Experimental Study of Local Scour around Tripod Foundation in Combined Collinear Waves-Current Conditions
Abstract
:1. Introduction
2. Experiment Design
3. Results and Discussions
3.1. Scour Development and Scour Morphology
3.2. Time Scale
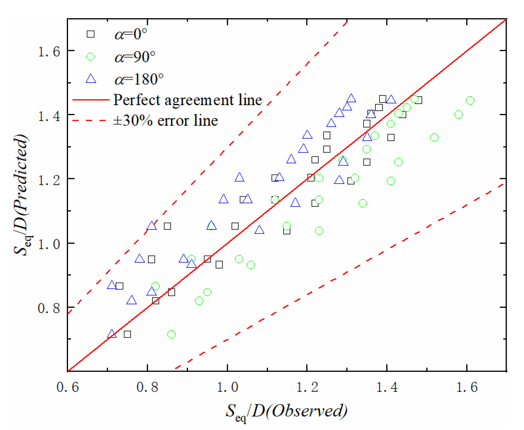
3.3. Scour Depth Prediction
3.3.1. Influence of KC and Ucw on Scour Depth
3.3.2. Influence of Fr on Scour Depth
3.3.3. Influence of Eu on Scour Depth
3.3.4. Remarks Regarding the Effects of Structural Elements on Seq
4. Conclusions
- (1)
- The maximum scour hole appeared underneath the main column for installation angle α = 0°, 90° and 180°, which can be attributed to the blockage effects of the structural elements, it leading to streamline compression and flow acceleration adjacent to the diagonal bracings, thus the relative high bed shear stress, so more sediments were mobilized and transported.
- (2)
- The equilibrium scour depth for α = 90° was greater than the case of α = 0° and α = 180°, indicating the tripod suffered from more severe scour for α = 90°. The scour mechanism can be explained by the higher blockage effects for α = 90° due to the diagonal braces connecting with the wall-facing pile perpendicular to the waves’ progressing direction.
- (3)
- When KC was fixed, the dimensionless time scale T* for α = 90° were slightly larger than the case of α = 0° and α = 180°, meaning the longer duration to the equilibrium scour state. The T* was linearly correlated with Ucw in the range of 0.347 < Ucw < 0.739.
- (4)
- The varying trend of the experimental data were basically consistent with the prediction results by Equation (11), but the Equation (11) generally underestimated the experimental results, especially for the case of α = 90°. The errors can be attributed to the higher blockage effects induced by tripod’s structural elements, so it was recommended to multiply a safety coefficient (e.g., 1.3 for α = 90°) when the Equation (11) was adopted to predict Seq around tripod in combined waves and current.
- (5)
- The higher Fr and Eu both resulted in the greater scour depth for tripod in combined waves and current. The logarithmic formula can depict the general trend of Seq and Fr (Eu) for tripod in combined waves and current.
Author Contributions
Funding
Institutional Review Board Statement
Informed Consent Statement
Data Availability Statement
Conflicts of Interest
References
- Fazeres-Ferradosa, T.; Chambel, J.; Taveira-Pinto, F.; Rosa-Santos, P.; Taveira-Pinto, F.V.C.; Giannini, G.; Haerens, P. Scour protections for offshore foundations of marine energy harvesting technologies: A review. J. Mar. Sci. Eng. 2021, 9, 297. [Google Scholar] [CrossRef]
- Fazeres-Ferradosa, T.; Taveira-Pinto, F.; Romão, X.; Reis, M.; Neves, L.D. Reliability assessment of offshore dynamic scour protections using copulas. Wind Eng. 2019, 43, 506–538. [Google Scholar] [CrossRef]
- Sumer, B.M.; Fredsøe, J.; Christiansen, N. Scour around Vertical Pile in Waves. J. Waterw. Port Coast. Ocean Eng. 1992, 118, 15–31. [Google Scholar] [CrossRef]
- Chen, B.; Li, S. Experimental Study of Local Scour around a Vertical Cylinder under Wave-Only and Combined Wave-Current Conditions in a Large-Scale Flume. J. Hydraul. Eng. 2018, 144, 04018058. [Google Scholar] [CrossRef]
