Bulk Wave Dissipation in the Armor Layer of Slope Rock and Cube Armored Breakwaters
Abstract
:1. Introduction
2. Problem Formulation
3. Experimental Methodology
3.1. Experimental Setup
- Water depth was kept constant and equal to m.
- Wave-breaking was only caused by wave–breakwater interaction and the experiments were under non-overtopping and non-damage conditions.
- The AwaSys software package [42] was used to generate waves with the simultaneously active absorption of reflected waves.
- Irregular waves were generated with a Jonswap spectrum defined by a spectral wave height, , a peak wave period, , and the peak enhancement factor of 3.3.
- Each test was performed with runs of 1000 waves by two methods: (a) keeping constant the wave period (IISTA-UGR); and (b) keeping constant the steepness, , being , the peak wave length (AAU). In both laboratories, tests were carried out increasing the wave height by steps of 0.02 m.
- Six resistance wave gauges (G1 to G6) were located along the wave flume of IISTA-UGR and were used to measure the free surface elevations with a sampling frequency of 20 Hz. At AAU, six resistance type wave gauges were placed near the structure to separate incident and reflected waves and one wave gauge was set at the toe of the breakwater.
- At IISTA-UGR, the incident and reflected wave train were separated by Baquerizo [43]’s method, and the reflection and transmission coefficients (, , ) were calculated with the data measured by gauges G1, G2 and G3. Transmission coefficient () was computed directly from gauge G6. At AAU, the method of Eldrup and Andersen [44] was applied to calculate the incident and reflected wave spectrum. The SIRW method of Frigaard and Brirsen [45] was used to calculate the time domain incident and reflected wave trains. All analyses of wave signal were performed with the Wave-Lab3 software package [46].
3.2. The Log-Experimental Space Based on Dimensional Analysis
4. Results
4.1. Observed Wave Breaker Type and the Non-Dimensional Parameter
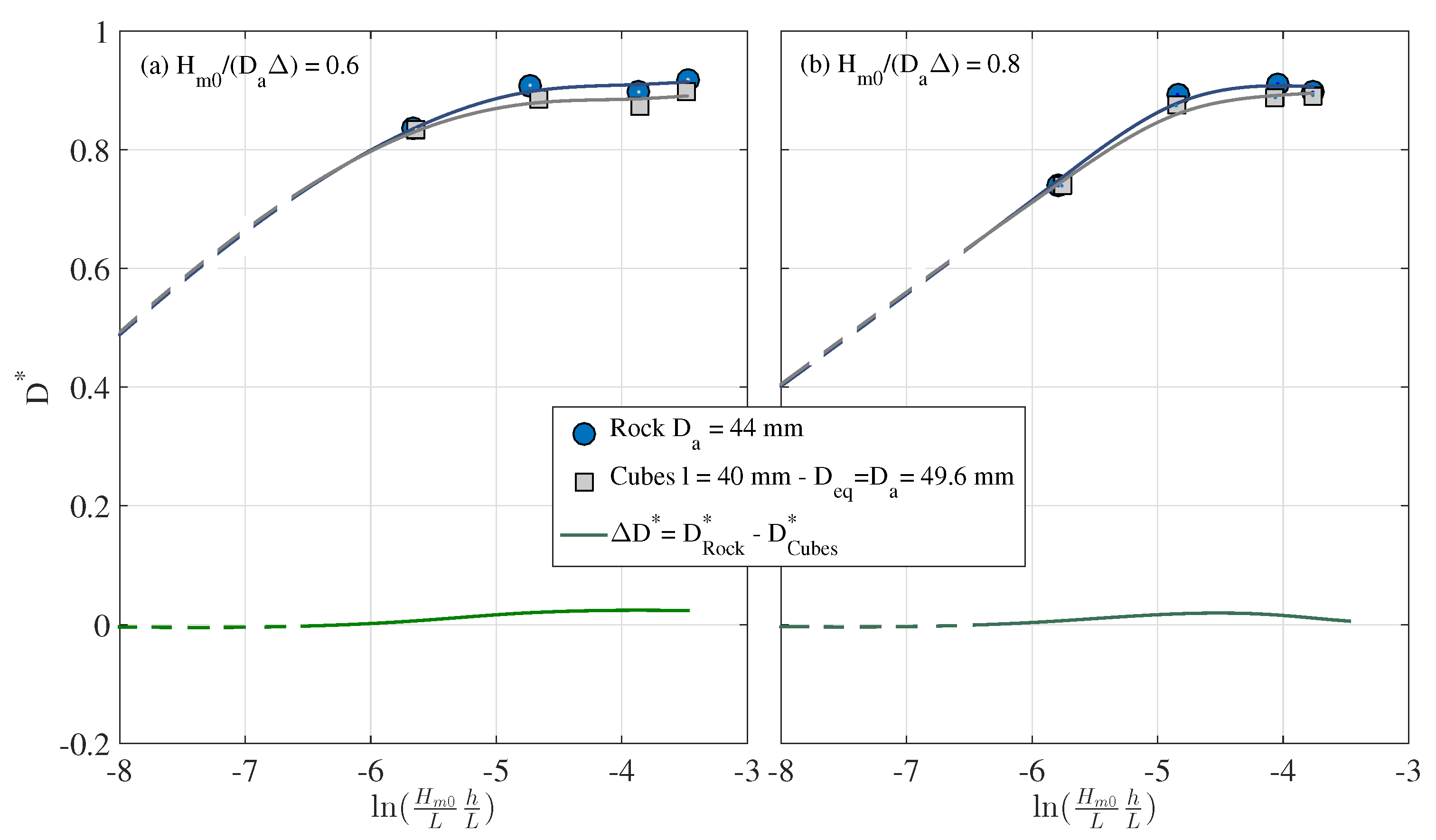
4.2. Dependence of the Bulk Dissipation on the Armor Unit
4.3. Comparative Bulk Dissipation between Different Sizes and Isolines and
