Sign in to use this feature.

Years

Between: -

Subjects

remove_circle_outline
remove_circle_outline
remove_circle_outline
remove_circle_outline
remove_circle_outline
remove_circle_outline
remove_circle_outline

Journals

Article Types

Countries / Regions

Search Results (4)

Search Parameters:
Keywords = gravel barrier morphology

Order results
Result details
Results per page
Select all
Export citation of selected articles as:
13 pages, 2252 KB  
Article
Numerical Modeling of Biofilm–Flow Dynamics in Gravel-Bed Rivers: A Framework for Sustainable Restoration
by Yu Bai, Hui Wang and Muhong Wu
Sustainability 2025, 17(11), 4905; https://doi.org/10.3390/su17114905 - 27 May 2025
Viewed by 799
Abstract
This study investigates biofilm–flow interactions in gravel-bed rivers using a novel numerical model. Traditional hydrodynamic models often overlook biofilm-induced roughness coupling, prompting the development of a mesoscopic Lattice Boltzmann Method (LBM) framework that dynamically links biofilm thickness to equivalent roughness. Key insights include [...] Read more.
This study investigates biofilm–flow interactions in gravel-bed rivers using a novel numerical model. Traditional hydrodynamic models often overlook biofilm-induced roughness coupling, prompting the development of a mesoscopic Lattice Boltzmann Method (LBM) framework that dynamically links biofilm thickness to equivalent roughness. Key insights include a dual-phase mechanism: moderate biofilm growth reduces hydraulic resistance by smoothing gravel pores, while excessive growth increases resistance via flow obstruction. Validated against 65-day flume experiments, the model accurately predicted biomass (ash-free dry mass) and velocity profiles. Current limitations involve reliance on empirical biofilm formulas, lack of natural river validation (non-uniform substrates, dynamic flows), and computational barriers in 3D large-scale simulations. Future directions include integrating biogeochemical factors (temperature, nutrients), multiscale microbial-morphology frameworks, and GPU-accelerated high-resolution modeling. Full article
(This article belongs to the Special Issue Hydrosystems Engineering and Water Resource Management)
Show Figures

Figure 1

20 pages, 35628 KB  
Article
Shoreline Response to Wave Forcing and Sea Level Rise along a Geomorphological Complex Coastline (Western Sardinia, Mediterranean Sea)
by Simone Simeone, Luca Palombo, Emanuela Molinaroli, Walter Brambilla, Alessandro Conforti and Giovanni De Falco
Appl. Sci. 2021, 11(9), 4009; https://doi.org/10.3390/app11094009 - 28 Apr 2021
Cited by 13 | Viewed by 2740
Abstract
Beaches responses to storms, as well as their potential adaptation to the foreseeable sea level rise (SLR), were investigated along three beaches in a coastal tract in western Sardinia (Western Mediterranean Sea). The grain size of the sediments, the beach profile variability and [...] Read more.
Beaches responses to storms, as well as their potential adaptation to the foreseeable sea level rise (SLR), were investigated along three beaches in a coastal tract in western Sardinia (Western Mediterranean Sea). The grain size of the sediments, the beach profile variability and the wave climate were analyzed in order to relate morphological changes, geological inheritances and waves forcing. Multibeam, single-beam and lidar data were used to characterize the inner shelf morphologies and to reproduce the flooding due to the SLR. The studied beaches experienced major changes when consecutive storms, rather than singles ones, occurred along the coastline. The sediment availability, the grain size and the geomorphological structure of the beaches were the most important factors influencing the beach response. On the sediment-deprived coarse beaches the headlands favor the beach rotation, and the gravel barrier morphology can increase the resistance against storms. On the sediment-abundant beaches, the cross-shore sediment transport towards a submerged area leads to a lowering in the subaerial beach level and a contemporaneous shoreline retreat in response to storms. A very limited ingression of the sea is related to the SLR. This process may affect (i) the gravel barrier, promoting a roll over due to the increase in overwash; (ii) the embayed beach increasing its degree of embayment as headlands become more prominent, and (iii) the sediment-abundant beach with an erosion of the whole subaerial beach during storms, which can also involve the foredune area. Full article
(This article belongs to the Special Issue Mediterranean Beach Morphodynamics under Climate Change)
Show Figures

