Frequency-Based Performance Analysis of an Array of Wave Energy Converters around a Hybrid Wind–Wave Monopile Support Structure
Abstract
1. Introduction
2. Numerical Modeling
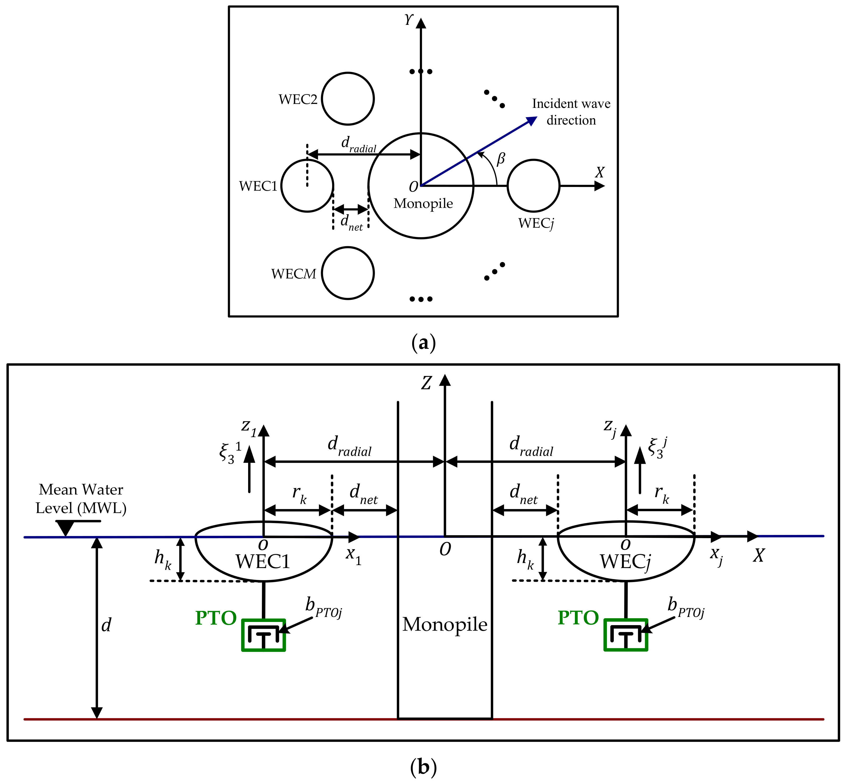
3. Characteristics of the Physical Problem Examined
4. Results and Discussion
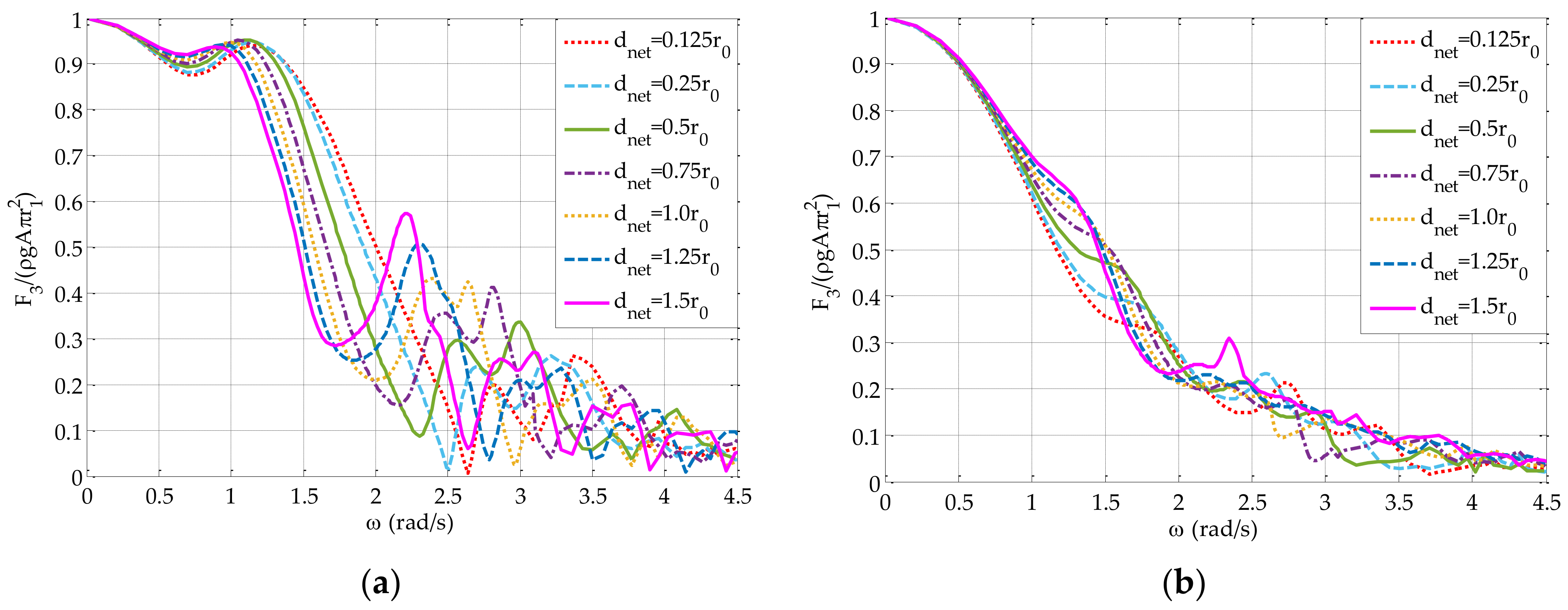
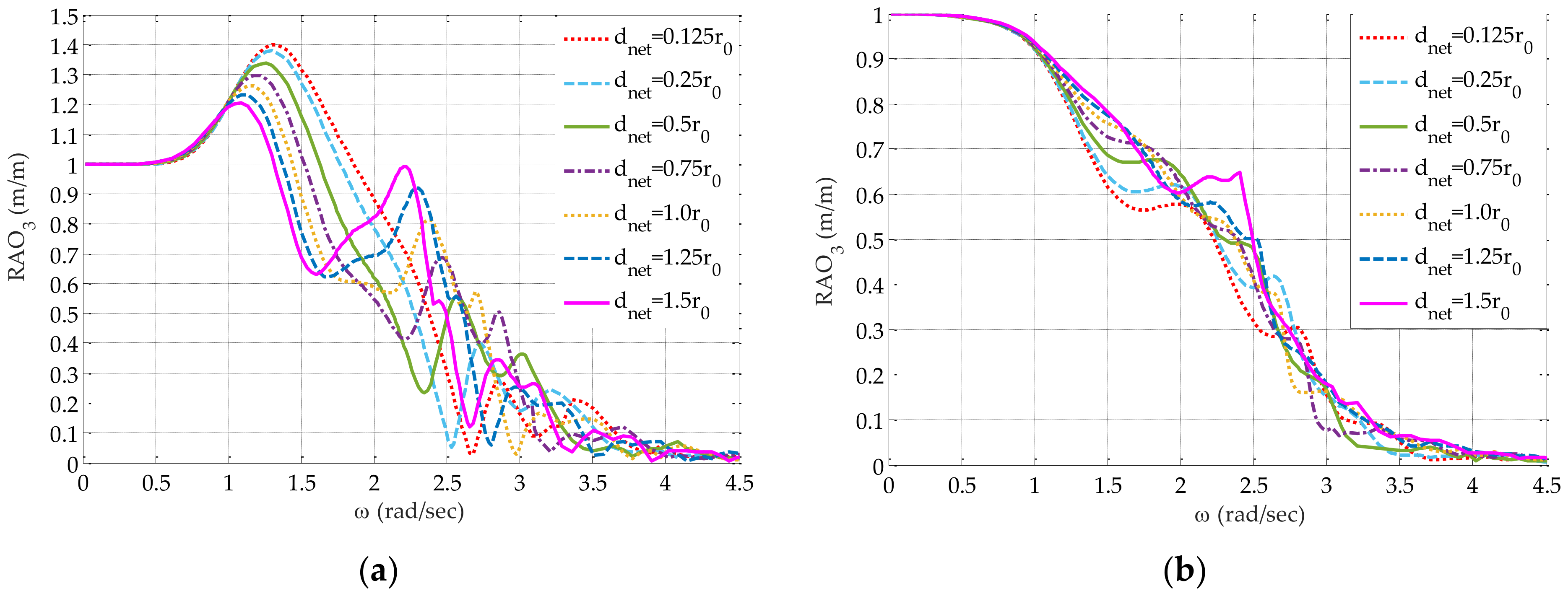
4.1. Effect of Net Radial Distance on the Performance of the Array with Oblate Spheroidal WECs
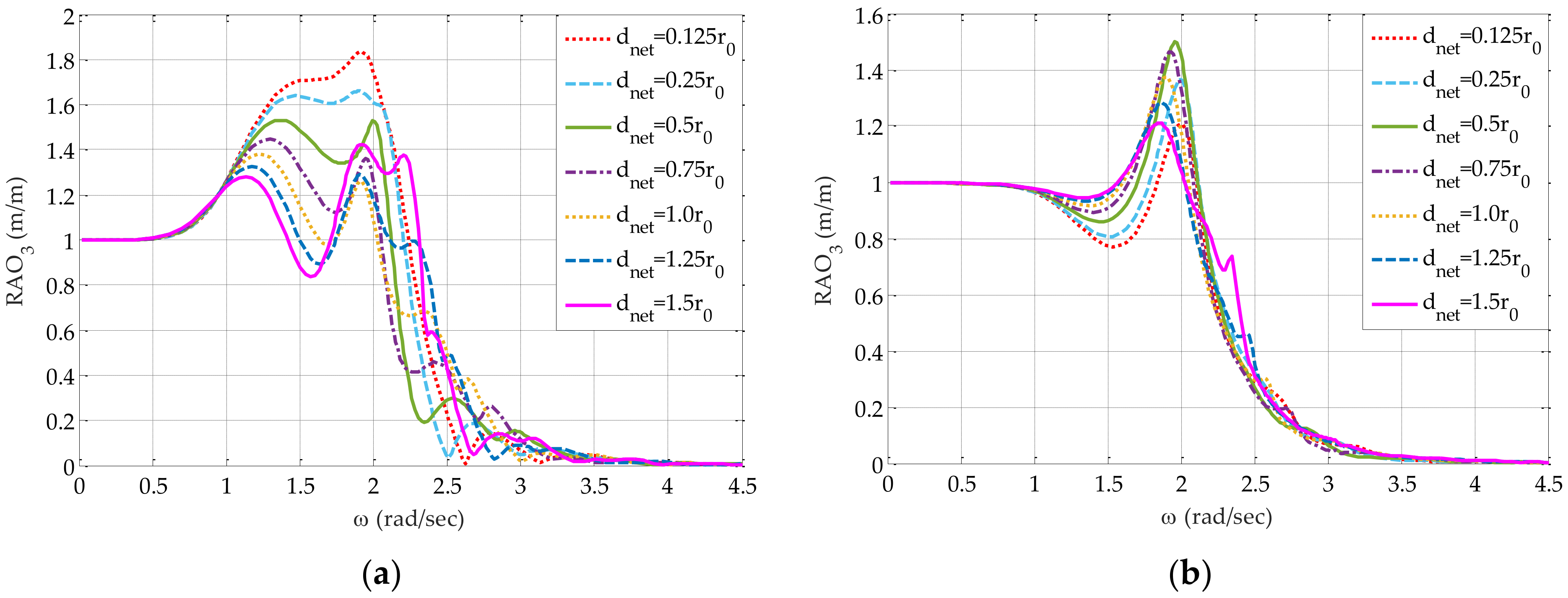
4.2. Effect of Net Radial Distance on the Performance of the Array with Hemispherical-Shaped WECs
4.3. Effect of the Incident Wave Direction on the Power Absorption Ability of the Array
4.4. Power Absorption Ability of the Most Efficient Array Configuration by Utilizing an “Active” PTO Mechanism
5. Conclusions
- With regard to the effect of the net radial distance from the monopile on the array’s power absorption ability, this effect depends strongly upon the examined frequency range for the array consisting of oblate spheroidal WECs. Specifically, at low wave frequencies, the aforementioned array shows the best power absorption ability by placing the WECs at the