An Experimental Investigation of Wave Forces on a Submerged Horizontal Plate over a Simple Slope
Abstract
1. Introduction
2. Experimental Set-Up
3. Wave Conditions
3.1. Regular Waves
3.2. Solitary Waves
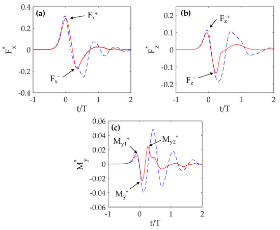
4. Results and Discussion
4.1. Regular Waves
4.2. Solitary Waves
5. Conclusions
Author Contributions
Funding
Acknowledgments
Conflicts of Interest
References
- Heins, A.E. Water waves over a channel of finite depth with a submerged plane barrier. Can. J. Math. 1950, 2, 210–222. [Google Scholar] [CrossRef]
- Ijima, T.; Ozaki, S.; Eguchi, Y.; Kobayashi, A. Breakwater and quay wall by horizontal plates. In Proceedings of the 12th Conference on Coastal Engineering, Washington, DC, USA, 13–18 September 1970; Volume 3, pp. 1537–1556. [Google Scholar]
- Watanabe, E.; Utsunomiya, T.; Wang, C.M. Hydroelastic analysis of pontoon-type VLFS: A literature survey. Eng. Struct. 2004, 26, 245–256. [Google Scholar] [CrossRef]
- Orer, G.; Ozdamar, A. An experimental study on the efficiency of the submerged plate wave energy converter. Renew. Energy 2007, 32, 1317–1327. [Google Scholar] [CrossRef]
- Ning, D.; Zhao, X.; Goteman, M.; Kang, H. Hydrodynamic performance of a pile-restrained WEC-type floating breakwater: An experimental study. Renew. Energy 2016, 95, 531–541. [Google Scholar] [CrossRef]
- Zhao, X.L.; Ning, D.Z.; Liang, D.F. Experimental investigation on hydrodynamic performance of a breakwater-integrated WEC system. Ocean Eng. 2019, 171, 25–32. [Google Scholar] [CrossRef]
- Siew, P.; Hurley, D. Long surface waves incident on a submerged horizontal plate. J. Fluid Mech. 1977, 83, 141–151. [Google Scholar] [CrossRef]
- Patarapanich, M. Maximum and zero reflection from submerged plate. J. Waterw. Port. Coast. Ocean Eng. 1984, 110, 171–181. [Google Scholar] [CrossRef]
- Patarapanich, M.; Cheong, H.-F. Reflection and transmission characteristics of regular and random waves from a submerged horizontal plate. Coast. Eng. 1989, 13, 161–182. [Google Scholar] [CrossRef]
- Cheong, H.-F.; Shankar, N.J.; Nallayarasu, S. Analysis of submerged platform breakwater by eigenfunction expansion method. Ocean Eng. 1996, 23, 649–666. [Google Scholar] [CrossRef]
- Cheng, Y.; Ji, C.; Ma, Z.; Zhai, G.; Oleg, G. Numerical and experimental investigation of nonlinear focused waves-current interaction with a submerged plate. Ocean Eng. 2017, 135, 11–27. [Google Scholar] [CrossRef]
- Patarapanich, M. Forces and moment on a horizontal plate due to wave scattering. Coast. Eng. 1984, 8, 279–301. [Google Scholar] [CrossRef]
- Liu, P.L.-F.; Iskandarani, M. Hydrodynamic Wave Forces on Submerged Horizontal Plate; National Research Council Canada: Ottawa, ON, Canada, 1989; pp. C51–C64. [Google Scholar]
- Rey, V.; Touboul, J. Forces and moment on a horizontal plate due to regular and irregular waves in the presence of current. Appl. Ocean Res. 2011, 33, 88–99. [Google Scholar] [CrossRef]
- Yu, X.; Isobe, M.; Watanabe, A. Wave breaking over submerged horizontal plate. J. Waterw. Port. Coast. Ocean Eng. 1995, 121, 105–113. [Google Scholar] [CrossRef]
- Kojima, H.; Yoshida, A.; Nakamura, T. Linear and nonlinear wave forces exerted on a submerged horizontal plate. Coast. Eng. Proc. 1994, 1, 1312–1326. [Google Scholar]
- Liu, C.; Huang, Z.; Tan, S.K. Nonlinear scattering of non-breaking waves by a submerged horizontal plate: Experiments and simulations. Ocean Eng. 2009, 36, 1332–1345. [Google Scholar] [CrossRef]
- Poupardin, A.; Perret, G.; Pinon, G.; Bourneton, N.; Rivoalen, E.; Brossard, J. Vortex kinematic around a submerged plate under water waves. Part I: Experimental analysis. Eur. J. Mech. B/Fluids 2012, 34, 47–55. [Google Scholar] [CrossRef]