- Nielsen, A.W.; Liu, X.; Sumer, B.M.; Fredsøe, J. Flow and bed shear stresses in scour protections around a pile in a current. Coast. Eng. 2013, 72, 20–38. [Google Scholar] [CrossRef]
- Hu, R.G.; Liu, H.J.; Leng, H.; Yu, P.; Wang, X.H. Scour characteristics and equilibrium scour depth prediction around umbrella suction anchor foundation under random waves. J. Mar. Sci. Eng. 2021, 9, 886. [Google Scholar] [CrossRef]
- Li, H.; Ong, M.C.; Leira, B.J.; Myrhaug, D. Effects of Soil Profile Variation and Scour on Structural Response of an Offshore Monopile Wind Turbine. J. Offshore Mech. Arct. Eng. 2018, 140, 042001. [Google Scholar] [CrossRef]
- Li, H.; Liu, H.; Liu, S. Dynamic analysis of umbrella suction anchor foundation embedded in seabed for offshore wind turbines. Géoméch. Energy Environ. 2017, 10, 12–20. [Google Scholar] [CrossRef]
- Qi, W.; Gao, F. Equilibrium scour depth at offshore monopile foundation in combined waves and current. Sci. China Technol. Sci. 2014, 57, 1030–1039. [Google Scholar] [CrossRef] [Green Version]
- Yu, P.; Hu, R.; Yang, J.; Liu, H. Numerical investigation of local scour around USAF with different hydraulic conditions under currents and waves. Ocean Eng. 2020, 213, 107696. [Google Scholar] [CrossRef]
- Yang, Q.; Yu, P.; Liu, Y.; Liu, H.; Zhang, P.; Wang, Q. Scour characteristics of an offshore umbrella suction anchor foundation under the combined actions of waves and currents. Ocean Eng. 2020, 202, 106701. [Google Scholar] [CrossRef]
- Sumer, B.M.; Christiansen, N.; Fredsøe, J. The horseshoe vortex and vortex shedding around a vertical wall-mounted cylinder exposed to waves. J. Fluid Mech. 1997, 332, 41–70. [Google Scholar] [CrossRef]
- Rudolph, D.; Bos, K. Scour around a monopile under combined wave-current conditions and low KC-numbers. In Proceedings of the 6th International Conference on Scour and Erosion, Amsterdam, The Netherlands, 1–3 November 2006; pp. 582–588. [Google Scholar]
- Sumer, B.M.; Fredsøe, J. Scour around Pile in Combined Waves and Current. J. Hydraul. Eng. 2001, 127, 403–411. [Google Scholar] [CrossRef]
- Yu, T.; Zhang, Y.; Zhang, S.; Shi, Z.; Chen, X.; Xu, Y.; Tang, Y. Experimental study on scour around a composite bucket foundation due to waves and current. Ocean Eng. 2019, 189, 106302. [Google Scholar] [CrossRef]
- Schendel, A.; Welzel, M.; Schlurmann, T.; Hsu, T.-W. Scour around a monopile induced by directionally spread irregular waves in combination with oblique currents. Coast. Eng. 2020, 161, 103751. [Google Scholar] [CrossRef]
- Eadie, R.W.; Herbich, J.B. Scour about a single, cylindrical pile due to combined random waves and current. In Proceedings of the 20th Coastal Engineering Conference, Taipei, China, 9–14 November 1986. [Google Scholar]
- Qi, W.G.; Gao, F.P. Physical modeling of local scour development around a large-diameter monopile in combined waves and current. Coast. Eng. 2014, 83, 72–81. [Google Scholar] [CrossRef] [Green Version]
