Study on an Analytical Solution to the Mechanical Response of Soil Cut by a Bionic Force Enhancement Grouser
Abstract
1. Introduction
2. Derivation of an Analytical Solution
2.1. Bionic Design of the Grouser
2.2. Hypothetical Conditions for the Derivation of Analytical Solutions
2.3. Overall Force Analysis
2.4. Force Analysis of the Microelement
2.5. Theoretical Data
3. Numerical Simulation
3.1. Simulation Model
3.2. Deep-Sea Soil Model
3.3. Numerical Simulation Data
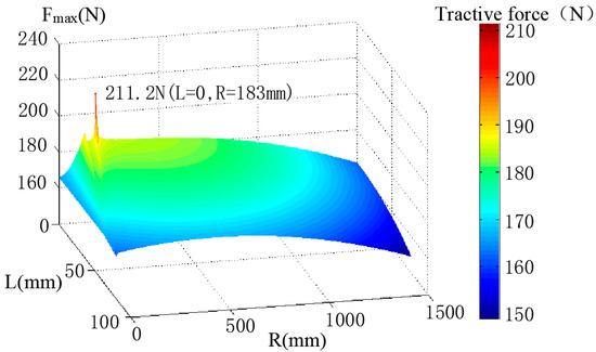
4. Results
4.1. Effect of L on the Tractive Force of a Grouser
4.2. Effect of R on the Tractive Force of the Grouser
4.3. Accuracy Verification of the Analytical Solution
4.4. Force Enhancement Mechanism of the Bionic Grouser Cutting Deep-Sea Soil
4.5. Force Enhancement Design of the Bionic Grouser
5. Conclusions
Author Contributions
Funding
Institutional Review Board Statement
Informed Consent Statement
Data Availability Statement
Acknowledgments
Conflicts of Interest
References
- Mudakkar, S.R.; Zaman, K.; Khan, M.M.; Ahmad, M. Energy for economic growth, industrialization, environment and natural resources: Living with just enough, Renew. Sust. Energ. Rev. 2013, 25, 580–595. [Google Scholar] [CrossRef]
- Leal Filho, W.; Abubakar, I.R.; Nunes, C.; Platje, J.; Ozuyar, P.G.; Will, M.; Nagy, G.J.; Al-Amin, A.Q.; Hunt, J.D.; Li, C. Deep Seabed Mining: A Note on Some Potentials and Risks to the Sustainable Mineral Extraction from the Oceans. J. Mar. Sci. Eng. 2021, 9, 521. [Google Scholar] [CrossRef]
- Chung, J.S. Deep-ocean Mining Technology: Learning Curve I. In Proceedings of the 5th Ocean Mining Symposium, Tsukuba, Japan, 15 September 2003; pp. 1–6. [Google Scholar]
- Bondarenko, V.; Sai, K.; Prokopenko, K.; Zhuravlov, D. Thermodynamic and geomechanical processes research in the development of gas hydrate deposits in the conditions of the Black Sea. Min. Miner. Depos. 2018, 12, 104–115. [Google Scholar] [CrossRef]
- Bazaluk, O.; Sai, K.; Lozynskyi, V.; Petlovanyi, M.; Saik, P. Research into Dissociation Zones of Gas Hydrate Deposits with a Heterogeneous Structure in the Black Sea. Energies 2021, 14, 1345. [Google Scholar] [CrossRef]
- Kobolev, V. Structural, tectonic and fluid-dynamic aspects of deep degassing of the Black Sea megatrench. Min. Miner. Depos. 2017, 11, 31–49. [Google Scholar] [CrossRef][Green Version]
- Dai, Y.; Ma, F.Y.; Zhu, X.; Liu, H.; Huang, Z.H.; Xie, Y. Mechanical Tests and Numerical Simulations for Mining Seafloor Massive Sulfides. J. Mar. Sci. Eng. 2019, 7, 252. [Google Scholar] [CrossRef]
- Hong, S.; Kim, H.W.; Yeu, T.; Choi, J.S.; Lee, T.H.; Lee, J.K. Technologies for Safe and Sustainable Mining of Deep-Seabed Minerals. In Environmental Issues of Deep-Sea Mining; Springer: Cham, Switzerland, 2019. [Google Scholar] [CrossRef]
- Bath, A.R.; Preussag, A.G. Deep Sea Mining Technology: Recent Developments and Future Projects. In Proceedings of the Offshore Technology Conference, Houston, TX, USA, 1 May 1989; pp. 333–340. [Google Scholar]
- Lecourt, E.J., Jr.; Williams, D.W. Deep ocean mining-new application for oil field and marine equipment. In Proceedings of the Offshore Technology Conference, Houston, TX, USA, 18 April 1971. [Google Scholar]
- Chung, J.S. Deep-Ocean Mining Issues and Ocean Mining Working Group. In Proceedings of the Third ISOPE Ocean Mining Symposium. International Society of Offshore and Polar Engineers, Goa, India, 8–11 November 1999. [Google Scholar]
- Masuda, C.M.J.; Mero, J.L. Continuous bucket line dredging at 1200ft. In Proceedings of the Offshore Technology Conference, Houston, TX, USA, 18 April 1971. [Google Scholar]