- Yu, X. Functional performance of a submerged and essentially horizontal plate for offshore wave control: A review. Coast. Eng. J. 2002, 44, 127–147. [Google Scholar] [CrossRef]
- Brossard, J.; Perret, G.; Blonce, L.; Diedhiou, A. Higher harmonics induced by a submerged horizontal plate and a submerged rectangular step in a wave flume. Coast. Eng. 2009, 56, 11–22. [Google Scholar] [CrossRef]
- Zhang, C.; Zhang, Q.; Zheng, J.; Demirbilek, Z. Parameterization of nearshore wave front slope. Coast. Eng. 2017, 127, 80–87. [Google Scholar] [CrossRef]
- Li, X.; Ning, D.; Xiao, Q.; Mayon, R. Disintegration of nonlinear long waves over even and uneven bathymetry. J. Coast. Res. 2019, 35, 1285–1293. [Google Scholar] [CrossRef]
- Hayatdavoodi, M.; Ertekin, R.C. Wave forces on a submerged horizontal plate–Part II: Solitary and cnoidal waves. J. Fluids Struct. 2015, 54, 580–596. [Google Scholar] [CrossRef]
- Hayatdavoodi, M.; Treichel, K.; Ertekin, R.C. Parametric study of nonlinear wave loads on submerged decks in shallow water. J. Fluids Struct. 2019, 86, 266–289. [Google Scholar] [CrossRef]
- Dong, J.; Wang, B.; Zhao, X.; Liu, H. Wave forces exerted on a submerged horizontal plate over an uneven bottom. J. Eng. Mech. 2018, 144, 04018030. [Google Scholar] [CrossRef]
- Xu, Y.; Zhang, G.; Wan, D.; Chen, G. MPS method for study of interactions between solitary wave and submerged horizontal plate. In Proceedings of the 29th International Society of Offshore and Polar Engineers, Honolulu, HI, USA, 16–21 June 2019. [Google Scholar]
- Chu, C.R.; Chung, C.H.; Wu, T.R.; Wang, C.Y. Numerical analysis of free surface flow over a submerged rectangular bridge deck. J. Hydraul. Eng. 2016, 142, 04016060. [Google Scholar] [CrossRef]
- Wang, Q.; Fang, Y.; Liu, H. An experimental study on wave loads on a submerged horizontal plate in solitary wave. In Proceedings of the 29th International Society of Offshore and Polar Engineers, Honolulu, HI, USA, 16–21 June 2019. [Google Scholar]
- Jones, L.M.; Klamo, J.T.; Kwon, Y.W.; Didoszak, J.M. Numerical and experimental study of wave-induced load effects on a submerged body near the surface. In Proceedings of the 37th ASME International Conference on Ocean, Offshore and Arctic Engineering, Madrid, Spain, 25 September 2018. [Google Scholar]
- Lo, H.Y.; Liu, P.L.-F. Solitary Waves Incident on a Submerged Horizontal Plate. J. Waterw. Port Coast. Ocean Eng. 2014, 140, 04014009. [Google Scholar]
- Seiffert, B.; Hayatdavoodi, M.; Ertekin, R.C. Experiments and computations of solitary-wave forces on a coastal-bridge deck. Part, I: Flat plate. Coast. Eng. 2014, 88, 194–209. [Google Scholar] [CrossRef]
- Hayatdavoodi, M.; Ertekin, R.C.; Valentine, B.D. Solitary and cnoidal wave scattering by a submerged horizontal plate in shallow water. AIP Adv. 2017, 7, 065212. [Google Scholar] [CrossRef]
- Dong, J.; Wang, B.; Liu, H. Wave forces on a submerged horizontal plate over a sloping beach due to a solitary wave. In Proceedings of the 12th ISOPE Pacific/Asia Offshore Mechanics Symposium, Gold Coast, Australia, 4–7 October 2016. [Google Scholar]
- Carmigniani, R.; Leroy, A.; Violeau, D. A simple SPH model of a free surface water wave pump: Waves above a submerged plate. Coast. Eng. J. 2019, 61, 96–108. [Google Scholar] [CrossRef]
- He, M.; Gao, X.; Xu, W.; Ren, B.; Wang, H. Potential application of submerged horizontal plate as a wave energy breakwater: A 2D study using the WCSPH method. Ocean Eng. 2019, 27–46. [Google Scholar] [CrossRef]
- Ning, D.; Chen, L.; Lin, H.; Zou, Q.; Teng, B. Interaction mechanisms among waves, currents and a submerged plate. Appl. Ocean. Res. 2019, 91, 101911. [Google Scholar] [CrossRef]
