Effects of Oceanic Turbulence on Orbital Angular Momenta of Optical Communications
Abstract
1. Introduction
2. Laguerre-Gaussian Beams Propagating through Turbulent Ocean
2.1. Single-Photon Communication Case
2.2. Biphoton Communication Case
3. Results and Discussions
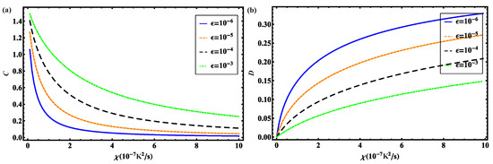
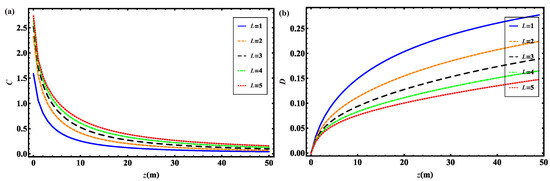
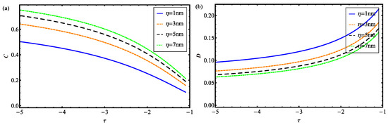
3.1. Channel Capacity and Trace Distance in Single-Photon Communication
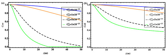
3.2. Quantum Entanglement and Quantum Coherence in Biphoton Communication
4. Conclusions
Author Contributions
Funding
Acknowledgments
Conflicts of Interest
References
- Molina-Terriza, G.; Torres, J.P.; Torner, L. Twisted photons. Nat. Phys. 2007, 3, 305–310. [Google Scholar] [CrossRef]
- Willner, A.E.; Huang, H.; Yan, Y.; Ren, Y.; Ahmed, N.; Xie, G.; Bao, C.; Li, L.; Cao, Y.; Zhao, Z.; et al. Optical communications using orbital angular momentum beams. Adv. Opt. Photonics 2015, 7, 66–106. [Google Scholar] [CrossRef]
- Gibson, G.; Courtial, J.; Padgett, M.J.; Vasnetsov, M.; Pas’ko, V.; Barnett, S.M.; Franke-Arnold, S. Free-space information transfer using light beams carrying orbital angular momentum. Opt. Express 2004, 12, 5448–5456. [Google Scholar] [CrossRef] [PubMed]
- Wang, J.; Yang, J.; Fazal, I.M.; Ahmed, N.; Yan, Y.; Huang, H.; Ren, Y.; Yue, Y.; Dolinar, S.; Tur, M.; et al. Terabit free-space data transmission employing orbital angular momentum multiplexing. Nat. Photonics 2012, 6, 488–496. [Google Scholar] [CrossRef]
- Paterson, C. Atmospheric turbulence and orbital angular momentum of single photons for optical communication. Phys. Rev. Lett. 2005, 94, 153901. [Google Scholar] [CrossRef]
- Cheng, M.; Guo, L.; Li, J.; Huang, Q. Propagation properties of an optical vortex carried by a Bessel-Gaussian beam in anisotropic turbulence. J. Opt. Soc. Am. A 2016, 33, 1442–1450. [Google Scholar] [CrossRef]
- Yu, L.; Zhang, Y. Analysis of modal crosstalk for communication in turbulent ocean using Lommel-Gaussian beam. Opt. Express 2017, 25, 22565–22574. [Google Scholar] [CrossRef]
- Kaushal, H.; Kaddoum, G. Underwater optical wireless communication. IEEE Access 2016, 4, 1518–1547. [Google Scholar] [CrossRef]
- Zeng, Z.; Fu, S.; Zhang, H.; Dong, Y.; Cheng, J. A survey of underwater optical wireless communications. IEEE Commun. Surv. Tutor. 2016, 19, 204–238. [Google Scholar] [CrossRef]
- Spagnolo, G.S.; Cozzella, L.; Leccese, F. Underwater Optical Wireless Communications: Overview. Sensors 2020, 20, 2261. [Google Scholar] [CrossRef]
- Hu, Z.; Liu, H.; Xia, J.; He, A.; Li, H.; Du, Z.; Chen, T.; Li, Z.; Lu, Y. Research on propagation characteristics of the perfect vortex beam in anisotropic oceanic turbulence. Appl. Opt. to be published.
