Factors Affecting Soil Organic Carbon Content between Natural and Reclaimed Sites in Rudong Coast, Jiangsu Province, China
Abstract
:1. Introduction
2. Materials and Methods
2.1. Study Area
2.2. Soil Sampling
2.3. Experimental Analysis
2.3.1. Measurement of OC, TC, and TN Content
2.3.2. Grain Size Measurements
2.3.3. Water Content Measurement
2.3.4. Measurement of pH and Salinity
2.3.5. Determination of the Nutrients P and S
2.4. Factors Affecting OC Concentration
3. Results
3.1. Variation in Soil Physical and Chemical Properties
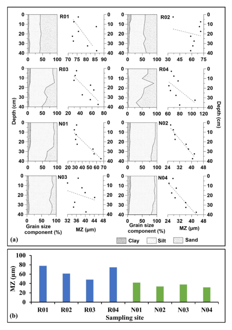
3.1.1. Grain Size
3.1.2. pH and Salinity
3.1.3. Nutrient Elements (TN, P, S)
3.1.4. Water Content
3.2. Organic Carbon
3.3. Factors Influencing the Sequestration Capacity of OC
3.3.1. Important Factors Affecting OC Concentration in Reclaimed Areas
3.3.2. Important Factors Affecting OC Concentration in the Natural Coastal Areas
4. Discussion
4.1. The Effects of Vegetation Type on OC Content
4.2. Factors Influencing the OC Content in Reclaimed Areas and Natural Coastal Areas
5. Conclusions
- (1)
- There is a significant difference between the grain size compositions in both areas; although, the grain size of soil particles generally increases with depth in both the reclaimed and natural coastal areas. Overall, the fine particle content in the soil of natural coastal areas is much higher than that of the reclaimed areas. Although salinity in the soils varies greatly, there is no obvious trend with increasing depth. The pH in the soil at all sampling sites increased with depth. There was no clear variation in soil water content with depth in the reclaimed areas; however, soil water content decreases with depth in the natural coastal area. Furthermore, the mean soil water content at each sampling site in the reclaimed area was slightly lower than that of sites in the natural coastal area. The content of nutrient elements (TN, P, S) decreased with depth, but this trend was not significant. The contents of soil TN and S in the natural coastal area were much higher than those in the reclaimed area; however, the P content was not significantly different between the two areas.
- (2)
- The soil OC content in the two regions gradually decreased with depth, and the mean OC content of samples from the reclaimed area was lower than that of samples from the natural coastal area.
- (3)
- The factors which affect OC burial in the reclaimed areas were different to those that affect it in the natural coastal areas; however, at all sites, TN and grain size are important factors that influence the burial of OC. The relative composition of silt and sand play an important role in the sequestration capacity of soil OC in the reclaimed area, where coarser grain sizes result in the decomposition of OC and a decrease in OC content. In the natural coastal areas, clay and water content are important factors that affected soil OC concentration.