- Madsen, O.S.; Mei, C.C. The Transformation of a Solitary Wave over an Uneven Bottom. J. Fluid Mech. 1969, 39, 781–791. [Google Scholar] [CrossRef]
- Dingemans, M.W. Water Wave Propagation over Uneven Bottoms; World Scientific Publishing: Singapore, 1997. [Google Scholar]
- Mondal, R.; Takagi, K. Wave scattering by a fixed submerged platform over a step bottom. Proc. Inst. Mech. Eng. Part M J. Eng. Marit. Environ. 2019, 233, 93–107. [Google Scholar] [CrossRef]
- Dhillon, H.; Banerjea, S.; Mandal, B.N. Water wave scattering by a finite dock over a step-type bottom topography. Ocean Eng. 2016, 1–10. [Google Scholar] [CrossRef]
- Dhillon, H.; Banerjea, S. Effect of Variable Bottom Topography on Water Wave Incident on a Finite Dock. In Mathematics and Computing; Springer Proceedings in Mathematics & Statistics; Mohapatra, R., Chowdhury, D., Giri, D., Eds.; Springer: New Delhi, India, 2015. [Google Scholar]
- Malek-Mohammadi, S.; Testik, F.Y. New methodology for laboratory generation of solitary waves. J. Waterw. Port. Coast. Ocean Eng. 2010, 36, 286–294. [Google Scholar] [CrossRef]
- Grimshaw, R.H.J. The solitary wave in water of variable depth. J. Fluid Mech. 1971, 46, 611–622. [Google Scholar] [CrossRef]














| Wave Gauge | WG1 | WG2 | WG3 | WG4 |
|---|---|---|---|---|
| Coordinate on x-axis 1 | −240 cm | −210 cm | 170 cm | 270 cm |
| Case 1 (Flat vs. Slope) | Submergence Depth d (m) | Wave Height H (m) | Wave Periods T (s) |
|---|---|---|---|
| BF1 vs. BS1 | 0.140 | 0.05 | 1.20, 1.40, 1.60, 1.80, 2.00 |
| BF2 vs. BS2 | 0.140 | 0.10 | 1.20,1.40,1.60,1.80 |
| BF3 vs. BS3 | 0.140 | 0.15 | 1.20,1.40,1.60,1.80 |
| BF4 vs. BS4 | 0.103 | 0.05 | 1.00,1.20,1.40,1.60,1.80,2.00,2.20 |
| BF5 vs. BS5 | 0.103 | 0.10 | 1.00,1.20,1.40,1.60,1.80,2.00,2.20 |
| BF6 vs. BS6 | 0.103 | 0.15 | 1.20,1.40,1.60,1.80,2.00 |
| BF7 vs. BS7 | 0.076 | 0.05 | 1.00,1.10,1.20,1.30,1.40,1.50,1.60, 1.70,1.80,1.90, 2.00, 2.10,2.20 |
| BF8 vs. BS8 | 0.076 | 0.10 | 1.00,1.10,1.20,1.30,1.40,1.50,1.60, 1.70,1.80,1.90, 2.00,2.20 |
| BF9 vs. BS9 | 0.076 | 0.15 | 1.00,1.10,1.20,1.30,1.40,1.50,1.60, 1.70,1.80 |
| Case 1 (Flat vs. Slope) | Submergence Depth d (m) | Wave Height H (m) |
|---|---|---|
| AF1 vs. AS1 | 0.140 | 0.060, 0.085, 0.110, 0.136, 0.163, 0.191 |
| AF2 vs. AS2 | 0.103 | 0.060, 0.085, 0.110, 0.136, 0.163, 0.191 |
| AF3 vs. AS3 | 0.076 | 0.060, 0.085, 0.110, 0.136, 0.163, 0.191 |
© 2020 by the authors. Licensee MDPI, Basel, Switzerland. This article is an open access article distributed under the terms and conditions of the Creative Commons Attribution (CC BY) license (http://creativecommons.org/licenses/by/4.0/).
Share and Cite
Dong, J.; Xue, L.; Cheng, K.; Shi, J.; Zhang, C. An Experimental Investigation of Wave Forces on a Submerged Horizontal Plate over a Simple Slope. J. Mar. Sci. Eng. 2020, 8, 507. https://doi.org/10.3390/jmse8070507
Dong J, Xue L, Cheng K, Shi J, Zhang C. An Experimental Investigation of Wave Forces on a Submerged Horizontal Plate over a Simple Slope. Journal of Marine Science and Engineering. 2020; 8(7):507. https://doi.org/10.3390/jmse8070507
Chicago/Turabian StyleDong, Jie, Leiping Xue, Kaiyu Cheng, Jian Shi, and Chi Zhang. 2020. "An Experimental Investigation of Wave Forces on a Submerged Horizontal Plate over a Simple Slope" Journal of Marine Science and Engineering 8, no. 7: 507. https://doi.org/10.3390/jmse8070507
APA StyleDong, J., Xue, L., Cheng, K., Shi, J., & Zhang, C. (2020). An Experimental Investigation of Wave Forces on a Submerged Horizontal Plate over a Simple Slope. Journal of Marine Science and Engineering, 8(7), 507. https://doi.org/10.3390/jmse8070507