- Pan, S.; Wang, L.; Wang, W.; Zhao, S. An effective way for simulating oceanic turbulence channel on the beam carrying orbital angular momentum. Sci. Rep. 2019, 9, 14009. [Google Scholar] [CrossRef] [PubMed]
- Zheng, Y.; Yang, D.; Qin, S.; Zhang, Y. Received probability of orbital-angular-momentum modes carried by diffraction-and attenuation-resistant beams in weak turbulent oceans. J. Mar. Sci. Eng. 2020, 8, 701. [Google Scholar] [CrossRef]
- Thorpe, S.A. The Turbulent Ocean; Cambridge University Press: New York, NY, USA, 2005. [Google Scholar]
- Cheng, M.; Guo, L.; Li, J.; Huang, Q.; Cheng, Q.; Zhang, D. Propagation of an optical vortex carried by a partially coherent Laguerre-Gaussian beam in turbulent ocean. Appl. Opt. 2016, 55, 4642–4648. [Google Scholar] [CrossRef] [PubMed]
- Baghdady, J.; Miller, K.; Morgan, K.; Byrd, M.; Osler, S.; Ragusa, R.; Li, W.; Cochenour, B.M.; Johnson, E.G. Multi-gigabit/s underwater optical communication link using orbital angular momentum multiplexing. Opt. Express 2016, 24, 9794–9805. [Google Scholar] [CrossRef] [PubMed]
- Li, Y.; Yu, L.; Zhang, Y. Influence of anisotropic turbulence on the orbital angular momentum modes of Hermite-Gaussian vortex beam in the ocean. Opt. Express 2017, 25, 12203–12215. [Google Scholar] [CrossRef]
- Li, Y.; Cui, Z.; Han, Y.; Hui, Y. Channel capacity of orbital-angular-momentum-based wireless communication systems with partially coherent elegant Laguerre-Gaussian beams in oceanic turbulence. J. Opt. Soc. Am. A 2019, 36, 471–477. [Google Scholar] [CrossRef]
- Horodecki, R.; Horodecki, P.; Horodecki, M.; Horodecki, K. Quantum entanglement. Rev. Mod. Phys. 2009, 81, 865–942. [Google Scholar] [CrossRef]
- Leonhard, N.D.; Shatokhin, V.N.; Buchleitner, A. Universal entanglement decay of photonic-orbital- angular-momentum qubit states in atmospheric turbulence. Phys. Rev. A 2015, 91, 012345. [Google Scholar] [CrossRef]
- Wootters, W.K. Entanglement of formation of an arbitrary state of two qubits. Phys. Rev. Lett. 1998, 80, 2245–2248. [Google Scholar] [CrossRef]
- Streltsov, A.; Adesso, G.; Plenio, M.B. Colloquium: Quantum coherence as a resource. Rev. Mod. Phys. 2017, 89, 041003. [Google Scholar] [CrossRef]
- Allen, L.; Beijersbergen, M.W.; Spreeuw, R.J.C.; Woerdman, J.P. Orbital angular momentum of light and the transformation of Laguerre-Gaussian laser modes. Phys. Rev. A 1992, 45, 8185–8189. [Google Scholar] [CrossRef] [PubMed]
- Farwell, N.; Korotkova, O. Intensity and coherence properties of light in oceanic turbulence. Opt. Commun. 2012, 285, 872–875. [Google Scholar] [CrossRef]
- Xu, J.; Zhao, D. Propagation of a stochastic electromagnetic vortex beam in the oceanic turbulence. Opt. Laser Technol. 2014, 57, 189–193. [Google Scholar] [CrossRef]
- Du, X.; Zhao, D.; Korotkova, O. Changes in the statistical properties of stochastic anisotropic electromagnetic beams on propagation in the turbulent atmosphere. Opt. Exp. 2007, 15, 16909–16915. [Google Scholar] [CrossRef] [PubMed]
- Andrews, L.C.; Phillips, R.L. Laser Beam Propagation through Random Media, 2nd ed.; SPIE Press: Bellingham, WA, USA, 2005. [Google Scholar]
- Xu, H.; Cui, Z.; Qu, J. Propagation of elegant Laguerre-Gaussian beam in non-Kolmogorov turbulence. Opt. Express 2011, 19, 21163–21173. [Google Scholar] [CrossRef] [PubMed]