smallest examined net radial distance (), while at higher wave frequencies, the exact opposite trend is observed, namely, the best power absorption ability occurs for the array placed at the largest examined net radial distance (). This trend advocates the potential efficient utilization of the oblate spheroidal WECs at marine areas characterized by either low-frequency or high-frequency sea waves. It is noted, however, that for , the frequency range where adequate amount of power is absorbed becomes quite wide. This feature combined with constructability issues as well as with the fact that most real sea states are characterized by low-frequency sea waves leads to the selection of as the most appropriate net radial distance for placing the array around the monopile. On the other hand, the array consisting of hemispherical-shaped WECs shows the best power absorption ability when the WECs are situated at small net radial distances from the monopile (i.e., for , , and ). The value of is considered the most appropriate net radial distance for placing the array, since it facilitates adequate power absorption ability for both the seaward and the leeward WECs.
- The power absorption ability of the array with oblate spheroidal WECs and is greatly improved under the action of oblique waves with , while the opposite trend is observed for the array with hemispherical-shaped WECs and , where the best power absorption ability occurs for head waves (i.e., ).
- The deployment of oblate spheroidal WECs around the monopile enhances the power absorption ability of the array, since compared to the hemispherical-shaped WECs, adequate power is absorbed at much wider frequency ranges, while, moreover, larger power peak values may be observed depending upon the incident wave direction. Hence, the array with the oblate spheroidal WECs situated at around the monopile presents the most efficient array configuration (WECs’ geometry and net radial distance) in terms of power absorption ability.
- The utilization of an “active” PTO mechanism, facilitating the consideration of a variable with frequency PTO damping coefficient, , that maximizes energy absorption at a given incident wave frequency or at a given frequency range, significantly enhances the power absorption ability of the array compared to the deployment of a PTO mechanism with a constant . For the most efficient array configuration (i.e., oblate spheroidal WECs with ), the deployment of this “active” PTO mechanism under the action of oblique regular waves results in an increase of the power peak, as well as to a wider frequency range, extending mainly towards lower frequencies, where adequate power absorption is achieved. Positive conclusions are also derived in the case of irregular waves, since by utilizing the “active” PTO mechanism, an increase of the maximum power absorbed by the array occurs while, moreover, the array configuration shows a better power absorption ability for a larger number of sea states.
Author Contributions
Funding
Data Availability Statement
Conflicts of Interest
References
- Bahaj, A.S. Generating electricity from the ocean. Renew. Sustain. Energy Rev. 2011, 15, 3399–3416. [Google Scholar] [CrossRef]
- Iglesias, G.; Carballo, R. Wave energy potential along the Death Coast (Spain). Energy 2009, 34, 1963–1975. [Google Scholar] [CrossRef]
- Oceans of Energy—European Ocean Energy Roadmap 2010–2050. Available online: https://www.icoe-conference.com/publication/oceans_of_energy_european_ocean_energy_roadmap_2010_2050/ (accessed on 2 November 2020).
