A Novel Sediment Pressure Sampling Device Carried by a Hadal-Rated Lander
Abstract
1. Introduction
2. Design of Sampling Device
2.1. The Overall Structure
2.2. Working Principle
3. Simulation on Sampling Process
3.1. Mesh Test
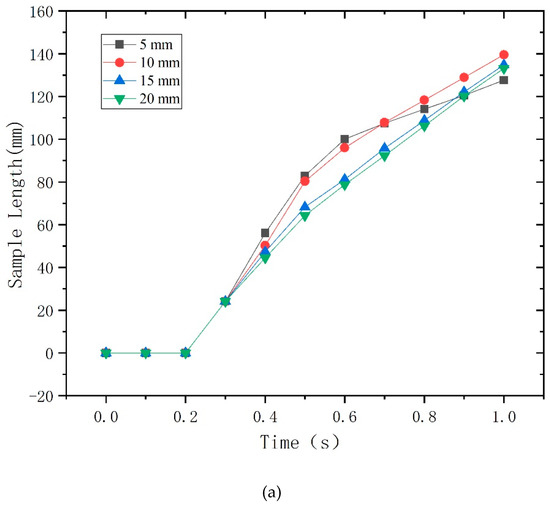
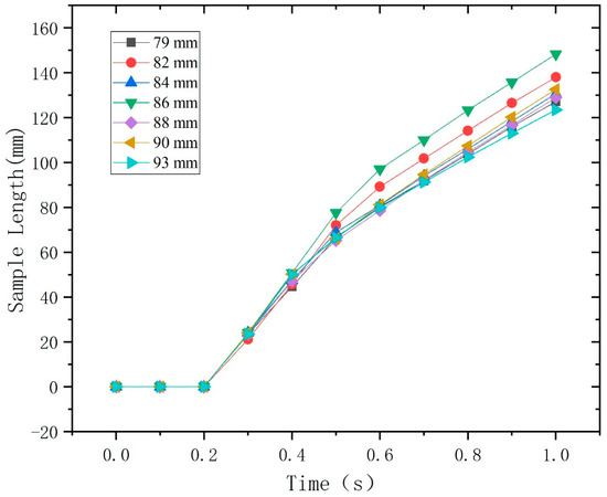
3.2. Effect of the Installation Position of Core Keepers
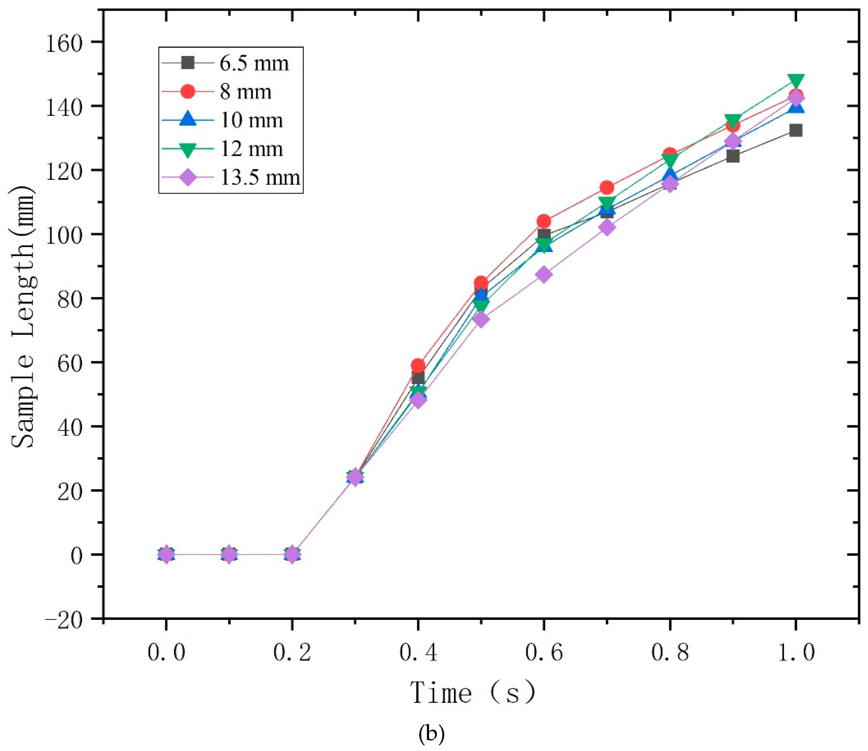
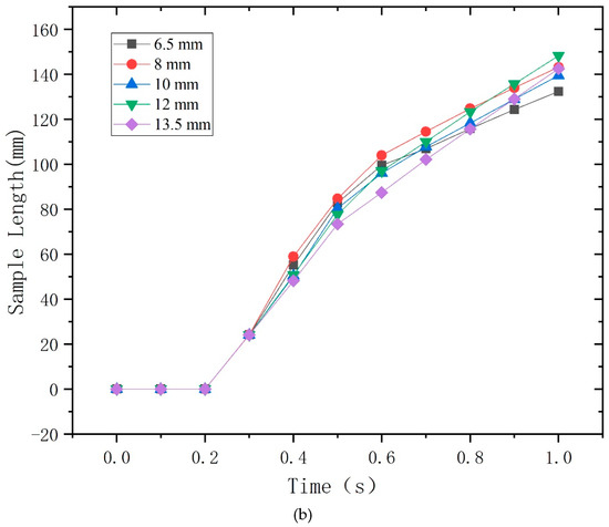
3.3. Effect of the Open Diameter of Core Keepers
4. Experiment
5. Conclusions
- (1)
- A new pressure sampling device for sediments
- (2)
- The installation position of the core keepers
- (3)
- The open diameter of the core keepers
Author Contributions
Funding
Acknowledgments
Conflicts of Interest
References
- Yen, T.; Bu, J.; Li, S. Brief Study on the International Present Condition and Develop Tendency of the Technology of Sea Floor Sample Drilling. Geol. Sci. Technol. Inf. 2000, 19, 67–70. [Google Scholar]
- Li, F. Research on Undisturbed Pressure Sampling Technology of Deep-Sea Sediments; Zhejiang University: Hangzhou, China, 2008. [Google Scholar]
- Qin, H.; Chen, J.; Wang, J.; Kennedy, R.T.; German, I.; Thompson, J.E.; Witowjki, S.R. Design and experimental research of hydrostatic pressure-driven sampler. China Mech. Eng. 2013, 24, 942–945. [Google Scholar]
- Li, Y. Research on the Key Technology of Deep-Sea Sediment Sampler and Ball Valve; Zhejiang University: Hangzhou, China, 2016. [Google Scholar]
- Kvenvolden, K.A.; Barnard, L.A.; Cameron, D.H. Pressure Core Barrel: Application to the Study of Gas Hydrates, Deep Sea Drilling Project Site 533, Leg 76; Initial Reports DSDP: Washington, DC, USA, 1982; pp. 367–375. [Google Scholar]
- Dickens, G.R.; Paull, C.R.; Wallace, P. Direct measurement of in situ methane quantities in a large gas-hydrate reservoir. Nature 1997, 385, 426–428. [Google Scholar] [CrossRef]
- Storms, M.A. Ocean Drilling Program (ODP) deep sea coring techniques. Mar. Geophys. Res. 1990, 12, 109–130. [Google Scholar] [CrossRef]