- Corvaro, S.; Marini, F.; Mancinelli, A.; Lorenzoni, C.; Brocchini, M. Hydro- and Morpho-dynamics Induced by a Vertical Slender Pile under Regular and Random Waves. J. Waterw. Port. Coastal Ocean Eng. 2018, 144, 04018018. [Google Scholar] [CrossRef]
- Afzal, M.S.; Bihs, H.; Kamath, A.; Arntsen, Ø.A. Three-dimensional numerical modeling of pier scour under current and waves using level-set method. J. Offshore Mech. Arct. Eng. 2015, 137, 032001. [Google Scholar] [CrossRef]
- Quezada, M.; Tamburrino, A.; Nino, Y. Numerical study of the hydrodynamics of waves and currents and their effects in pier scouring. Water 2019, 11, 2256. [Google Scholar] [CrossRef] [Green Version]
- Afzal, M.S.; Bihs, H.; Kumar, L. Computational fluid dynamics modeling of abutment scour under steady current using the level set method. Int. J. Sediment. Res. 2020, 35, 355–364. [Google Scholar] [CrossRef]
- Gautam, S.; Dutta, D.; Bihs, H.; Afzal, M.S. Three-dimensional Computational Fluid Dynamics modelling of scour around a single pile due to combined action of the waves and current using Level-Set method. Coast. Eng. 2021, 170, 104002. [Google Scholar] [CrossRef]
- Pu, J.H.; Huang, Y.; Shao, S.; Hussain, K. Three-Gorges Dam fine sediment pollutant transport: Turbulence SPH model simulation of multi-fluid flows. J. Appl. Fluid Mech. 2016, 9, 1–10. [Google Scholar] [CrossRef]
- Ma, L.L.; Wang, L.Z.; Guo, Z.; Jiang, H.Y.; Gao, Y.Y. Time development of scour around pile groups in tidal currents. Ocean Eng. 2018, 163, 400–418. [Google Scholar] [CrossRef]
- Schendel, A.; Hildebrandt, A.; Goseberg, N.; Schlurmann, T. Processes and evolution of scour around a monopile induced by tidal currents. Coast. Eng. 2018, 139, 65–84. [Google Scholar] [CrossRef]
- Yuan, C.G.; Melville, B.W.; Adams, K.N. Scour at wind turbine tripod foundation under steady flow. Ocean Eng. 2017, 141, 277–282. [Google Scholar] [CrossRef]
- Welzel, M.; Schendel, A.; Goseberg, N.; Hildebrandt, A.; Schlurmann, T. Influence of Structural Elements on the Spatial Sediment Displacement around a Jacket-Type Offshore Foundation. Water 2020, 12, 1651. [Google Scholar] [CrossRef]
- Welzel, M.; Schendel, A.; Hildebrandt, A.; Schlurmann, T. Scour development around a jacket structure in combined waves and current conditions compared to monopile foundations. Coast. Eng. 2019, 152, 103515. [Google Scholar] [CrossRef]
- Stahlmann, A. Experimental and Numerical Modeling of Scour at Foundation Structures for Offshore Wind Turbines. Ph.D. Thesis, Franzius-Institute for Hydraulic, Estuarine and Coastal Engineering, Leibniz Universität Hannover, Hannover, Germany, 2013. [Google Scholar]
- DNV. Design of Offshore Wind Turbine Structures. Offshore Standard DNV-OSJ101; Det Norske Veritas AS: Berum, Norway, 2013. [Google Scholar]
- Yamini, O.A.; Mousavi, S.H.; Kavianpour, M.R.; Movahedi, A. Numerical modeling of sediment scouring phenomenon around the offshore wind turbine pile in marine environment. Environ. Earth Sci. 2018, 77, 776. [Google Scholar] [CrossRef]
- Fazeres-Ferradosa, T.; Rosa-Santos, P.; Taveira-Pinto, F.; Vanem, E.; Carvalho, H.; Correia, J.A.F.D.O. Advanced research on offshore structures and foundation design: Part 1. In Proceedings of the Institution of Civil Engineers-Maritime Engineering; Thomas Telford Ltd.: London, UK, 2019. [Google Scholar]