- Perez-Collazo, C.; Astariz, S.; Abanades, J.; Greaves, D.; Iglesias, G. Co-located Wave and Offshore Wind Farms: A Preliminary Case Study of a Hybrid Array. In Proceedings of the 34th International Conference in Coastal Engineering, Seoul, Korea, 16–20 June 2014; Lynett, P., Ed.; Curran Associates Inc.: New York, NY, USA, 2016; p. 34. [Google Scholar] [CrossRef]
- Astariz, S.; Perez-Collazo, C.; Abanades, J.; Iglesias, G. Towards the optimal design of a co-located wind-wave farm. Energy 2015, 84, 15–25. [Google Scholar] [CrossRef]
- Astariz, S.; Iglesias, G. Enhancing wave energy competitiveness through co-located wind and wave energy farms. A review on the shadow effect. Energies 2015, 8, 7344–7366. [Google Scholar] [CrossRef]
- Pérez-Collazo, C.; Jakobsen, M.M.; Buckland, H.; Fernández-Chozas, J. Synergies for a Wave-Wind Energy Concept. In Proceedings of the European Offshore Wind Energy Conference, Frankfurt, Germany, 19–21 November 2013; The European Wind Energy Association: Brussels, Belgium, 2013. [Google Scholar]
- Jeffrey, H.; Sedgwick, J. ORECCA European Offshore Renewable Energy Roadmap. Available online: http://orecca.rse-web.it/doc_info/ORECCA_EU_offshore_Renewable_Energy_Roadmap.pdf (accessed on 2 November 2020).
- Karimirad, M. Offshore Energy Structures; Springer International Publishing: Cham, Switzerland, 2014. [Google Scholar]
- Colin, W. (Ed.) Offshore Wind in Europe—Key Trends and Statistics 2019. 2020. Available online: https://windeurope.org/wp-content/uploads/files/about-wind/statistics/WindEurope-Annual-Offshore-Statistics-2019.pdf (accessed on 2 November 2020).
- Lynch, K.; Murphy, J. Overview of Offshore Wind and Ocean Energy Technologies; Public Report of Marine Renewable Integrated Application (MARINA) Platform Project: Cork, Ireland, 2012. [Google Scholar]
- Michailides, C.; Gao, Z.; Moan, T. Experimental and numerical study of the response of the offshore combined wind/wave energy concept SFC in extreme environmental conditions. Mar. Struct. 2016, 50, 35–54. [Google Scholar] [CrossRef]
- Michailides, C.; Gao, Z.; Moan, T. Experimental study of the functionality of a semisubmersible wind turbine combined with flap-type wave energy converters. Renew. Energy 2016, 93, 675–690. [Google Scholar] [CrossRef]
- Michailides, C.; Luan, C.; Gao, Z.; Moan, T. Effect of Flap Type Wave Energy Converters on the Response of a Semi-Submersible Wind Turbine in Operational Conditions. In Proceedings of the 33rd International Conference on Ocean, Offshore and Arctic Engineering, San Francisco, CA, USA, 8–16 June 2014; p. OMAE2014-24065. [Google Scholar] [CrossRef]
- Muliawan, M.J.; Karimirad, M.; Moan, T. Dynamic response and power performance of a combined Spar-type floating wind turbine and coaxial floating wave energy converter. Renew. Energy 2013, 50, 47–57. [Google Scholar] [CrossRef]
- Muliawan, M.J.; Karimirad, M.; Gao, Z.; Moan, T. Extreme responses of a combined spar-type floating wind turbine and floating wave energy converter (STC) system with survival modes. Ocean Eng. 2013, 65, 71–82. [Google Scholar] [CrossRef]
- Gao, Z.; Moan, T.; Wan, L.; Michailides, C. Comparative numerical and experimental study of two combined wind and wave energy concepts. J. Ocean Eng. Sci. 2016, 1, 36–51. [Google Scholar] [CrossRef]
- Wang, Y.; Zhang, L.; Michailides, C.; Wan, L.; Shi, W. Hydrodynamic response of a combined wind-wave marine energy structure. J. Mar. Sci. Eng. 2020, 8, 253. [Google Scholar] [CrossRef]