5. Discussion
5.1. Assimilation of Data from Different Laboratories
5.2. The Dependence on the Core: Characteristic Width and Grain Size
5.3. Bulk Dissipation and Armor Stability
5.4. Dissipation in the Main Layer and the Notional Permeability P
6. Conclusions
- The bulk dissipation depends on the turbulent regime generated in the main armor layer, which in turn depends on , the relative size of the armor unit, , the relative thickness, , the shape and specific placement criterion, the characteristics of the porous core, , , and the slope angle of the breakwater.
- The dissipation of the incident energy in the main armor layer with different sizes of cubes is relevant at specific intervals of , related to the transition region and the breaker type, from weak bore to strong plunging. The difference is negligible in the reflective and dissipative regions.
- The dissipation of the incident wave train in the armor layer composed of rocks and in the armor layer with cubes have, in practice, the same bulk dissipation over the entire range of .
- For a given breakwater, that is, the slope angle, and are constant, and if the armor layer is built with the same thickness and placement criterion, the dimensional analysis provides a functional relationship between the number of stability of the armor unit and the bulk dissipation in the armor layer.
- For the experimental tests performed in the wave flume of IISTA, University of Granada, the experimental spaces are organized around lines parallel to the x-axis based on a constant value. The constant lines determine an evolution of the breaker type in the sense of surging to weak plunging. Lower values of offer a higher probability to observe all the breaker types.
- The experimental technique of Aalborg University of keeping the Iribarren number constant is represented in the experimental space by trajectories parallel to the y-axis, that is, . In addition, the physical limitations of the generation system and its control, make it difficult to comply with the constant Iribarren number requirement, so it cannot be assured that the experimentation collects all breaker types.
