Estimation of Settling Velocity and Floc Distribution through Simple Particles Sedimentation Experiments
Abstract
1. Introduction
2. Materials and Methods
2.1. Basic Information on Beneficiation Residue: Particle Size Distribution
2.2. Method for Estimating Settling Velocity through Sedimentation Experiment
- (1)
- The settling velocity in the high concentration range is a function of the diameter of the flocculated tailings, and a suitable formula can be selected from an existing list of formulae.
- (2)
- The apparent velocity is regarded as the velocity of the largest tailing size, i.e., the maximum velocity, at the specified time for the different existing velocities.
- (3)
- The shape of the flocculated sediment is assumed to be spherical.
- (4)
- The falling velocities range from the velocity of the largest particle size to the velocity of the smallest particle size, and the apparent velocities decrease as time increases because the large particles settle more rapidly.
- (5)
- There are no additional size changes during the flocculation settling process, i.e., the settling velocity of flocculated tailings is constant.
- (6)
- The settling flux is assumed to be proportional to the products of cumulative time and settling velocity.
2.3. Estimation of Floc Particle Size Distribution Using Settling Velocity
2.4. Verification of Test Results on Settling Velocity
2.4.1. Autoencoder Method
- at the floc size estimation stage.
- at the settling velocity estimation stage.
2.4.2. Validation Method and Results
3. Results
3.1. Apparent Settling Velocity and Curve Fitting
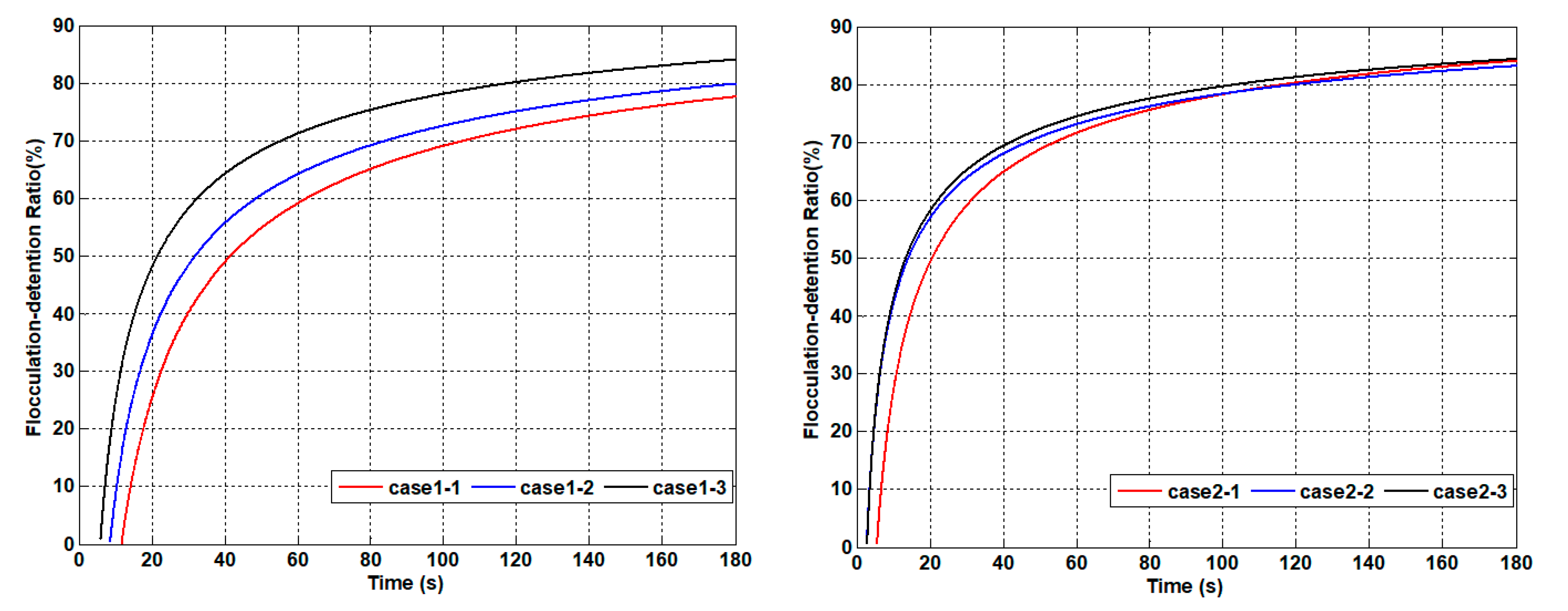
3.2. Flocculation-Detention
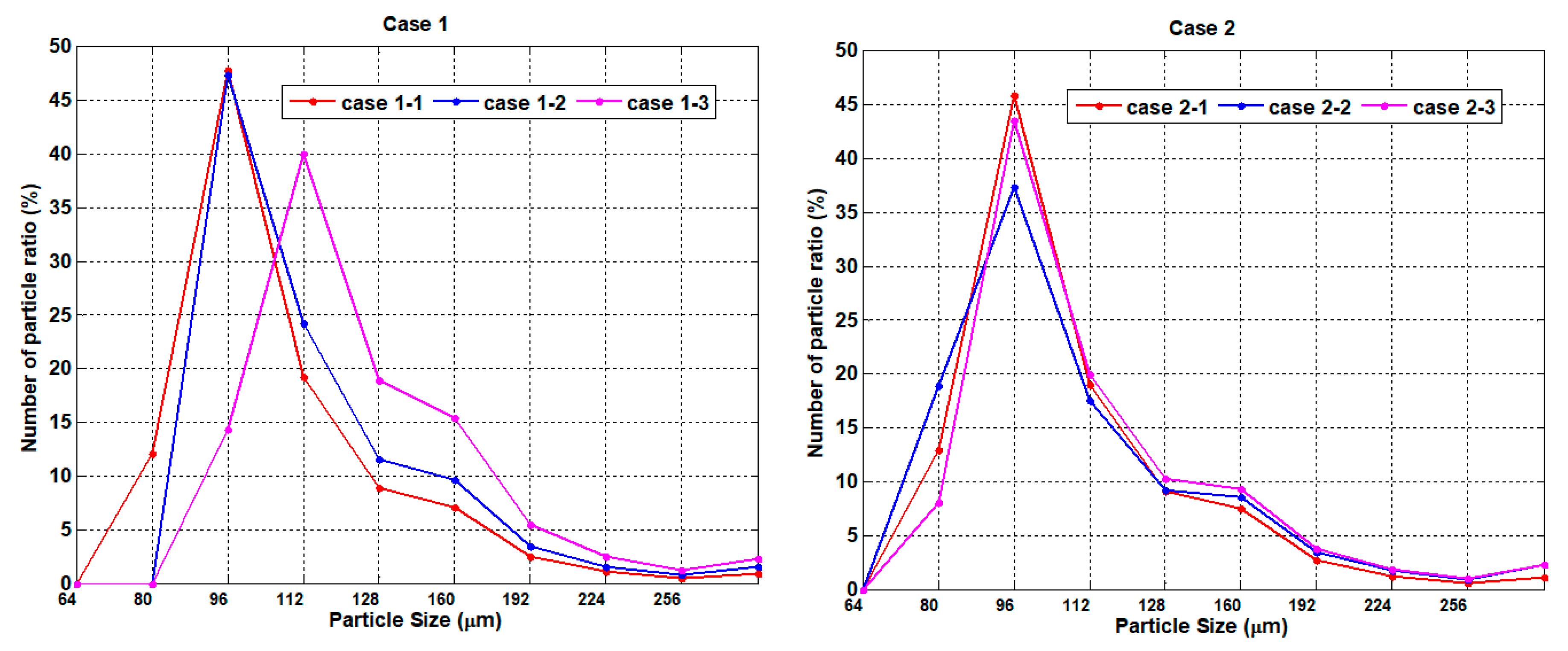
3.3. Particle Size Distribution of Final Floc Particles (Time-Specific Effects in the Flocculation Process)
3.4. Numerical Simulation
4. Discussion
5. Conclusions
- (1)
- Flocculation of the tailings was verified under high discharge concentration conditions. It was shown that the required time for flocculation increases as grain size decreases.