Author Contributions
Funding
Institutional Review Board Statement
Informed Consent Statement
Data Availability Statement
Conflicts of Interest
References
- Lonngren, K.E.; Bai, E.W. On the global warming problem due to carbon dioxide. Energy Policy 2008, 36, 1567–1568. [Google Scholar] [CrossRef]
- Lal, R. Soil carbon sequestration to mitigate climate change. Geoderma 2004, 123, 1–22. [Google Scholar] [CrossRef]
- Tang, Q.; Chen, C.; Yu, K.; Dai, M.; Ke, C.; Huang, T.; Chai, F.; Wei, G.; Zhou, L.; Chen, L.; et al. The effects of ocean acidification on marine organisms and ecosystem. Chin. Sci. Bull. 2013, 58, 1307–1314. [Google Scholar] [CrossRef]
- Wang, W.; Zheng, G.; Chao, Q.; Chen, Y.; Hu, G.; Pan, J. Annual Report on Actions to Address Climate Change; Social Sciences Academic Press: Beijing, China, 2015. [Google Scholar]
- Duarte, C.M.; Losada, I.J.; Hendriks, I.E.; Mazarrasa, I.; Marbà, N. The role of coastal plant communities for climate change mitigation and adaptation. Nat. Clim. Chang. 2013, 3, 961–968. [Google Scholar] [CrossRef] [Green Version]
- Kong, J.; Cheng, C.; Shen, C. Study on the role of sediment dike in the port construction near silt coast. Appl. Mech. Mater. 2012, 204–208, 2298–2308. [Google Scholar] [CrossRef]
- Shu, Q.; Ma, Y.; Liu, Q.; Zhang, S.; Hu, Z.; Yang, P. Levels and ecological risk of heavy metals in the surface sediments of tidal flats along the North Jiangsu coast, China. Mar. Pollut. Bull. 2021, 170, 112663. [Google Scholar] [CrossRef] [PubMed]
- Zhang, X.; Yan, C.; Xu, P.; Dai, Y.; Yan, W.; Ding, X.; Zhu, C.; Mei, D. Historical evolution of tidal flat reclamation in the Jiangsu coastal areas. Acta Geogr. Sin. 2013, 68, 1549–1558. [Google Scholar]
- Zhang, R.; Pu, L.; Li, J.; Zhang, J.; Xu, Y. Landscape ecological security response to land use change in the tidal flat reclamation zone, China. Environ. Monit. Assess. 2016, 188, 1. [Google Scholar] [CrossRef] [PubMed]
- Han, Q.; Huang, X.; Shi, P.; Zhang, Q. Coastal wetland in South China: Degradation trends, causes and protection countermeasures. Chin. Sci. Bull. Vol. 2006, 51, 121–128. [Google Scholar] [CrossRef]
- Chen, L.; Ren, C.; Zhang, B.; Wang, Z.; Song, K. Spatiotemporal Dynamics of Coastal Wetlands and Reclamation in the Yangtze Estuary During Past 50 Years (1960s–2015). Chin. Geogr. Sci. 2018, 28, 386–399. [Google Scholar] [CrossRef] [Green Version]
- Ma, Z.; Melville, D.S.; Liu, J.; Chen, Y.; Yang, H.; Ren, W.; Zhang, Z.; Piersma, T.; Li, B. Rethinking China’s new great wall. Science 2014, 346, 912–914. [Google Scholar] [CrossRef] [PubMed] [Green Version]
- Cui, J.; Liu, C.; Li, Z.; Wang, L.; Chen, X.; Ye, Z.; Fang, C. Long-term changes in topsoil chemical properties under centuries of cultivation after reclamation of coastal wetlands in the Yangtze Estuary, China. Soil Till. Res. 2012, 123, 50–60. [Google Scholar] [CrossRef]
- Doetterl, S.; Stevens, A.; Six, J.; Merckx, R.; VanOost, K.; Pinto, M.C.; Casanova-Katny, A.; Muñoz, C.; Boudin, M.; Venegas, E.Z.; et al. Soil carbon storage controlled by interactions between geochemistry and climate. Nat. Geosci. 2015, 8, 780–783. [Google Scholar] [CrossRef]
- Kong, Y.; Zhang, J.; Zhang, D.; Wang, H.; Cui, Z.; Tao, B. Effects of land-use change on soil and aggregate-associated organic carbon. J. Cent. South Univ. 2009, 29, 39–44. [Google Scholar]