- Leng, D.X.; Shao, S.; Xie, Y.C.; Wang, H.H.; Liu, G.J. A brief review of recent progress on deep sea mining vehicle. Ocean. Eng. 2021, 228, 108565. [Google Scholar] [CrossRef]
- Chen, W.; Xu, H.L.; Peng, N.; Yang, F.Q.; Lin, P. Linkage characteristics of deep-sea mining lifting system. Ocean. Eng. 2021, 233, 109074. [Google Scholar] [CrossRef]
- Zhu, W.; Pan, J.X.; Ma, W.B.; Deng, S.; Zhou, W.J.; Liu, W.Y.; Long, S.G.; Yang, C.Q.; You, L.Y. Dynamic response of the heterogeneous deep-sea sediment with non-linear gradient modulus to mining machine loading. Mar. Georesour. Geotec. 2021. [Google Scholar] [CrossRef]
- Li, Y.; He, D.; Si, Q. Theoretical and experimental analysis on the interaction properties between tracks and sediments considering sand content for unmanned underwater tracked bulldozer. Bull. Pol. Acad. Sci. Tech. Sci. 2021, 69, 1–13. [Google Scholar] [CrossRef]
- Janarthanan, C.; Gopkumar, K.; Sundaramoorthi, V.; Ramesh, N.R.; Ramadass, G.A. Influence of Grouser Geometrical Parameters of Deep-Sea Crawler Vehicle on Soft Clays. In Proceedings of the Fourth International Conference in Ocean Engineering (ICOE2018); Lecture Notes in Civil Engineering; Murali, K., Sriram, V., Samad, A., Saha, N., Eds.; Springer: Singapore, 2019; Volume 22. [Google Scholar] [CrossRef]
- Li, Y.; He, D.C.; Si, Q.R.; Meng, X.P. Effect of track shoes structural parameters on traction performance of unmanned underwater tracked bulldozer. Ocean. Eng. 2021, 237, 109655. [Google Scholar] [CrossRef]
- Yang, C.B.; Gu, L.; Lv, W.W. Study of Factors with Effects on Tracked Vehicle Driving Resistance Basis of Bekker Theory. Appl. Mech. Mater. 2013, 288, 80–83. [Google Scholar] [CrossRef]
- Yang, C.B.; Gu, L.; Li, Q. Finite element simulation of Track shoe and Ground adhesion. Appl. Mech. Mater. 2014, 644–650, 402–405. [Google Scholar] [CrossRef]
- Shin, G.B.; Baek, S.H.; Park, K.H.; Chung, C.K. Investigation of the soil thrust interference effect for tracked unmanned ground vehicles (UGVs) using model track tests. J. Terramech. 2020, 91, 117–127. [Google Scholar] [CrossRef]
- Liu, H.R.; Lu, Y.M.; Wang, X.F.; Li, Y.Y.; Yan, Y.Q.; Lai, X.D. Investigation of the effects of the vane blades on the CAP1400 nuclear coolant pump’s performance based on a bionic strategy. Nucl. Eng. Des. 2021, 384, 111465. [Google Scholar] [CrossRef]
- Tong, J.; Xu, S.; Chen, D.H.; Li, M. Design of a Bionic Blade for Vegetable Chopper. J. Bionic. Eng. 2017, 14, 163–171. [Google Scholar] [CrossRef]
- Huang, H.; Zhang, Y.; Ren, L.Q. Particle Erosion Resistance of Bionic Samples Inspired from Skin Structure of Desert Lizard, Laudakin stoliczkana. J. Bionic. Eng. 2012, 9, 465–469. [Google Scholar] [CrossRef]
- Hopkin, M. Bionic brains become a reality. Nature 2006. [Google Scholar] [CrossRef]
- Bionic plant can sense explosives. Nature 2016, 539, 8. [CrossRef]
- Gu, L.; Poddar, S.; Lin, Y.; Long, Z.; Zhang, D.; Zhang, Q.; Shu, L.; Qiu, X.; Kam, M.; Javey, A.; et al. A biomimetic eye with a hemispherical perovskite nanowire array retina. Nature 2020, 581, 278–282. [Google Scholar] [CrossRef]
- Ball, P. Computer engineering: Feeling the heat. Nature 2012, 492, 174–176. [Google Scholar] [CrossRef] [PubMed]
- Sun, J. Miniaturization of robots that fly on beetles’ wings. Science 2020, 370, 1165. [Google Scholar] [CrossRef] [PubMed]
- Wu, L.; Jiao, Z.; Song, Y.; Liu, C.; Wang, H.; Yan, Y. Experimental investigations on drag-reduction characteristics of bionic surface with water-trapping microstructures of fish scales. Sci. Rep. 2018, 8, 12186. [Google Scholar] [CrossRef]