- Bachynski, E.E.; Moan, T. Point Absorber Design for a Combined Wind and Wave Energy Converter on a Tension-Leg Support Structure. In Proceedings of the 32nd International Conference on Ocean, Offshore and Arctic Engineering, Nantes, France, 9–14 June 2013; p. OMAE2013-10429. [Google Scholar] [CrossRef]
- Karimirad, M.; Koushan, K. WindWEC: Combining Wind and Wave Energy Inspired by Hywind and Wavestar. In Proceedings of the 2016 IEEE International Conference on Renewable Energy Research and Application, Birmingham, UK, 20–23 November 2016; pp. 96–101. [Google Scholar] [CrossRef]
- Karimirad, M.; Michailides, C. Effects of Structural Design Parameters on the Hydrodynamic Interaction and Response of the Combined WindWEC Concept. In Proceedings of the 12th European Wave and Tidal Energy Conference, Cork, Ireland, 27 August–1 September 2017. [Google Scholar]
- Karimirad, M.; Michailides, C. Effects of Misaligned Wave and Wind Action on the Response of the Combined Concept WindWEC. In Proceedings of the 37th International Conference on Ocean, Offshore and Arctic Engineering, Madrid, Spain, 17–22 June 2018; p. OMAE2018-77078. [Google Scholar] [CrossRef]
- Mazarakos, T.; Konispoliatis, D.; Katsaounis, G.; Polyzos, S.; Manolas, D.; Voutsinas, S.; Soukissian, T.; Mavrakos, S.A. Numerical and experimental studies of a multi—purpose floating TLP structure for combined wind and wave energy exploitation. J. Mediterr. Mar. Sci. 2019, 20, 745–763. [Google Scholar] [CrossRef]
- Lee, H.; Poguluri, S.K.; Bae, Y.H. Performance analysis of multiple wave energy converters placed on a floating platform in the frequency domain. Energies 2018, 11, 406. [Google Scholar] [CrossRef]
- Perez-Collazo, C.; Greaves, D.; Iglesias, G. A novel hybrid wind-wave energy converter for jacket-frame substructures. Energies 2018, 11, 637. [Google Scholar] [CrossRef]
- Perez-Collazo, C.; Pemberton, R.; Greaves, D.; Iglesias, G. Monopile-mounted wave energy converter for a hybrid wind-wave system. Energy Convers. Manag. 2019, 199, 111971. [Google Scholar] [CrossRef]
- Ren, N.; Ma, Z.; Fan, T.; Zhai, G.; Ou, J. Experimental and numerical study of hydrodynamic responses of a new combined monopile wind turbine and a heave type wave energy converter under typical operational conditions. Ocean Eng. 2018, 159, 1–8. [Google Scholar] [CrossRef]
- Power Technology. Available online: https://www.power-technology.com/projects/greenoceanenergywav/ (accessed on 2 November 2020).
- Wave Star. Available online: http://wavestarenergy.com/ (accessed on 2 November 2020).
- Miquel, A.M.; Antonini, A.; Archetti, R.; Bozzi, S.; Lamberti, A. Non-linear modelling of a heaving point absorber: The surge effect. Int. J. Mar. Energy 2017, 19, 95–109. [Google Scholar] [CrossRef]
- Bozzi, S.; Miquel, A.M.; Scarpa, F.; Antonini, A.; Archetti, R.; Passoni, G.; Gruosso, G. Wave energy production in Italian offshore: Preliminary design of a point absorber with tubular linear generator. In Proceedings of the 4th International Conference on Clean Electrical Power: Renewable Energy Resources Impact, Alghero, Italy, 11–13 June 2013; pp. 203–208. [Google Scholar] [CrossRef]
- Gaeta, M.G.; Segurini, G.; Moreno, A.M.; Archetti, R. Implementation and validation of a potential model for a moored floating cylinder under waves. J. Mar. Sci. Eng. 2020, 8, 131. [Google Scholar] [CrossRef]
- WAMIT Theory Manual. Available online: https://www.wamit.com/Publications/tmanual.pdf (accessed on 2 November 2020).