Author Contributions
Funding
Acknowledgments
Conflicts of Interest
List of Symbols
| Porous area per unit section under the mean water level | |
| B | Width of the caisson |
| Width of the top of the mound breakwater | |
| Characteristic width of the breakwater | |
| Linear theory wave group speed | |
| Source process of wave energy dissipation ( = 1, 2, 3) | |
| Diameter of the main armor layer | |
| Equivalent diameter of the main armor layer | |
| Filter diameter | |
| Granular core diameter | |
| Mean bulk dissipation | |
| Mean dissipation rate | |
| e | Thickness of the armor layer |
| Wave energy per unit surface | |
| Freeboard | |
| Mean energy flow | |
| Porous medium height | |
| g | Gravity acceleration |
| h | Water depth |
| Caisson foundation depth | |
| Wave height | |
| Spectral incident wave height | |
| Number of Iribarren | |
| Number of Modified Iribarren | |
| Subset of independent quantities constant in a test | |
| Subset of independent quantities | |
| Reflected energy coefficient | |
| Transmitted energy coefficient | |
| l | Size of the cubes of the armor layer (also known as Nominal Diameter ) |
| L | Wavelength related to |
| Peak wavelength | |
| Zero-order momentum | |
| n | Number of independent quantities |
| Number of independent quantities constant in a test | |
| Real number | |
| Core porosity | |
| Stability number | |
| P | Notional permeability |
| Overflow rate | |
| Run-down | |
| Run-up | |
| Armor Reynolds number | |
| Wave steepness related to | |
| Peak wave period | |
| Mean wave period | |
| x | Horizontal axes - origin of coordinates at the breakwater toe |
| z | Vertical axis - origin of coordinates at S.W.L. |
| Seaward slope angle | |
| Landward slope angle | |
| Relative density | |
| Water viscosity | |
| Kinematic water viscosity | |
| Similarity function | |
| Water density | |
| Soil density | |
| Armor piece density | |
| Core density | |
| Incident angle | |
| Subscripts | |
| I, R, T | Incident, reflected and transmitted, respectively |
| Theoretical wave parameters generated | |
| Wave-breaking |
Appendix A. Dimensional Analysis
References
- ROM 0.0-01. ROM 0.0. General Procedure and Requirements in the Design of Harbor and Maritime Structures; Puertos del Estado: Madrid, Spain, 2001; p. 218. [Google Scholar]
- ROM 1.1-18. ROM 1.1. Recommendations for Breakwater Construction Projects; Puertos del Estado: Madrid, Spain, 2018. [Google Scholar]
- Losada, M.; Díaz-Carrasco, P.; Moragues, M.; Clavero, M. Variabilidad intrínseca en el comportamiento de los diques rompeolas. In Proceedings of the 15th National Conference of Jornadas Españolas de Puertos y Costas, Torremolinos, Spain, 8–9 May 2019. [Google Scholar]
- Christensen, E.; Deigaard, R. Large eddy simulation of breaking waves. Coast. Eng. 2001, 42, 53–86. [Google Scholar]
- Lara, J.; Losada, I.; Liu, P. Breaking waves over a mild gravel slope: Experimental and numerical analysis. J. Geophys. Res. Atmos. 2006, 11, C11019. [Google Scholar]
- Zhang, Q.; Liu, P. A numerical study of bore runup a slope. Adv. Eng. Mech. Reflect. Outlooks 2006, 265–285. [Google Scholar] [CrossRef]
- Madsen, P.; Fuhrman, D. Run-up of tsunamis and long waves in terms of surf-similarity. Coast. Eng. 2008, 55, 209–223. [Google Scholar]
- Gíslason, K.; Fredsoe, J.; Deigaard, R.; Sumer, B. Flow under standing waves: Part 1. Shear stress distribution, energy flux and steady streaming. Coast. Eng. 2009, 56, 341–362. [Google Scholar]