- Yeu, T.K.; Park, S.J.; Hong, S.; Kim, H.W.; Choi, J.S. Path tracking using vector pursuit algorithm for tracked vehicles driving on the soft cohesive soil. In Proceedings of the SICE-ICASE International Joint Conference, Busan, Korea, 18–21 October 2006; pp. 2781–2786. [Google Scholar]
- Dai, Y.; Li, X.Y.; Yin, W.W.; Pang, L.P.; Xie, Y.; Huang, Z.H. Dynamic modelling and motion control research on deep seabed miner. Mar. Georesour. Geotec. 2021, 39, 389–397. [Google Scholar] [CrossRef]
- Cai, Q.; Ma, W.B.; Rao, Q.H.; Li, G.X. Optimization designof bionic grousers for the crawled mineral collector based on the deep-sea sediment. Mar. Georesour. Geotec. 2020, 38, 48–56. [Google Scholar] [CrossRef]
- Asaad, F.; Akbar, A.J.; Amir, M.A. EPR-based material modelling of soils considering volume changes. Comput. Geosci. 2012, 48, 73–85. [Google Scholar] [CrossRef]
- Gao, F.P.; Wang, N.; Zhao, B. Ultimate bearing capacity of a pipeline on clayey soils: Slip-line field solution and FEM simulation. Ocean. Eng. 2013, 73, 159–167. [Google Scholar] [CrossRef]










| No. | L | R | Fmax (Theory) | Fmax (Straight Plate) | Percentage Increased (%) |
|---|---|---|---|---|---|
| 1 | 30 | 500 | 182.4 | 166.3 | 9.68% |
| 2 | 30 | 700 | 181.1 | 8.90% | |
| 3 | 30 | 900 | 178.4 | 7.28% | |
| 4 | 70 | 500 | 179.3 | 7.82% | |
| 5 | 70 | 700 | 178.3 | 7.22% | |
| 6 | 70 | 900 | 175.7 | 5.65% | |
| 7 | 110 | 500 | 174.3 | 4.81% | |
| 8 | 110 | 700 | 173.4 | 4.27% | |
| 9 | 110 | 900 | 171.1 | 2.89% |
| Parameters | E (MPa) | ν | ρ/(kg/m3) | C/(kPa) | φ/(°) | k | β/(°) | ψ/(°) | ω (%) | τ (kPa) |
|---|---|---|---|---|---|---|---|---|---|---|
| Value | 2.558 | 0.35 | 1.315 × 10−6 | 6.2 | 1.72 | 0.98 | 3.47 | 0 | 165.6 | 2 |
| Yield Stress Ratio (R) | |
|---|---|
| 1 | 0.00 |
| 2.97 | 0.03 |
| 4.02 | 0.05 |
| 4.33 | 0.07 |
| No. | L | R | Fmax (Simulation) | Fmax (Straight Plate) | Percentage Increased (%) |
|---|---|---|---|---|---|
| 1 | 30 | 500 | 198.694 | 169.07 | 17.52 |
| 2 | 30 | 700 | 189.817 | 12.27 | |
| 3 | 30 | 900 | 180.989 | 7.05 | |
| 4 | 70 | 500 | 184.513 | 9.13 | |
| 5 | 70 | 700 | 178.861 | 5.79 | |
| 6 | 70 | 900 | 175.438 | 3.77 | |
| 7 | 110 | 500 | 177.488 | 4.98 | |
| 8 | 110 | 700 | 173.569 | 2.66 | |
| 9 | 110 | 900 | 170.663 | 0.94 |
| Time (s) | 1.2 | 2.0 | 4.0 |
|---|---|---|---|
| Straight Plate Grouser | ![]() | ![]() | ![]() |
| No. 1 Bionic Grouser | ![]() | ![]() | ![]() |
Publisher’s Note: MDPI stays neutral with regard to jurisdictional claims in published maps and institutional affiliations. |
© 2021 by the authors. Licensee MDPI, Basel, Switzerland. This article is an open access article distributed under the terms and conditions of the Creative Commons Attribution (CC BY) license (https://creativecommons.org/licenses/by/4.0/).
Share and Cite
Chen, Y.; Zhu, W.; Qi, W.; Ma, W. Study on an Analytical Solution to the Mechanical Response of Soil Cut by a Bionic Force Enhancement Grouser. J. Mar. Sci. Eng. 2021, 9, 1401. https://doi.org/10.3390/jmse9121401
Chen Y, Zhu W, Qi W, Ma W. Study on an Analytical Solution to the Mechanical Response of Soil Cut by a Bionic Force Enhancement Grouser. Journal of Marine Science and Engineering. 2021; 9(12):1401. https://doi.org/10.3390/jmse9121401
Chicago/Turabian StyleChen, Yanli, Wei Zhu, Wengang Qi, and Wenbo Ma. 2021. "Study on an Analytical Solution to the Mechanical Response of Soil Cut by a Bionic Force Enhancement Grouser" Journal of Marine Science and Engineering 9, no. 12: 1401. https://doi.org/10.3390/jmse9121401
APA StyleChen, Y., Zhu, W., Qi, W., & Ma, W. (2021). Study on an Analytical Solution to the Mechanical Response of Soil Cut by a Bionic Force Enhancement Grouser. Journal of Marine Science and Engineering, 9(12), 1401. https://doi.org/10.3390/jmse9121401







