge, B.L., Ed.; ASCE: Reston, VA, USA, 1990; pp. 1837–1850. [Google Scholar]
- Aminti, P.; Cipriani, L.E.; Enzo, P. “Back to the beach”: Converting sea walls into gravel beaches. In Soft Shore Protection; Goudas, C.L., Ed.; Kluwer Academic Publishers: Dordrecht, The Netherlands, 2003; pp. 261–274. [Google Scholar]
- Jennings, S.; Orford, J.D.; Canti, M.; Devoy, R.J.N.; Straker, V. The role of relative sea-level rise and changing sediment supply on Holocene gravel barrier development: The example of Porlock, Somerset, UK. Holocene 1998, 8, 165–181. [Google Scholar] [CrossRef]
- Bradbury, A.P.; Orford, J.D. Influence of changing management regimes on the morphodynamic response, of a mixed gravel and sand barrier beach. In Proceedings of the Sixth International Symposium on Coastal Engineering and Science of Coastal Sediment Process, New Orleans, LA, 13–17 May 2007; Kraus, N.C., Rosati, J.D., Eds.; ASCE: Dordrecht, The Netherlands, 2007; pp. 1–14. [Google Scholar]
- Bergillos, R.J.; Rodríguez-Delgado, C.; Ortega-Sánchez, M. Advances in management tools for modeling artificial nourishments in mixed beaches. J. Mar. Syst. 2017, 172, 1–13. [Google Scholar] [CrossRef]
- Stéphan, P.; Suanez, S.; Fichaut, B.; Stéphan, P.; Brest-iroise, T.; Copernic, P.N. Long-term morphodynamic evolution of the Sillon de Talbert gravel barrier (Brittany, France). Shore Beach 2012, 80, 19–36. [Google Scholar]
- Stripling, S.; Bradbury, A.P.; Cope, S.N.; Brampton, A.H. Understanding Barrier Beaches; R&D Technical Report FD1924/TR; DEFRA: London, UK, 2008. [Google Scholar]
- André, C.; Boulet, D.; Rey-Valette, H.; Rulleau, B. Protection by hard defence structures or relocation of assets exposed to coastal risks: Contributions and drawbacks of cost-benefit analysis for long-term adaptation choices to climate change. Ocean Coast. Manag. 2016, 134, 173–182. [Google Scholar] [CrossRef]
- Firth, L.B.; Thompson, R.C.; Bohn, K.; Abbiati, M.; Airoldi, L.; Bouma, T.J.; Bozzeda, F.; Ceccherelli, V.U.; Colangelo, M.A.; Evans, A.; et al. Between a rock and a hard place: Environmental and engineering considerations when designing coastal defence structures. Coast. Eng. 2014, 87, 122–135. [Google Scholar] [CrossRef]
- Myatt, L.B.; Scrimshaw, M.D.; Lester, J.N. Public perceptions and attitudes towards a forthcoming managed realignment scheme: Freiston Shore, Lincolnshire, UK. Ocean Coast. Manag. 2003, 46, 565–582. [Google Scholar] [CrossRef]
- Pontee, N.I. Managed realignment in low lying coastal areas: Experiences from the UK. Marit. Eng. J. 2007, 160, 155–166. [Google Scholar] [CrossRef]
- Brown, J.M.; Phelps, J.J.C.; Barkwith, A.; Hurst, M.D.; Ellis, M.A.; Plater, A.J. The effectiveness of beach mega-nourishment, assessed over three management epochs. J. Environ. Manag. 2016, 184, 400–408. [Google Scholar] [CrossRef]
- Dale, J.; Burgess, H.M.; Cundy, A.B. Sedimentation rhythms and hydrodynamics in two engineered environments in an open coast managed realignment site. Mar. Geol. 2017, 383, 120–131. [Google Scholar] [CrossRef]
- Spalding, M.D.; McIvor, A.L.; Beck, M.W.; Koch, E.W.; Möller, I.; Reed, D.J.; Rubinoff, P.; Spencer, T.; Tolhurst, T.J.; Wamsley, T.V.; et al. Coastal ecosystems: A critical element of risk reduction. Conserv. Lett. 2014, 7, 293–301. [Google Scholar] [CrossRef]
- De Vriend, H.; Aarninkhof, S.; van Koningsveld, M. ‘Building with nature’: The new Dutch approach to coastal and river works. In Proceedings of the ICE—Civil Engineering; ICE: London, UK, 2014; Volume 167, pp. 18–24. [Google Scholar]
- Cheong, S.-M.; Silliman, B.; Wong, P.P.; van Wesenbeeck, B.; Kim, C.-K.; Guannel, G. Coastal adaptation with ecological engineering. Nat. Clim. Chang. 2013, 3, 787–791. [Google Scholar] [CrossRef]
- Möller, I. Applying uncertain science to nature-based coastal protection: Lessons from shallow wetland-dominated shores. Front. Environ. Sci. 2019, 7, 49. [Google Scholar] [CrossRef]