- Fazeres-Ferradosa, T.; Rosa-Santos, P.; Taveira-Pinto, F.; Pavlou, D.; Gao, F.P.; Carvalho, H.; Oliveira-Pinto, S. Advanced research on offshore structures and foundation design: Part 2. In Proceedings of the Institution of Civil Engineers-Maritime Engineering; Thomas Telford Ltd.: London, UK, 2020. [Google Scholar]
- Whitehouse, R. Scour at Marine Structures: A Manual for Practical Applications; Thomas Telford Ltd.: London, UK, 1998. [Google Scholar]
- Frostick, L.E.; McLelland, S.J.; Mercer, T.G. Users Guide to Physical Modelling and Experimentation: Experience of the HYDRALAB Network; CRC Press: Los Angeles, CA, USA, 2019. [Google Scholar]
- Sutherland, J.; Whitehouse, R.J.S. Scale Effects in the Physical Modelling of Seabed Scour; Technical Report; HR Wallingford: Oxford, UK, 1998. [Google Scholar]
- Soulsby, R. Dynamics of Marine Sands; Thomas Telford Ltd.: London, UK, 1998. [Google Scholar]
- Melville, B.W.; Chiew, Y.M. Time scale for local scour in bridge piers. J. Hydraul. Eng. 1999, 125, 59–65. [Google Scholar] [CrossRef]
- Petersen, T.U.; Sumer, B.M.; Fredsøe, J. Time scale of scour around a pile in combined waves and current. In Proceedings of the 6th International Conference on Scour and Erosion, Paris, France, 27–31 August 2012. [Google Scholar]
- Sumer, B.M.; Fredsøe, J. The Mechanics of Scour in the Marine Environment; World Scientific: Singapore, 2002. [Google Scholar]
- Fazeres-Ferradosa, T.; Welzel, M.; Schendel, A.; Baelus, L.; Santos, P.R.; Pinto, F.T. Extended characterization of damage in rubble mound scour protections. Coast. Eng. 2020, 158, 103671. [Google Scholar] [CrossRef]
- Fazeres-Ferradosa, T.; Taveira-Pinto, F.; Reis, M.T.; das Neves, L. Physical modelling of dynamic scour protections: Analysis of the Damage Number. In Proceedings of the Institution of Civil Engineers-Maritime Engineering; Thomas Telford Ltd.: London, UK, 2018. [Google Scholar]
- De Sonneville, B.; Van Velzen, G.; Wigaard, J. Design and optimization of scour protection for offshore wind platform Dolwin Beta. In Proceedings of the International Conference on Offshore Mechanics and Arctic Engineering; American Society of Mechanical Engineers: San Francisco, CA, USA, 2014. [Google Scholar]
- Tavouktsoglou, N.S.; Harris, J.M.; Simons, R.R.; Whitehouse, R.J.S. Equilibrium Scour-Depth Prediction around Cylindrical Structures. J. Waterw. Port. Coastal Ocean Eng. 2017, 143, 04017017. [Google Scholar] [CrossRef] [Green Version]












| Test Number | Uc (m/s) | Hw (m) | T (s) | KC | Ucw | Fr | Smax/D | ||
|---|---|---|---|---|---|---|---|---|---|
| α = 0° | α = 90° | α = 180° | |||||||
| R1 | 0.10 | 0.08 | 1.5 | 8.06 | 0.35 | 0.38 | 0.73 | 0.82 | 0.71 |
| R2 | 0.12 | 0.08 | 1.5 | 8.06 | 0.39 | 0.41 | 0.81 | 0.91 | 0.78 |
| R3 | 0.15 | 0.08 | 1.5 | 8.06 | 0.44 | 0.46 | 0.85 | 0.96 | 0.81 |
| R4 | 0.18 | 0.08 | 1.5 | 8.06 | 0.49 | 0.51 | 1.04 | 1.12 | 0.99 |
| R5 | 0.21 | 0.08 | 1.5 | 8.06 | 0.53 | 0.56 | 1.12 | 1.23 | 1.03 |
| R6 | 0.24 | 0.08 | 1.5 | 8.06 | 0.56 | 0.61 | 1.22 | 1.29 | 1.16 |
| R7 | 0.29 | 0.08 | 1.5 | 8.06 | 0.61 | 0.70 | 1.25 | 1.37 | 1.20 |