- Bai, J.; Xiao, R.; Cui, B.; Zhang, K.; Wang, Q.; Liu, X.; Gao, H.; Huang, L. Assessment of heavy metal pollution in wetland soils from the young and older reclaimed regions in the Pearl River Estuary, South China. Environ. Pollut. 2011, 159, 817–824. [Google Scholar] [CrossRef] [PubMed]
- Cao, Z.; Wang, L.; Yang, L.; Yu, J.; Lv, J.; Meng, M.; Li, G. Heavy metal pollution and the risk from tidal flat reclamation in coastal areas of Jiangsu, China. Mar. Pollut. Bull. 2020, 158, 111427. [Google Scholar] [CrossRef] [PubMed]
- Cheng, Y.; Yang, L.; Cao, Z.; Ci, E.; Yin, S. Chronosequential changes of selected pedogenic properties in paddy soils as compared with non-paddy soils. Geoderma 2009, 151, 31–41. [Google Scholar] [CrossRef]
- Kalbitz, K.; Kaiser, K.; Fiedler, S.; Kölbl, A.; Amelung, W.; Bräuer, T.; Cao, Z.; Don, A.; Grootes, P.; Jahn, R. The carbon count of 2000 years of rice cultivation. Glob. Chang. Biol. 2013, 19, 1107–1113. [Google Scholar] [CrossRef] [PubMed]
- Fu, Q.; Ding, N.; Liu, C.; Lin, Y.; Guo, B. Soil development under different cropping systems in a reclaimed coastal soil chronosequence. Geoderma 2014, 230, 50–57. [Google Scholar] [CrossRef]
- Wissing, L.; Kölbl, A.; Schad, P.; Bräuer, T.; Cao, Z.; Kögel-Knabner, I. Organic carbon accumulation on soil mineral surfaces in paddy soils derived from tidal wetlands. Geoderma 2014, 228, 90–103. [Google Scholar] [CrossRef]
- Ji, A.; Tao, G.; Zhuo, S.; Luo, L. X-ray Fluorescence Spectrometric Analysis; Science Press: Beijing, China, 2003; pp. 201–203. [Google Scholar]
- Wold, S.; Sjöström, M.; Eriksson, L. PLS-regression: A basic tool of chemometrics. Chemom. Intell. Lab. Syst. 2001, 58, 109–130. [Google Scholar] [CrossRef]
- Fang, N.; Shi, Z.; Chen, F.; Wang, Y. Partial Least Squares Regression for Determining the Control Factors for Runoff and Suspended Sediment Yield during Rainfall Events. Water 2015, 7, 3925. [Google Scholar] [CrossRef] [Green Version]
- Tong, L.; Fang, N.; Xiao, H.; Shi, Z. Sediment deposition changes the relationship between soil organic and inorganic carbon: Evidence from the Chinese Loess Plateau. Agric. Ecosyst. Environ. 2020, 302, 107076. [Google Scholar] [CrossRef]
- Yang, P.; Shu, Q.; Liu, Q.; Hu, Z.; Zhang, S.; Ma, Y. Distribution and factors influencing organic and inorganic carbon in surface sediments of tidal flats in northern Jiangsu, China. Ecol. Indic. 2021, 126, 107633. [Google Scholar] [CrossRef]
- Qi, C.; Fang, Q. Partial least squares modelling with R software and empirical analysis. Math. Theory Appl. 2013, 33, 103–111. [Google Scholar]
- Yan, B.; Fang, N.F.; Zhang, P.C.; Shi, Z.H. Impacts of land use change on watershed streamflow and sediment yield: An assessment using hydrologic modelling and partial least squares regression. J. Hydrol. 2013, 484, 26–37. [Google Scholar] [CrossRef]
- Shi, Z.H.; Huang, X.D.; Ai, L.; Fang, N.F.; Wu, G.L. Quantitative analysis of factors controlling sediment yield in mountainous watersheds. Geomorphology 2014, 226, 193–201. [Google Scholar] [CrossRef]
- Shi, Z.H.; Ai, L.; Li, X.; Huang, X.D.; Wu, G.L.; Liao, W. Partial least-squares regression for linking land-cover patterns to soil erosion and sediment yield in watersheds. J. Hydrol. 2013, 498, 165–176. [Google Scholar] [CrossRef]