- Lakehal, D.; Liovic, P. Turbulence structure and interaction with steep breaking waves. J. Fluid Mech. 2011, 674, 522–577. [Google Scholar]
- Sollitt, C.; Cross, R. Wave transmission through permeable breakwaters. In Proceedings of the 13th International Conference on Coastal Engineering, Vancouver, BC, Canada, 10–14 July 1972; Volume 3, pp. 1827–1846. [Google Scholar]
- Dalrymple, R.; Losada, M.; Martin, P. Reflection and transmission from porous structures under oblique wave attack. J. Fluid Mech. 1991, 224, 625–644. [Google Scholar]
- Van Gent, M. Wave Interaction with Permeable Coastal Structures. Ph.D. Thesis, Delft University, Delft, The Netherlands, 1995. [Google Scholar]
- Pérez-Romero, D.; Ortega-Sánchez, M.; Moñino, A.; Losada, M. Characteristic friction coefficent and scale effects in oscillatory flow. Coast. Eng. 2009, 56, 931–939. [Google Scholar]
- Vílchez, M.; Clavero, M.; Lara, J.; Losada, M. A characteristic friction diagram for the numerical quantification of the hydraulic performance of different breakwater types. Coast. Eng. 2016, 114, 86–98. [Google Scholar]
- Kobayashi, N.; Wurjanto, A. Irregular Wave Interaction with Permeable Slopes. In Proceedings of the 23rd International Conference of Coastal Engineering, ASCE, 118, Venice, Italy, 4–9 October 1992; pp. 368–386. [Google Scholar]
- Lara, J.; Losada, I.; Guanche, R. Wave interaction with low-mound breakwaters using a RANS model. Ocean Eng. 2008, 35, 1388–1400. [Google Scholar]
- Van Gent, M. Rock stability of rubble mound breakwaters with a berm. Coast. Eng. 2013, 78, 35–45. [Google Scholar]
- Ruju, A.; Lara, J.; Losada, I. Numerical analysis of run-up oscillations under dissipative conditions. Coast. Eng. 2014, 86, 45–56. [Google Scholar]
- Jensen, B.; Christensen, E.; Sumer, B. Pressure-induced forces and shear stresses on rubble mound breakwater armour layers in regular waves. Coast. Eng. 2014, 91, 60–75. [Google Scholar]
- Jensen, B.; Jacobsen, N.; Christensen, E. Investigations on the porous media equations and resistance coefficients for coastal structures. Coast. Eng. 2014, 84, 56–72. [Google Scholar]
- Vanneste, D.; Troch, P. 2D numerical simulation of large-scale physical model tests of wave interaction with a rubble-mound breakwater. Coast. Eng. 2015, 103, 22–41. [Google Scholar]
- Scarcella, D.; Benedicto, M.; Moñino, A.; Losada, M. Scale effects in rubble mound breakwaters considering wave energy balance. In Proceedings of the 30th Coastal Engineering Conference, San Diego, CA, USA, 3–8 September 2006; pp. 4410–4416. [Google Scholar]
- Zanuttigh, B.; Van der Meer, J. Wave reflection from coastal structures in design conditions. Coast. Eng. 2008, 55, 771–779. [Google Scholar]
- Vílchez, M.; Clavero, M.; Losada, M. Hydraulic performance of different non-overtopped breakwater types under 2D wave attack. Coast. Eng. 2016, 107, 34–52. [Google Scholar]
- Moragues, M.; Clavero, M.; Losada, M. Flow characteristics on impermeable and permeable slopes: A synthesis for design. Coast. Eng. 2019. submitted. [Google Scholar]
- Iribarren, C.; Nogales, C. Protection des Ports. Presented at the 17th International Navigation Congress, Permanent Int., S. II-C.4, Lisbon, Portugal, 1 January 1949. [Google Scholar]
- Iversen, H. Gravity Waves. Laboratory study of breakers. In Circular of the Bureau of Standards; National Bureau of Standards: Gaithersburg, MD, USA, 1952; Volume 521, pp. 9–32. [Google Scholar]