- Lee, C.H.; Newman, J.N. Computation of wave effects using the panel method. In Numerical Models in Fluid-Structure Interaction; Chakrabarti, S., Ed.; WIT Press: Southampton, UK, 2005; pp. 211–251. [Google Scholar]
- Falnes, J.; Kurniawan, A. Ocean Waves and Oscillating Systems: Linear Interactions Including Wave-Energy Extraction, 2nd ed.; Cambridge University Press: Cambridge, UK, 2020; pp. 20–23. [Google Scholar]
- Beels, C.; Henriques, J.C.C.; De Rouck, J.; Pontes, M.T.; De Backer, G.; Verhaeghe, H. Wave Energy Resource in the North Sea. In Proceedings of the 7th European Wave and Tidal Energy Conference, Porto, Portugal, 11–13 September 2007. [Google Scholar]
- Acura, Active Damper System. Available online: https://www.acura.com/mdx/modals/active-damper-system#:~:text=The%20Active%20Damper%20System%20can,road%20requires%20high%2Dperformance%20handling (accessed on 2 November 2020).
- KONI, KONI ACTIVE Technology. Available online: https://www.koni.com/en-US/Cars/Technology/ACTIVE_Technology/ (accessed on 2 November 2020).
- General Kinetics. Active Shock Brand Semi Active Dampers. Available online: http://www.generalkinetics.com/products/military/active-shock-semi-active-dampers.php (accessed on 2 November 2020).
- ENDINE. Available online: https://www.itt-infrastructure.com/en-US/Home (accessed on 2 November 2020).
- Det Norske Veritas–Germanischer Lloyds (DNV–GL). Environmental Conditions and Environmental Loads, Recommended Practice DNVGL-RP-C205; DNV-GL: Oslo, Norway, 2017. [Google Scholar]




















| Geometry | ||||||
|---|---|---|---|---|---|---|
| Oblate spheroid | 2.5 | 1.7 | 22.150 | 197.076 | 2.282 | 20.615 |
| Hemisphere | 2.0 | 2.5 1 | 22.935 | 125.969 | 2.008 | 6.673 |
| Design Parameter | WEC Geometry | β (°) | |
|---|---|---|---|
| Net radial distance | Oblate spheroid, | ||
| Hemisphere | |||
| Incident wave direction () | Oblate spheroid | ||
| Hemisphere |
Publisher’s Note: MDPI stays neutral with regard to jurisdictional claims in published maps and institutional affiliations. |
© 2020 by the authors. Licensee MDPI, Basel, Switzerland. This article is an open access article distributed under the terms and conditions of the Creative Commons Attribution (CC BY) license (http://creativecommons.org/licenses/by/4.0/).
Share and Cite
Gkaraklova, S.; Chotzoglou, P.; Loukogeorgaki, E. Frequency-Based Performance Analysis of an Array of Wave Energy Converters around a Hybrid Wind–Wave Monopile Support Structure. J. Mar. Sci. Eng. 2021, 9, 2. https://doi.org/10.3390/jmse9010002
Gkaraklova S, Chotzoglou P, Loukogeorgaki E. Frequency-Based Performance Analysis of an Array of Wave Energy Converters around a Hybrid Wind–Wave Monopile Support Structure. Journal of Marine Science and Engineering. 2021; 9(1):2. https://doi.org/10.3390/jmse9010002
Chicago/Turabian StyleGkaraklova, Sofia, Pavlos Chotzoglou, and Eva Loukogeorgaki. 2021. "Frequency-Based Performance Analysis of an Array of Wave Energy Converters around a Hybrid Wind–Wave Monopile Support Structure" Journal of Marine Science and Engineering 9, no. 1: 2. https://doi.org/10.3390/jmse9010002
APA StyleGkaraklova, S., Chotzoglou, P., & Loukogeorgaki, E. (2021). Frequency-Based Performance Analysis of an Array of Wave Energy Converters around a Hybrid Wind–Wave Monopile Support Structure. Journal of Marine Science and Engineering, 9(1), 2. https://doi.org/10.3390/jmse9010002