- (2)
- The reproducibility of the apparent velocity was acceptable based on the autoencoder concept, even though some unverified assumptions were introduced. This means that the assumptions can be accepted for qualitative evaluations. For a more accurate estimation and strict validation, the settling velocity formulae for the flocculated grain size and shape are required and a grain size detector such as LISST-100 should be used.
- (3)
- A limitation of the existing falling velocity formula is shown under the high concentration conditions because the only value computed is for the one concentration. The suggested method in this study reflects the actual conditions more accurately, because the falling velocities were computed using the floc grain size distribution and showed the different velocities present in one high-concentration condition.
Author Contributions
Funding
Conflicts of Interest
Appendix A
References
- Mehta, A.J. An Introduction to Hydraulics of Fine Sediment Transport; World Scientific: Singapore, 2014; Chapter 7. [Google Scholar]
- Zhu, L.J.; Cheng, N.S. Settlement of Sediment Particles; Research Report; Department of River and Harbor Engineering, Nanjing Hydraulic Research Institute: Nanjing, China, 1993. [Google Scholar]
- Julien, Y.P. Erosion and Sedimentation; Cambridge University Press: Cambridge, UK, 1995. [Google Scholar]
- Soulsby, R.L. Dynamics of Marine Sands; Thomas Telford: London, UK, 1997. [Google Scholar]
- Cheng, N.S. Simplified settling velocity formula for sediment particle. J. Hyraul. Eng. ASCE 1997, 123, 149–152. [Google Scholar] [CrossRef]
- Ahrens, J.P. The fall velocity equation. J. Waterw. Port Coast. Ocean. Eng. ASCE 2000, 126, 99–102. [Google Scholar] [CrossRef]
- Jiménez, J.A.; Madsen, O.S. A simple formula to estimate settling velocity of natural sediments. J. Waterw. Port Coast. Ocean. Eng. ASCE 2003, 129, 70–78. [Google Scholar] [CrossRef]
- Ferguson, R.I.; Church, M. A simple universal equation for grain settling velocity. J. Sediment. Res. 2004, 74, 933–937. [Google Scholar] [CrossRef]
- Wu, W.; Wang, S.S. Formulas for sediment porosity and settling velocity. J. Hydraul. Eng. 2006, 132, 858–862. [Google Scholar] [CrossRef]
- Zhiyao, S.; Tingting, W.; Fumin, X.; Ruijie, L. A simple formula for predicting settling velocity of sediment particles. Water Sci. Eng. 2008, 1, 37–43. [Google Scholar] [CrossRef]
- Camenen, B. Settling velocity of sediments at high concentrations. In Proceedings in Marine Science; Cross, T., Davenport, J., Burnell, M.G., McAllen, R., Emmerson, M., Ramsay, R., Rogan, E., Eds.; Elsevier: Amsterdam, The Netherlands, 2008; Volume 9, pp. 211–226. [Google Scholar]
- Millares, A.; Lira-Loarca, A.; Moñino, A.; Díez-Minguito, M. Estimating the settling velocity of fine sediment particles at high concentrations. arXiv 2018, arXiv:1812.01365. [Google Scholar]
- Park, J.Y.; Ryu, H.R.; Park, E.J.; Hwang, K.N. An estimation of settling velocity for fine bed sediments from brackish water zone of Mankyung river. J. Coast. Disaster Prev. 2018, 5, 9–16. [Google Scholar] [CrossRef]