Figure 1

24 pages, 5211 KB  
Article
Impact of Management Regime and Regime Change on Gravel Barrier Response to a Major Storm Surge
by James A. Pollard, Elizabeth K. Christie, Susan M. Brooks and Tom Spencer
J. Mar. Sci. Eng. 2021, 9(2), 147; https://doi.org/10.3390/jmse9020147 - 31 Jan 2021
Cited by 5 | Viewed by 3368
Abstract
Gravel barriers represent physiographic, hydrographic, sedimentary, and ecological boundaries between inshore and open marine offshore environments, where they provide numerous important functions. The morphosedimentary features of gravel barriers (e.g., steep, energy reflective form) have led to their characterization as effective coastal defense features [...] Read more.
Gravel barriers represent physiographic, hydrographic, sedimentary, and ecological boundaries between inshore and open marine offshore environments, where they provide numerous important functions. The morphosedimentary features of gravel barriers (e.g., steep, energy reflective form) have led to their characterization as effective coastal defense features during extreme hydrodynamic conditions. Consequently, gravel barriers have often been intensively managed to enhance coastal defense functions. The Blakeney Point Barrier System (BPBS), U.K., is one such example, which offers the opportunity to investigate the impact of alternative management regimes under extreme hydrodynamic conditions. The BPBS was actively re-profiled along its eastern section from the 1950s to the winter of 2005, whilst undergoing no active intervention along its western section. Combining an analysis of remotely sensed elevation datasets with numerical storm surge modeling, this paper finds that interventionist management introduces systemic differences in barrier morphological characteristics. Overly steepened barrier sections experience greater wave run-up extents during storm surge conditions, leading to more extreme morphological changes and landward barrier retreat. Furthermore, while high, steep barriers can be highly effective at preventing landward flooding, in cases where overwashing does occur, the resultant landward overtopping volume is typically higher than would be the case for a relatively lower crested barrier with a lower angled seaward slope. There is a growing preference within coastal risk management for less interventionist management regimes, incorporating natural processes. However, restoring natural processes does not immediately or inevitably result in a reduction in coastal risk. This paper contributes practical insights regarding the time taken for a previously managed barrier to relax to a more natural state, intermediary morphological states, and associated landward water flows during extreme events, all of which should be considered if gravel barriers are to be usefully integrated into broader risk management strategies. Full article
(This article belongs to the Section Coastal Engineering)
Show Figures

Figure 1

22 pages, 3450 KB  
Article
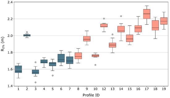
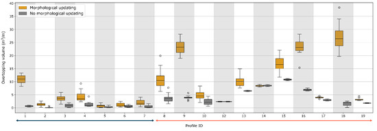
Modeling Impact of Intertidal Foreshore Evolution on Gravel Barrier Erosion and Wave Runup with XBeach-X
by Benjamin T. Phillips, Jennifer M. Brown and Andrew J. Plater
J. Mar. Sci. Eng. 2020, 8(11), 914; https://doi.org/10.3390/jmse8110914 - 12 Nov 2020
Cited by 9 | Viewed by 4067
Abstract
This paper provides a sensitivity analysis around how characterizing sandy, intertidal foreshore evolution in XBeach-X impacts on wave runup and morphological change of a vulnerable, composite gravel beach. The study is motivated by a need for confidence in storm-impact modeling outputs to inform [...] Read more.
This paper provides a sensitivity analysis around how characterizing sandy, intertidal foreshore evolution in XBeach-X impacts on wave runup and morphological change of a vulnerable, composite gravel beach. The study is motivated by a need for confidence in storm-impact modeling outputs to inform coastal management policy for composite beaches worldwide. First, the model is run with the sandy settings applied to capture changes in the intertidal foreshore, with the gravel barrier assigned as a non-erodible surface. Model runs were then repeated with the gravel settings applied to obtain wave runup and erosion of the barrier crest, updating the intertidal foreshore from the previous model outputs every 5, 10 and 15 min, and comparing this with a temporally static foreshore. Results show that the scenario with no foreshore evolution led to the highest wave runup and barrier erosion. The applied foreshore evolution setting update is shown to be a large control on the distribution of freeboard values indicative of overwash hazard and barrier erosion by causing an increase (with 5 min foreshore updates applied) or a decrease (with no applied foreshore updating) in the Iribarren number. Therefore, the sandy, intertidal component should not be neglected in gravel barrier modeling applications given the risk of over- or under-predicting the wave runup and barrier erosion. Full article
(This article belongs to the Special Issue Observation, Analysis, and Modeling of Nearshore Dynamics)
Show Figures

Figure 1

Back to TopTop