- Burgess, H.M.; Kilkie, P. Understanding the physical processes occurring within a new coastal managed realignment site, Medmerry, Sussex, UK. In Proceedings of the ICE Coastal Management; Institute for Civil Engineers: Amsterdam, The Netherlands, 2015; pp. 1–14. [Google Scholar]
- Hudson, C.; Baily, B. Delivering sustainable coasts: Monitoring the long-term stability of a breached barrier beach, Porlock Bay, Somerset, United Kingdom. Ocean Coast. Manag. 2018, 152, 88–99. [Google Scholar] [CrossRef]
- Stéphan, P.; Suanez, S.; Fichaut, B.; Autret, R.; Blaise, E.; Houron, J.; Ammann, J.; Grandjean, P. Monitoring the medium-term retreat of a gravel spit barrier and. Ocean Coast. Manag. 2018, 158, 64–82. [Google Scholar] [CrossRef]
- López de San Román-Blanco, B.; Coates, T.T.; Holmes, P.; Chadwick, A.J.; Bradbury, A.; Baldock, T.E.; Pedrozo-Acuña, A.; Lawrence, J.; Grüne, J. Large scale experiments on gravel and mixed beaches: Experimental procedure, data documentation and initial results. Coast. Eng. 2006, 53, 349–362. [Google Scholar] [CrossRef]
- Robin, N.; Billy, J.; Castelle, B.; Hesp, P.; Nicolae Lerma, A.; Laporte-Fauret, Q.; Marieu, V.; Rosebery, D.; Bujan, S.; Destribats, B.; et al. 150 Years of Foredune Initiation and Evolution Driven by Human and Natural Processes. Geomorphology 2021, 374, 107516. [Google Scholar] [CrossRef]
- Brooks, S.M.; Spencer, T.; Christie, E.K. Storm impacts and shoreline recovery: Mechanisms and controls in the Southern North Sea. Geomorphology 2017, 283, 48–60. [Google Scholar] [CrossRef]
- Environment Agency. Sea State Report Norfolk, Year 3 and Summary for October 2006 September 2009; RP039/N/2014; Environment Agency: Peterborough, UK, 2014.
- Cambers, G. East Anglia Coastal Research Programme: Report 3—Sediment Transport and Coastal Change; University of East Anglia: Norwich, UK, 1975. [Google Scholar]
- Oliver, F.W. Some remarks on Blakeney Point, Norfolk. J. Ecol. 1913, 1, 4–15. [Google Scholar] [CrossRef]
- Hardy, J.R. The movement of beach material and wave action near Blakeney Point, Norfolk. Trans. Pap. 1964, 34, 53–69. [Google Scholar] [CrossRef]
- Brooks, S.M.; Spencer, T.; McIvor, A.; Möller, I. Reconstructing and understanding the impacts of storms and surges, southern North Sea. Earth Surf. Process. Landforms 2016, 41, 855–864. [Google Scholar] [CrossRef][Green Version]
- Hill, T.G.; Hanley, J.A. The structure and water-content of shingle beaches. J. Ecol. 1914, 2, 21–38. [Google Scholar] [CrossRef]
- Oliver, F.W. Report on the Blakeney Point laboratory for the years 1915 and 1916. Trans. Norfolk Norwich Nat. Soc. 1918, 10, 241–255. [Google Scholar]
- Oliver, F.W. Scolt Head Island and Blakeney Point. Trans. Norfolk Norwich Nat. Soc. 1924, 11, 565–577. [Google Scholar]
- Steers, J.A.; Grove, A.T. Shoreline changes on the marshland coast of North Norfolk, 1951–53. Trans. Norfolk Norwich Nat. Soc. 1953, 17, 322–326. [Google Scholar]
- Orford, J.D.; Jennings, S.C.; Pethick, J.S. Extreme storm effect on gravel dominated barriers. In Proceedings of the Coastal Sediments 2003, Clearwater Beach, FL, USA, 18–23 May 2003; Davis, R.A., Sallenger, A., Howd, P., Eds.; World Scientific: Singapore, 2003; pp. 1–14. [Google Scholar]
- Steers, J.A.; Stoddart, D.R.; Bayliss-Smith, T.P.; Spencer, T.; Durbidge, P.M. The storm surge of 11 January 1978 on the East coast of England. Geogr. J. 1979, 11, 453–462. [Google Scholar] [CrossRef]
- White, D.B. The effects of the storm of 11th January 1978 on Blakeney Point. Trans. Norfolk Norwich Nat. Soc. 1979, 25, 267–269. [Google Scholar]
- Spencer, T.; Brooks, S.M.; Evans, B.R.; Tempest, J.A.; Möller, I. Southern North Sea storm surge event of 5 December 2013: Water levels, waves and coastal impacts. Earth Sci. Rev. 2015, 146, 120–145. [Google Scholar] [CrossRef]
- Matthews, T.; Murphy, C.; Wilby, R.L.; Harrigan, S. Stormiest winter on record for Ireland and UK. Nat. Clim. Chang. 2014, 4, 738–740. [Google Scholar] [CrossRef]
- DEFRA. DEFRA Data Services Platform. Available online: http://environment.data.gov.uk/ (accessed on 1 December 2018).