- Wold, S. PLS for multivariate linear modeling. In Chemometric Methods in Molecular Design; Van de Waterbeemd, H., Ed.; Verlag-Chemie: Weinheim, Germany, 1995; pp. 195–218. [Google Scholar]
- Onderka, M.; Wrede, S.; Rodný, M.; Pfister, L.; Hoffmann, L.; Krein, A. Hydrogeologic and landscape controls of dissolved inorganic nitrogen (DIN) and dissolved silica (DSi) fluxes in heterogeneous catchments. J. Hydrol. 2012, 450–451, 36–47. [Google Scholar] [CrossRef]
- Wang, G. The Effects of Salt Marsh Vegetation on Soil Organic Carbon Fractions, Sources and Distribution. Master’s Thesis, Anhui Normal University, Wuhu, China, 2012. [Google Scholar]
- Li, P.; Xie, W.; Wang, Z.; Yan, Q. Effects of Spartina alterniflora invasion on silfur content temporal and spatial variation in tidal flat wetland of Jiaozhou Bay. Acta Sci. Circumstantiae 2019, 39, 870–879. [Google Scholar]
- Yan, M.; Pan, G.; Li, L.; Zou, J. An overview of the potential role reed (phragmites australis) wetlands in terrestrial carbon sequestration of China. Chin. Agric. Sci. Bull. 2010, 26, 320–323. [Google Scholar]
- Zhang, T.; Ge, Z.; Zhang, L.; Chen, H.; Yan, G. Influence of saltmarsh vegetation and sedimentation on the distribution of soil carbon and nitrogen in the Chongming Dongtan wetlands. Acta Sci. Circumstantiae 2015, 35, 836–843. [Google Scholar]
- Yang, G.; Shi, Y.; Zhang, C. The ecological response of typical mud flat to sea level change in Jiangsu Coastal Plain. Acta Geogr. Sin. 2002, 57, 327–334. [Google Scholar]
- Hassink, J. The capacity of soils to preserve organic C and N by their association with clay and silt particles. Plant Soil 1997, 191, 77–87. [Google Scholar] [CrossRef]
- Zhang, X.; Zheng, J.; Li, S. The enrichments of organic matter and total nitrogen in sediment as affected by relevant factors. J. Geogr. Sci. 2004, 14, 495–502. [Google Scholar]
- Gao, J.; Yang, G.; Ou, W. The influence after introduvtion of spartina alterniflora on the distribution of TOC, TN and TP in the national Yancheng rare Birds nature reserve, Jiangsu province, China. Geogr. Res. 2007, 26, 799–808. [Google Scholar]
- Dun, J.; Wang, C.; Yao, D.; Huang, M.; Xu, J. Spatial Distribution Characteristics and Source Tracing of Organic Carbon in Surface Sediments of Salt Marsh in Dongtan of Chongming. Resour. Environ. Yangtze Basin 2019, 28, 157–165. [Google Scholar]
- Huang, M.; Ge, C.; Zou, P.; Ji, Z.; Fang, W.; Zhou, M. The contribution of sartina introduction on organic matter source and its effects on carbon burial in tidal flats. J. Nanjing Univ. 2018, 54, 655–664. [Google Scholar]
- Liao, C.; Luo, Y.; Jiang, L.; Zhou, X.; Wu, X.; Fang, C.; Chen, J.; Li, B. Invasion of Spartina alterniflora Enhanced Ecosystem Carbon and Nitrogen Socks in the Yangtze Estuary, China. Ecosystems 2007, 10, 1351–1361. [Google Scholar] [CrossRef]
- Lu, L.; Cai, J.; Bao, Y.; Li, C.; Yang, S.; Fan, D. Summary of processes and significance of clay minerals in marine sedimentary organic matter preservation and in global carbon cycle. Adv. Earth Sci. 2006, 21, 931–937. [Google Scholar]
- Zhang, W.; Jin, H.; Zhang, F.; Zhao, G.; Yang, K.; Li, H.; Bai, Y.; Gao, W. Organic carbon distribution in the Yangtze River Estuary-Hangzhou Bay and its adjacent sea area. Adv. Earth Sci. 2009, 24, 1202–1209. [Google Scholar]