- Cyril, J.; Galvin, J. Break type classification on the three laboratory beaches. J. Geophys. Res. 1968, 73, 13651–13659. [Google Scholar]
- Battjes, J. Surf Similarity. In Proceedings of the 14th International Conference on Coastal Engineering, Copenhagen, Denmark, 24–28 June 1974; pp. 466–480. [Google Scholar]
- Van der Meer, J.W. Rock Slope and gravel Beaches Under Wave Attack. Ph.D. Thesis, Delft University, Delft, The Netherlands, 1988. [Google Scholar]
- Van der Meer, J.; Van Gent, M.; Wolters, G.; Heineke, D. New Design Guidance for Underlayers and Filter Layers for Rock Armour under Wave Attack; ICE Publishing: London, UK, 2018. [Google Scholar]
- Eldrup, M.; Andersen, T.; Burcharth, H. Stability of rubble mound breakwaters-A study of the notional permeability factor, based on physical model tests. Water (Switzerland) 2019, 11, 934. [Google Scholar]
- PIANC-196. Criteria for the Selection of Breakwater Types and Their Related Optimum Safety Lavels; The Worls Association for Waterborne Transport Infraestructure: Brussels, Belgium, 2016. [Google Scholar]
- Clavero, M.; Folgueras, P.; Díaz-Carrasco, P.; Ortega-Sánchez, M.; Losada, M. A similarity parameter for breakwaters: The modified Iribarren number. In Proceedings of the 36th International Conference on Coastal Engineering, Baltimore, MD, USA, 30 July–3 August 2018. [Google Scholar]
- Bruun, P.; Günbak, A. Stability of sloping structures in relation to ξ = tanα/ risk criteria in design. Coast. Eng. 1977, 1, 287–322. [Google Scholar]
- Losada, M.; Giménez-Curto, L.A. The joint effect of the wave height and period on the stability number of rubble mound breakwaters using Iribarren’s number. Coast. Eng. 1979, 3, 77–96. [Google Scholar]
- Díaz-Carrasco, P.; Moragues, M.; Clavero, M.; Losada, M. 2D Water-wave interaction with permeable and impermeable slopes: Dimensional analysis and experimental overview. Coast. Eng. 2020. accepted. [Google Scholar]
- Ting, F.; Kirby, J. Dynamics of surf-zone turbulence in a spilling breaker. Coast. Eng. 1996, 27, 131–160. [Google Scholar]
- Sonin, A. The Physical Basis of Dimensional Analysis, 2nd ed.; Department of Mechanical Engineering, MIT, Cambridge: Cambridge, MA, USA, 2001. [Google Scholar]
- Díaz-Carrasco, P.; Eldrup, M.; Andersen, T. Wave-Breakwater Interaction: Test Program in the Flume of Aalborg University; Technical documentation; Department of Civil Engineering, Aalborg University: Aalborg, Denmark, 2019. [Google Scholar]
- CIRIA; CUR; CETMEF. The Rock Manual: The Use of Rock in Hydraulic Engineering; CIRIA: London, UK, 2007; p. C683. [Google Scholar]
- Aalborg University. AwaSys—Software for Wave Laboratories; Aalborg University: Aalborg, Denmark, 2018. [Google Scholar]
- Baquerizo, A. Reflexión del Oleaje en Playas. Métodos de Evaluación y de Predicción. Ph.D. Thesis, University of Cantabria, Cantabria, Spain, 1995. [Google Scholar]
- Eldrup, M.; Andersen, T. Estimation of incident and reflected wave trains in highly nonlinear tho dimensional irregular waves. J. Waterw. Port Coast. Ocean Eng. 2019, 145, 04018038. [Google Scholar]
- Frigaard, P.; Brirsen, M. A time-domain method for separating incident and reflected waves. Coast. Eng. 1995, 24, 205–215. [Google Scholar]
- Frigaard, P.; Andersen, T.L. Analysis of Waves: Technical Documentation for WaveLab 3; DCE Lecture notes, No. 33; Aalborg University: Aalborg, Denmark, October 2014; Available online: https://vbn.aau.dk/en/publications/ (accessed on 26 February 2020).