- Jäger, W.S.; Christie, E.K.; Hanea, A.M.; den Heijer, C.; Spencer, T. A Bayesian network approach for coastal risk analysis and decision making. Coast. Eng. 2018, 134, 48–61. [Google Scholar] [CrossRef]
- Hervouet, J.-M. TELEMAC modelling system: An overview. Hydrol. Process. 2000, 14, 2209–2210. [Google Scholar] [CrossRef]
- Booij, N.; Holthuijsen, L.H.; Ris, R.C. The “Swan” wave model for shallow water. In Proceedings of the 25th International Conference on Coastal Engineering 1996, Orlando, FL, USA, 2–6 September 1996; pp. 668–676. [Google Scholar]
- McCall, R.T.; Masselink, G.; Poate, T.G.; Roelvink, J.A.; Almeida, L.P. Modelling the morphodynamics of gravel beaches during storms with XBeach-G. Coast. Eng. 2015, 103, 52–66. [Google Scholar] [CrossRef]
- McCall, R.T.; Masselink, G.; Poate, T.G.; Roelvink, J.A.; Almeida, L.P.; Davidson, M.; Russell, P.E. Modelling storm hydrodynamics on gravel beaches with XBeach-G. Coast. Eng. 2014, 91, 231–250. [Google Scholar] [CrossRef]
- Christie, E.K.; Spencer, T.; Owen, D.; McIvor, A.L.; Möller, I.; Viavattene, C. Regional coastal flood risk assessment for a tidally dominant, natural coastal setting: North Norfolk, southern North Sea. Coast. Eng. 2018, 134, 177–190. [Google Scholar] [CrossRef]
- National Oceanography Centre. National Oceanography Centre: Model Information CS3X. Available online: https://noc.ac.uk/files/documents/business/model-info-CS3X.pdf. (accessed on 1 December 2018).
- UK Met Office. Numerical Weather Prediction Models. Available online: https://www.metoffice.gov.uk/research/approach/modelling-systems/unified-model/weather-forecasting (accessed on 1 December 2018).
- UK Hydrographic Office. Offshore bathymetry products. Available online: https://www.gov.uk/guidance/inspire-portal-and-medin-bathymetry-data-archive-centre#about-the-admiralty-marine-data-portal. (accessed on 1 December 2018).
- Channel Coastal Observatory. Regional Coastal Monitoring Programmes. Available online: http://www.channelcoast.org/ (accessed on 1 December 2018).
- Lessnoff, A. Vertical Offshore Reference Frame UK Model: User Guide. 2008. Available online: https://www.ucl.ac.uk/civil-environmental-geomatic-engineering/research/groups-centres-and-sections/vertical-offshore-reference-frames-vorf (accessed on 1 December 2018).
- UK National Tidal and Sea Level Facility UK National Tide Gauge Network. Available online: https://www.ntslf.org/ (accessed on 1 December 2018).