- Nikishov, V.V.; Nikishov, V.I. Spectrum of turbulence fluctuations of the sea-water refraction index. Int. J. Fluid Mech. Res. 2000, 27, 82–98. [Google Scholar] [CrossRef]
- Gopaul, C.; Andrews, R. The effect of atmospheric turbulence on entangled orbital angular momentum states. New J. Phys. 2007, 9, 94. [Google Scholar] [CrossRef]
- Yan, X.; Zhang, P.F.; Zhang, J.H.; Chun, H.Q.; Fan, C.Y. Decoherence of orbital angular momentum tangled photons in non-Kolmogorov turbulence. J. Opt. Soc. Am. A 2016, 33, 1831–1835. [Google Scholar] [CrossRef]
- Alonso, J.R.G.; Brun, T.A. Protecting orbital-angular-momentum photons from decoherence in a turbulent atmosphere. Phys. Rev. A 2013, 88, 022326. [Google Scholar] [CrossRef]
- Shannon, C.E. A mathematical theory of communication. Bell Syst. Tech. J. 1984, 27, 379–423. [Google Scholar] [CrossRef]
- Leach, J.; Padgett, M.J.; Barnett, S.M.; Franke-Arnold, S.; Courtial, J. Measuring the orbital angular momentum of a single photon. Phys. Rev. Lett. 2002, 88, 257901. [Google Scholar] [CrossRef] [PubMed]
- Nielsen, M.A.; Chuang, I. Quantum Computation and Quantum Information, 10th Anniverary ed.; Cambrage University Press: New York, NY, USA, 2010. [Google Scholar]
- Gilchrist, A.; Langford, N.K.; Nielsen, M.A. Distance measures to compare real and ideal quantum processes. Phys. Rev. A 2005, 71, 62310. [Google Scholar] [CrossRef]
- Toselli, I.; Agrawal, B.; Restaino, S. Light propagation through anisotropic turbulence. J. Opt. Soc. Am. A 2011, 28, 483–488. [Google Scholar] [CrossRef]
- Yu, T.; Eberly, J.H. Sudden death of entanglement. Science 2009, 323, 598–601. [Google Scholar] [CrossRef] [PubMed]
- Glauber, R.J. Coherent and incoherent states of the radiation field. Phys. Rev. 1963, 131, 2766–2788. [Google Scholar] [CrossRef]
- Engel, G.S.; Calhoun, T.R.; Read, E.L.; Ahn, T.K.; Mančal, T.; Cheng, Y.C.; Blakenship, R.E.; Fleming, G.R. Evidence for wavelike energy transfer through quantum coherence in photosynthetic systems. Nature (London) 2007, 446, 782–786. [Google Scholar] [CrossRef]
- Baumgratz, T.; Cramer, M.; Plenio, M.B. Quantifying coherence. Phys. Rev. Lett. 2014, 113, 140401. [Google Scholar] [CrossRef]










Publisher’s Note: MDPI stays neutral with regard to jurisdictional claims in published maps and institutional affiliations. |
© 2020 by the authors. Licensee MDPI, Basel, Switzerland. This article is an open access article distributed under the terms and conditions of the Creative Commons Attribution (CC BY) license (http://creativecommons.org/licenses/by/4.0/).
Share and Cite
Zhai, S.; Zhu, Y.; Zhang, Y.; Hu, Z. Effects of Oceanic Turbulence on Orbital Angular Momenta of Optical Communications. J. Mar. Sci. Eng. 2020, 8, 869. https://doi.org/10.3390/jmse8110869
Zhai S, Zhu Y, Zhang Y, Hu Z. Effects of Oceanic Turbulence on Orbital Angular Momenta of Optical Communications. Journal of Marine Science and Engineering. 2020; 8(11):869. https://doi.org/10.3390/jmse8110869
Chicago/Turabian StyleZhai, Shuang, Yun Zhu, Yixin Zhang, and Zhengda Hu. 2020. "Effects of Oceanic Turbulence on Orbital Angular Momenta of Optical Communications" Journal of Marine Science and Engineering 8, no. 11: 869. https://doi.org/10.3390/jmse8110869
APA StyleZhai, S., Zhu, Y., Zhang, Y., & Hu, Z. (2020). Effects of Oceanic Turbulence on Orbital Angular Momenta of Optical Communications. Journal of Marine Science and Engineering, 8(11), 869. https://doi.org/10.3390/jmse8110869