- Churchill, S.; Usagi, R. A general expression for the correlation of rates of transfer and other phenomena. AICHE J. 1972, 18, 1121–1128. [Google Scholar]
- Dixen, M.; Hatipoglu, F.; Sumer, B.; Fredsoe, J. Wave boundary layer over a stone-covered bed. Coast. Eng. 2008, 55, 1–20. [Google Scholar]
- Dai, Y.; Kamer, A. Scale Effect Tests for Rubble Mound Breakwaters; Research Report H-69-2; U.S. Army Engineer Waterway Experiment Station, Corps of Engineers: Vicksburg, MI, USA, 1969. [Google Scholar]
- Van der Neut, E. Analysis of the Notional Permeability of Rubble Mound Breakwaters by Means of a VOF Model. Ph.D. Thesis, Delft University, Delft, The Netherlands, 2015. [Google Scholar]
- Kortenhaus, A.; Oumeraci, H. Classification of wave loading on monolithic coastal structures. Coast. Eng. 1998, 26, 867–880. [Google Scholar]









| (A) Breakwater model of IISTA-UGR | |||||||||||
| Armor unit cubes size (mm) | (mm) | (m) | (t/m) | (m) | (m) | B (m) | (m) | (mm) | (t/m) | ||
| l = 25 mm | 31. 0 | 0.25 | 2.07 | 0.25 | 0.10 | 1.5 | 0.5 | 0.55 | 12 | 2.83 | 0.391 |
| l = 33 mm | 40.9 | 2.18 | |||||||||
| l = 38 mm | 47.1 | 2.2 | |||||||||
| l = 44 mm | 54.6 | 2.21 | |||||||||
| l = 65 mm | 80.6 | 2.27 | |||||||||
| (B) Breakwater model of Aalborg University | |||||||||||
| Armor unit | (mm) | (m) | (t/m) | Filter (mm) | (m) | (mm) | (t/m) | ||||
| Cubes l = 40 mm | 49.6 | 2.30 | 15 | 1.5 | 1.5 | 0.55 | 5.8 | 2.80 | 0.37 | ||
| Rocks | 44 0 | 2.62 | 15 | 1.5 | 1.5 | 0.55 | 5.8 | 2.80 | 0.37 | ||
| (A) Wave conditions of IISTA-UGR | ||
| Armor unit cubes size (mm) | (s) | (m) |
| l = 25 mm | [1.05–3] | [0.04–0.08] |
| l = 33 mm | [1.05–3] | [0.04–0.10] |
| l = 38 mm | [1.05–3] | [0.04–0.10] |
| l = 44 mm | [1.05–3] | [0.04–0.10] |
| l = 65 mm | [1.05–3] | [0.04–0.12] |
| (B) Wave conditions of Aalborg University | ||
| Armor unit | (m) | |
| 0.01 | [0.04–0.12] | |
| Cubes | 0.02 | [0.04–0.12] |
| and | 0.035 | [0.04–0.10] |
| rocks | 0.045 | [0.04–0.08] |
© 2020 by the authors. Licensee MDPI, Basel, Switzerland. This article is an open access article distributed under the terms and conditions of the Creative Commons Attribution (CC BY) license (http://creativecommons.org/licenses/by/4.0/).
Share and Cite
Clavero, M.; Díaz-Carrasco, P.; Losada, M.Á. Bulk Wave Dissipation in the Armor Layer of Slope Rock and Cube Armored Breakwaters. J. Mar. Sci. Eng. 2020, 8, 152. https://doi.org/10.3390/jmse8030152
Clavero M, Díaz-Carrasco P, Losada MÁ. Bulk Wave Dissipation in the Armor Layer of Slope Rock and Cube Armored Breakwaters. Journal of Marine Science and Engineering. 2020; 8(3):152. https://doi.org/10.3390/jmse8030152
Chicago/Turabian StyleClavero, María, Pilar Díaz-Carrasco, and Miguel Á. Losada. 2020. "Bulk Wave Dissipation in the Armor Layer of Slope Rock and Cube Armored Breakwaters" Journal of Marine Science and Engineering 8, no. 3: 152. https://doi.org/10.3390/jmse8030152
APA StyleClavero, M., Díaz-Carrasco, P., & Losada, M. Á. (2020). Bulk Wave Dissipation in the Armor Layer of Slope Rock and Cube Armored Breakwaters. Journal of Marine Science and Engineering, 8(3), 152. https://doi.org/10.3390/jmse8030152