- Bunney, C.; Saulter, A. An ensemble forecast system for prediction of Atlantic–UK wind waves. Ocean Model. 2015, 96, 103–116. [Google Scholar] [CrossRef]
- Gale, S.J.; Hoare, P.G. Quaternary Sediments: Petrographic Methods for the Study of Unlithified Rocks; The Blackburn Press: Caldwell, NJ, USA, 2011. [Google Scholar]
- Van Rijn, L.C.; Wasltra, D.J.R.; Grasmeijer, B.; Sutherland, J.; Pan, S.; Sierra, J.P. The predictability of cross-shore bed evolution of sandy beaches at the time scale of storms and seasons using process-based profile models. Coast. Eng. 2003, 47, 295–327. [Google Scholar] [CrossRef]
- Roelvink, D.; Van Dongeren, A.; McCall, R.; Hoonhout, B.; van Rooijen, A.; van Geer, P.; de Vet, L.; Nederhoff, K.; Quataert, E. XBeach Technical Reference: Kingsday Release. Model Description and Reference Guide to Functionalities; Deltares: Delft, The Netherlands, 2015. [Google Scholar]
- Holman, R.A. Extreme value statistics for wave run-up on a natural beach. Coast. Eng. 1986, 9, 527–544. [Google Scholar] [CrossRef]
- Phillips, B.T.; Brown, J.M.; Plater, A.J. Modeling impact of intertidal foreshore evolution on gravel barrier erosion and wave runup with xbeach-x. J. Mar. Sci. Eng. 2020, 8, 914. [Google Scholar] [CrossRef]
- Andrews, J. Spit extension and barrier rollover at Blakeney Point and Salthouse: Historic maps and field observations. Bull. Geol. Soc. Norfolk 2019, 69, 1–28. [Google Scholar]
- Orford, J.; Barry, L.; Collins, T. Can coastal gravel-dominated coastal barriers show persistent resilient morphological tuning to extreme storms? Geophys. Res. Abstr. 2018, 20, 6041. [Google Scholar]
- Orford, J.D.; Forbes, D.L.; Jennings, S.C. Organisational controls, typologies and time scales of paraglacial gravel-dominated coastal systems. Geomorphology 2002, 48, 51–85. [Google Scholar] [CrossRef]
- Orford, J.D.; Carter, R.W.G.; Jennings, S.C. Coarse clastic barrier environments: Evolution and implications for quaternary sea level interpretation. Quat. Int. 1991, 9, 87–104. [Google Scholar] [CrossRef]
- Masselink, G.; Puleo, J.A. Swash-zone morphodynamics. Cont. Shelf Res. 2006, 26, 661–680. [Google Scholar] [CrossRef]
- Battjes, J. Surf Similarity. In Proceedings of the 14th International Conference on Coastal Engineering, Copenhagen, Denmark, 24–28 June 1974; pp. 466–480. [Google Scholar]
- Poate, T.; Masselink, G.; Davidson, M.; McCall, R.; Russell, P.; Turner, I. High frequency in-situ field measurements of morphological response on a fine gravel beach during energetic wave conditions. Mar. Geol. 2013, 342, 1–13. [Google Scholar] [CrossRef]
- Poate, T.G.; McCall, R.T.; Masselink, G. A new parameterisation for runup on gravel beaches. Coast. Eng. 2016, 117, 176–190. [Google Scholar] [CrossRef]
- Bujan, N.; Cox, R.; Masselink, G. From fine sand to boulders: Examining the relationship between beach-face slope and sediment size. Mar. Geol. 2019, 417, 1–17. [Google Scholar] [CrossRef]
- Earlie, C.; Masselink, G.; Russell, P. The role of beach morphology on coastal cliff erosion under extreme waves. Earth Surf. Process. Landforms 2018, 43, 1213–1228. [Google Scholar] [CrossRef]
- Schwartz, R.K. Nature and Genesis of Some Storm Washover Deposits; Coastal Engineering Research Center: Springfield, VA, USA, 1975. [Google Scholar]