- Batjes, N.H. Carbon and nitrogen socks in the soils of Central and Eastern Europe. Soil Use Manag. 2002, 18, 324–329. [Google Scholar] [CrossRef]
- Li, C.; Li, Q.; Zhao, L.; Ge, S.; Chen, D.; Dong, Q.; Zhao, X. Land-use effects on organic and inorganic carbon patterns in the topsoil around Qinghai Lake basin, Qinghai-Tibetan Plateau. Catena 2016, 147, 345–355. [Google Scholar] [CrossRef]
- Stevenson, F.J. Humus Chemistry: Genesis, Composition, Reactions; Wiley-Interscience: New York, NY, USA, 1982. [Google Scholar]
- Zhou, L.; Li, B.; Zhou, G. Advances in controlling factors of soil organic carbon. Adv. Earth Sci. 2005, 20, 99–105. [Google Scholar]
- Zhang, Y.; Li, Y.; Wang, L.; Chen, J.; Hu, Y.; Fu, X.; Le, Y. Variability in organic carbon storage capability of soils at different successional stages in Chongming Dongtan wetland and its microbial mechanism. J. Agro-Environ. Sci. 2012, 31, 631–637. [Google Scholar]
- Xiao, Y.; Huang, Z.; Wu, H.; Lv, X. Compositions and contents of active organic carbon in different wetland soils in Sanjiang Plain, Northeast China. Acta Ecologica Sinica 2015, 35, 7625–7633. [Google Scholar]
- Wang, H.; Xiao, C.; Li, C.; Li, Y.; Zhang, W.; Fu, X.; Le, Y.; Wang, L. Spatial variability of organic carbon in the soil of wetland in Chongming Dongtan and its influential factors. J. Argo-Environ. Sci. 2009, 28, 1522–1528. [Google Scholar]








| Variable | R2 | Q2 | Components | Explained Variation in Y (%) | Cumulative Explained Variation in Y (%) | Q2cum |
|---|---|---|---|---|---|---|
| OC | 0.744 | 0.580 | 1 | 64.0 | 64.0 | 0.523 |
| 2 | 10.4 | 74.4 | 0.580 |
| Variable | R2 | Q2 | Components | Explained Variation in Y (%) | Cumulative Explained Variation in Y (%) | Q2cum |
|---|---|---|---|---|---|---|
| OC | 0.937 | 0.901 | 1 | 73.4 | 73.4 | 0.705 |
| 2 | 18.0 | 91.4 | 0.871 | |||
| 3 | 2.3 | 93.7 | 0.901 |
Publisher’s Note: MDPI stays neutral with regard to jurisdictional claims in published maps and institutional affiliations. |
© 2021 by the authors. Licensee MDPI, Basel, Switzerland. This article is an open access article distributed under the terms and conditions of the Creative Commons Attribution (CC BY) license (https://creativecommons.org/licenses/by/4.0/).
Share and Cite
Yang, P.; Hu, Z.; Shu, Q. Factors Affecting Soil Organic Carbon Content between Natural and Reclaimed Sites in Rudong Coast, Jiangsu Province, China. J. Mar. Sci. Eng. 2021, 9, 1453. https://doi.org/10.3390/jmse9121453
Yang P, Hu Z, Shu Q. Factors Affecting Soil Organic Carbon Content between Natural and Reclaimed Sites in Rudong Coast, Jiangsu Province, China. Journal of Marine Science and Engineering. 2021; 9(12):1453. https://doi.org/10.3390/jmse9121453
Chicago/Turabian StyleYang, Peipei, Zhou Hu, and Qiang Shu. 2021. "Factors Affecting Soil Organic Carbon Content between Natural and Reclaimed Sites in Rudong Coast, Jiangsu Province, China" Journal of Marine Science and Engineering 9, no. 12: 1453. https://doi.org/10.3390/jmse9121453
APA StyleYang, P., Hu, Z., & Shu, Q. (2021). Factors Affecting Soil Organic Carbon Content between Natural and Reclaimed Sites in Rudong Coast, Jiangsu Province, China. Journal of Marine Science and Engineering, 9(12), 1453. https://doi.org/10.3390/jmse9121453