- Yang, J.; Tang, L.; She, Y.; Sun, J. Laboratory measurements of the fall velocity of fine sediment in an estuarine environment. Int. J. Sediment Res. 2019, 35, 217–226. [Google Scholar] [CrossRef]
- Winterwerp, J.C. On the flocculation and settling velocity of estuarine mud. Cont. Shelf Res. 2002, 22, 1339–1360. [Google Scholar] [CrossRef]
- Krishnamoorthy, P. Sedimentation model and analysis for differential settling of two-particle-size suspensions in the Stokes region. Int. J. Sediment Res. 2010, 25, 119–133. [Google Scholar] [CrossRef]
- Van Rijn, L.C. Handbook: Sediment Transport by Currents and Waves; Report No. H 461; Delft Hydraulics: Delft, The Netherlands, 1989. [Google Scholar]
- Je, C.H.; Chang, S. Simple approach to estimate flocculent settling velocity in a dilute suspension. Environ. Geol. 2004, 45, 1002–1009. [Google Scholar] [CrossRef]
- Hein, J.R.; Koschinsky, A. Deep-ocean ferromanganese crusts and nodules. In Treatise on Geochemistry; Holland, D.H., Turekian, K.K., Eds.; Elsevier: Amsterdam, The Netherlands, 2014; pp. 273–291. [Google Scholar]
- Takayuki, O. Deep Learning; (Machine Learning Professional Series); Kodansha: Tokyo, Japan, 2015; pp. 55–77. [Google Scholar]








| Treatments | Concentration (%) | Mass (g) | |
|---|---|---|---|
| Tailings sample 1. (water = 1 L, 19.1 cm) (ref. water = 1700 t, tailings = 5 t) | case 1-1 | 0.20 | 2.00 |
| case 1-2 | 0.29 | 2.94 | |
| case 1-3 | 0.40 | 4.00 | |
| Tailings sample 2. (water = 0.7 L, 13.5 cm) (ref. water = 1700 t, tailings = 27 t) | case 2-1 | 1.00 | 7.00 |
| case 2-2 | 1.60 | 11.12 | |
| case 2-3 | 1.87 | 13.12 | |
| Case No. | Power Function, | R2 | |
|---|---|---|---|
| 1-1 | 4.931 | −0.451 | 0.9583 |
| 1-2 | 6.206 | −0.475 | 0.9726 |
| 1-3 | 7.354 | −0.463 | 0.9739 |
| 2-1 | 5.486 | −0.473 | 0.9549 |
| 2-2 | 8.687 | −0.572 | 0.9812 |
| 2-3 | 8.429 | −0.552 | 0.9797 |
© 2020 by the authors. Licensee MDPI, Basel, Switzerland. This article is an open access article distributed under the terms and conditions of the Creative Commons Attribution (CC BY) license (http://creativecommons.org/licenses/by/4.0/).
Share and Cite
Lee, U.-J.; Hyeong, K.-S.; Cho, H.-Y. Estimation of Settling Velocity and Floc Distribution through Simple Particles Sedimentation Experiments. J. Mar. Sci. Eng. 2020, 8, 500. https://doi.org/10.3390/jmse8070500
Lee U-J, Hyeong K-S, Cho H-Y. Estimation of Settling Velocity and Floc Distribution through Simple Particles Sedimentation Experiments. Journal of Marine Science and Engineering. 2020; 8(7):500. https://doi.org/10.3390/jmse8070500
Chicago/Turabian StyleLee, Uk-Jae, Ki-Seong Hyeong, and Hong-Yeon Cho. 2020. "Estimation of Settling Velocity and Floc Distribution through Simple Particles Sedimentation Experiments" Journal of Marine Science and Engineering 8, no. 7: 500. https://doi.org/10.3390/jmse8070500
APA StyleLee, U.-J., Hyeong, K.-S., & Cho, H.-Y. (2020). Estimation of Settling Velocity and Floc Distribution through Simple Particles Sedimentation Experiments. Journal of Marine Science and Engineering, 8(7), 500. https://doi.org/10.3390/jmse8070500