- Orford, J.D.; Carter, R.W.G.; Jennings, S.C.; Hinton, A.C. Processes and timescales by which a coastal gravel-dominated barrier responds geomorphologically to sea-level rise: Story head barrier, Nova Scotia. Earth Surf. Process. Landforms 1995, 20, 21–37. [Google Scholar] [CrossRef]
- Sallenger, A.H. Storm Impact Scale for Barrier Islands. J. Coast. Res. 2000, 16, 890–895. [Google Scholar] [CrossRef]
- Leatherman, S.P. Migration of Assateague Island, Maryland, by inlet and overwash processes. Geology 1979, 7, 104–107. [Google Scholar] [CrossRef]
- Pollard, J.A.; Brooks, S.M.; Spencer, T.; Christie, E.K.; Möller, I. Flooding-erosion interactions: Implications for coastal risk management. In Proceedings of the Institution of Civil Engineers—Coastal Management; Institute for Civil Engineers: La Rochelle, France, 2019; pp. 1–14. [Google Scholar]
- Cañizares, R.; Irish, J.L. Simulation of storm-induced barrier island morphodynamics and fl ooding. Coast. Eng. 2008, 55, 1089–1101. [Google Scholar] [CrossRef]
- Cowell, P.J.; Zeng, T.Q. Integrating Uncertainty Theories with GIS for Modeling Coastal Hazards of Climate Change. Mar. Geod. 2003, 26, 5–18. [Google Scholar] [CrossRef]
- Ruggiero, P.; Holman, R.A.; Beach, R.A. Wave run-up on a high-energy dissipative beach. J. Geophys. Res. 2004, 109, 1–12. [Google Scholar] [CrossRef]
- Stockdon, H.F.; Holman, R.A.; Howd, P.A.; Sallenger Jr, A.H. Empirical parametization of setup, swash and runup. Coast. Eng. 2006, 53, 573–588. [Google Scholar] [CrossRef]
- Matias, A.; Blenkinsopp, C.E.; Masselink, G. Detailed investigation of overwash on a gravel barrier. Mar. Geol. 2014, 350, 27–38. [Google Scholar] [CrossRef]
- Matias, A.; Rita Carrasco, A.; Loureiro, C.; Masselink, G.; Andriolo, U.; McCall, R.; Ferreira, Ó.; Plomaritis, T.A.; Pacheco, A.; Guerreiro, M. Field measurements and hydrodynamic modelling to evaluate the importance of factors controlling overwash. Coast. Eng. 2019, 152, 1–19. [Google Scholar] [CrossRef]











| Hydrodynamic Conditions | Morphological Response | Crest Positional Change | Crest Elevation Change |
|---|---|---|---|
| Stable | Minimal change | Stable | Stable |
| Overtopping | Barrier crest accretion | Stable | Heightening |
| Discrete overwash | Some crest displacement (washover) | Landward (rollover) | Lowering |
| Sluicing overwash | Complete crest displacement (severe washover) | Landward (rollover) | Lowering |
| Inundation | Crest breakdown (breaching) | Crest removed | Lowering |
| Run | Infiltration Coefficient (kx) | Bed Friction Coefficient (bfc) | Skill Measure | ||||
|---|---|---|---|---|---|---|---|
| BSS | BSS Rank (/45) | Crest Height Difference (m) | Crest Height Rank (/45) | Overall Rank (/45) | |||
| 1 | 0.1 | 0.02 | 0.72 | =8 | −0.81 | 25 | =13 |
| 2 | 0.2 | 0.02 | 0.73 | =4 | −0.73 | 20 | 9 |
| 3 | 0.3 | 0.02 | 0.74 | =1 | −0.65 | 17 | =4 |
| 4 | 0.3 | 0.024 | 0.73 | =4 | −0.73 | 20 | 9 |
| 5 | 0.3 | 0.028 | 0.71 | =11 | −0.79 | 24 | =15 |
| 6 | 0.4 | 0.02 | 0.74 | =1 | −0.57 | 12 | 1 |
| 7 | 0.4 | 0.024 | 0.73 | =4 | −0.63 | 15 | 6 |
| 8 | 0.4 | 0.028 | 0.72 | =8 | −0.71 | 19 | 12 |
| 9 | 0.5 | 0.02 | 0.74 | =1 | −0.60 | 13 | 2 |
| 10 | 0.5 | 0.024 | 0.73 | =4 | −0.51 | 11 | 3 |
| 11 | 0.5 | 0.028 | 0.72 | =8 | −0.62 | 14 | 8 |
| 12 | 0.5 | 0.032 | 0.71 | =11 | −0.63 | 15 | 11 |
| 13 | 0.5 | 0.034 | 0.7 | 16 | −0.65 | 17 | =13 |
| 14 | 0.6 | 0.028 | 0.58 | 34 | +0.04 | 1 | =15 |