| R8 | 0.35 | 0.08 | 1.5 | 8.06 | 0.65 | 0.80 | 1.36 | 1.43 | 1.28 |
| R9 | 0.40 | 0.08 | 1.5 | 8.06 | 0.68 | 0.89 | 1.39 | 1.47 | 1.31 |
| R10 | 0.00 | 0.08 | 1.5 | 8.06 | 0.00 | 0.20 | 0.12 | 0.19 | 0.09 |
| R11 | 0.24 | -- | -- | -- | 1.00 | 0.41 | 1.25 | 1.42 | 1.21 |
| R12 | 0.10 | 0.06 | 1.5 | 6.04 | 0.41 | 0.32 | 0.75 | 0.86 | 0.71 |
| R13 | 0.12 | 0.06 | 1.5 | 6.04 | 0.46 | 0.36 | 0.82 | 0.93 | 0.76 |
| R14 | 0.15 | 0.06 | 1.5 | 6.04 | 0.52 | 0.41 | 0.95 | 1.03 | 0.89 |
| R15 | 0.18 | 0.06 | 1.5 | 6.04 | 0.56 | 0.46 | 1.02 | 1.15 | 0.96 |
| R16 | 0.21 | 0.06 | 1.5 | 6.04 | 0.60 | 0.51 | 1.12 | 1.23 | 1.05 |
| R17 | 0.24 | 0.06 | 1.5 | 6.04 | 0.63 | 0.56 | 1.21 | 1.32 | 1.13 |
| R18 | 0.29 | 0.06 | 1.5 | 6.04 | 0.67 | 0.65 | 1.25 | 1.35 | 1.19 |
| R19 | 0.35 | 0.06 | 1.5 | 6.04 | 0.71 | 0.75 | 1.35 | 1.41 | 1.26 |
| R20 | 0.40 | 0.06 | 1.5 | 6.04 | 0.74 | 0.84 | 1.38 | 1.45 | 1.30 |
| R21 | 0.00 | 0.06 | 1.5 | 6.04 | 0.00 | 0.15 | 0.03 | 0.08 | 0.05 |
| R22 | 0.21 | -- | -- | -- | 1.00 | 0.36 | 1.14 | 1.21 | 1.16 |
| R23 | 0.10 | 0.07 | 2.0 | 10.35 | 0.36 | 0.37 | 0.86 | 0.95 | 0.81 |
| R24 | 0.12 | 0.07 | 2.0 | 10.35 | 0.40 | 0.40 | 0.98 | 1.06 | 0.91 |
| R25 | 0.15 | 0.07 | 2.0 | 10.35 | 0.45 | 0.45 | 1.15 | 1.23 | 1.08 |
| R26 | 0.18 | 0.07 | 2.0 | 10.35 | 0.50 | 0.50 | 1.22 | 1.34 | 1.17 |
| R27 | 0.21 | 0.07 | 2.0 | 10.35 | 0.54 | 0.56 | 1.31 | 1.41 | 1.28 |
| R28 | 0.24 | 0.07 | 2.0 | 10.35 | 0.57 | 0.61 | 1.35 | 1.43 | 1.29 |
| R29 | 0.29 | 0.07 | 2.0 | 10.35 | 0.62 | 0.69 | 1.41 | 1.52 | 1.35 |
| R30 | 0.35 | 0.07 | 2.0 | 10.35 | 0.66 | 0.79 | 1.44 | 1.58 | 1.36 |
| R31 | 0.40 | 0.07 | 2.0 | 10.35 | 0.69 | 0.88 | 1.48 | 1.61 | 1.41 |
| R32 | 0.00 | 0.07 | 2.0 | 10.35 | 0.00 | 0.20 | 0.21 | 0.30 | 0.19 |
| R33 | 0.29 | -- | -- | -- | 1.00 | 0.50 | 1.26 | 1.45 | 1.19 |
Publisher’s Note: MDPI stays neutral with regard to jurisdictional claims in published maps and institutional affiliations. |
© 2021 by the authors. Licensee MDPI, Basel, Switzerland. This article is an open access article distributed under the terms and conditions of the Creative Commons Attribution (CC BY) license (https://creativecommons.org/licenses/by/4.0/).
Share and Cite
Hu, R.; Wang, X.; Liu, H.; Lu, Y. Experimental Study of Local Scour around Tripod Foundation in Combined Collinear Waves-Current Conditions. J. Mar. Sci. Eng. 2021, 9, 1373. https://doi.org/10.3390/jmse9121373
Hu R, Wang X, Liu H, Lu Y. Experimental Study of Local Scour around Tripod Foundation in Combined Collinear Waves-Current Conditions. Journal of Marine Science and Engineering. 2021; 9(12):1373. https://doi.org/10.3390/jmse9121373
Chicago/Turabian StyleHu, Ruigeng, Xiuhai Wang, Hongjun Liu, and Yao Lu. 2021. "Experimental Study of Local Scour around Tripod Foundation in Combined Collinear Waves-Current Conditions" Journal of Marine Science and Engineering 9, no. 12: 1373. https://doi.org/10.3390/jmse9121373
APA StyleHu, R., Wang, X., Liu, H., & Lu, Y. (2021). Experimental Study of Local Scour around Tripod Foundation in Combined Collinear Waves-Current Conditions. Journal of Marine Science and Engineering, 9(12), 1373. https://doi.org/10.3390/jmse9121373