| 15 | 0.6 | 0.032 | 0.71 | =11 | −0.48 | 9 | 7 |
| 16 | 0.6 | 0.034 | 0.71 | =11 | −0.46 | 7 | =4 |
| ID | Management Regime | Cross-Sectional Area (m2) | Slope (Degrees) | Crest Elevation before (m ODN) | Crest Elevation after (m ODN) [Modeled] | Crest Elevation Change (m) [Modeled] | BSS | RMSE (m) |
|---|---|---|---|---|---|---|---|---|
| 1 | UN | 174.01 | 25.99 | 5.45 | 5.42 [4.74] | −0.03 [−0.71] | +0.31 fair | 0.56 |
| 2 | UN | 100.92 | 18.76 | 5.40 | 5.48 [5.15] | +0.08 [−0.25] | +0.14 poor | 0.23 |
| 3 | UN | 112.33 | 21.63 | 5.46 | 5.69 [5.04] | +0.24 [−0.42] | +0.07 poor | 0.53 |
| 4 | UN | 110.82 | 23.21 | 5.53 | 5.69 [5.09] | +0.16 [−0.44] | −0.04 bad | 0.64 |
| 5 | UN | 173.08 | 13.71 | 5.55 | 5.85 [5.40] | +0.3 [−0.14] | −0.13 bad | 0.37 |
| 6 | UN | 162.64 | 11.74 | 5.43 | 5.69 [5.38] | +0.25 [−0.05] | +0.54 fair | 0.20 |
| 7 | UN | 145.19 | 15.57 | 5.70 | 5.63 [5.26] | −0.07 [−0.44] | +0.40 fair | 0.41 |
| 8 | M | 98.20 | 15.80 | 5.43 | 5.29 [4.93] | −0.13 [−0.50] | +0.63 good | 0.40 |
| 9 | M | 85.50 | 19.43 | 5.50 | 4.90 [4.40] | −0.60 [−1.10] | +0.60 good | 0.50 |
| 10 | M | 247.37 | 13.60 | 5.50 | 5.50 [5.15] | 0.00 [−0.35] | +0.43 fair | 0.38 |
| 11 | M | 91.27 | 19.22 | 6.61 | 3.58 [n/a] | −3.03 [n/a] | [n/a] | n/a |
| 12 | M | 85.05 | 28.52 | 8.74 | 8.04 [8.12] | −0.7 [−0.62] | +0.44 fair | 0.35 |
| 13 | M | 71.75 | 28.67 | 7.81 | 5.36 [5.05] | −2.45 [−2.76] | +0.81 excellent | 0.35 |
| 14 | M | 76.70 | 25.26 | 8.26 | 7.78 [7.47] | −0.48 [−0.79] | +0.20 poor | 0.44 |
| 15 | M | 78.9 | 20.7 | 7.24 | 4.64 [4.95] | −2.61 [−2.29] | +0.44 fair | 0.63 |
| 16 | M | 72.89 | 26.15 | 7.77 | 4.73 [4.68] | −3.03 [−3.09] | +0.68 good | 0.58 |
| 17 | M | 93.40 | 31.91 | 8.17 | 7.30 [7.07] | −0.87 [−1.09] | +0.57 fair | 0.33 |
| 18 | M | 90.74 | 26.75 | 6.12 | 5.74 [4.43] | −0.38 [−1.69] | +0.17 poor | 0.79 |
| 19 | M | 90.72 | 23.10 | 7.47 | 7.57 [7.17] | +0.10 [−0.30] | −0.22 bad | 0.62 |
Publisher’s Note: MDPI stays neutral with regard to jurisdictional claims in published maps and institutional affiliations. |
© 2021 by the authors. Licensee MDPI, Basel, Switzerland. This article is an open access article distributed under the terms and conditions of the Creative Commons Attribution (CC BY) license (http://creativecommons.org/licenses/by/4.0/).
Share and Cite
Pollard, J.A.; Christie, E.K.; Brooks, S.M.; Spencer, T. Impact of Management Regime and Regime Change on Gravel Barrier Response to a Major Storm Surge. J. Mar. Sci. Eng. 2021, 9, 147. https://doi.org/10.3390/jmse9020147
Pollard JA, Christie EK, Brooks SM, Spencer T. Impact of Management Regime and Regime Change on Gravel Barrier Response to a Major Storm Surge. Journal of Marine Science and Engineering. 2021; 9(2):147. https://doi.org/10.3390/jmse9020147
Chicago/Turabian StylePollard, James A., Elizabeth K. Christie, Susan M. Brooks, and Tom Spencer. 2021. "Impact of Management Regime and Regime Change on Gravel Barrier Response to a Major Storm Surge" Journal of Marine Science and Engineering 9, no. 2: 147. https://doi.org/10.3390/jmse9020147
APA StylePollard, J. A., Christie, E. K., Brooks, S. M., & Spencer, T. (2021). Impact of Management Regime and Regime Change on Gravel Barrier Response to a Major Storm Surge. Journal of Marine Science and Engineering, 9(2), 147. https://doi.org/10.3390/jmse9020147