- Schultheiss, P.J.; Francis, T.J.G.; Holland, M.; Roberts, J.A.; Amann, H.; Thjunjoto; Parkes, R.J.; Martin, D.; Rothfuss, M.; Tyunder, F.; et al. Pressure coring, logging and subsampling with the HYACINTH system. Geol. Soc. Lond. Spec. Publ. 2006, 267, 151–163. [Google Scholar] [CrossRef]
- Kawasaki, M.; Umezu, S.; Yasuda, M. Pressure Temperature Core Sampler (PTCS). J. Jpn. Assoc. Pet. Technol. 2006, 71, 139–147. [Google Scholar] [CrossRef]
- Inada, N.; Yamamoto, K. Data report: Hybrid Pressure Coring System tool review and summary of recovery result from gas-hydrate related coring in the Nankai Project. Mar. Pet. Geol. 2015, 66, 323–345. [Google Scholar] [CrossRef]
- Kubo, Y.; Mizuguchi, Y.; Inagaki, F.; Yamamoto, K.; Schultheiss, P.; Grigar, K.; Miller, J. A new hybrid pressure-coring system for the drilling vessel Chikyu. In Proceedings of the Integrated Ocean Drilling Program; EBSCO: Birmingham, AL, USA, 2014; Volume 17. [Google Scholar]
- Abegg, F.; Hohnberg, H.J.; Pape, T.; Bohrmann, G.; Freitag, J. Development and application of pressure-core-sampling systems for the investigation of gas- and gas-hydrate-bearing sediments. Deep Sea Res. Part I Oceanogr. Res. Pap. 2008, 55, 1590–1599. [Google Scholar] [CrossRef]
- Santamarina, J.C.; Dai, S.; Jang, J.; Terzariol, M. Pressure Core Characterization Tools for Hydrate-Bearing Sediments. Sci. Drill. 2012, 16, 44–48. [Google Scholar] [CrossRef]
- Chen, J.W.; Fan, W.; Bingham, B.; Chen, Y.; Gu, L.-Y.; Li, S.-L. A Long Gravity-Piston Corer Developed for Seafloor Gas Hydrate Coring Utilizing an In Situ Pressure-Retained Method. Energies 2013, 6, 3353–3372. [Google Scholar] [CrossRef]
- Luo, Y.; Peng, J.; Sun, M.; Sun, Q.; Ji, T.; Bo, K. An ice-valve-based pressure-coring system for sampling natural hydrate-bearing sediments: Proof-of-concept laboratory studies. J. Nat. Gas Sci. Eng. 2015, 27, 1462–1469. [Google Scholar] [CrossRef]
- Jian, X.U.; Guangyao, M. Analysis and Research on the Gravity Piston Corer Theory Based on ABAQUS. Hydromechatronics Eng. 2013, 41, 87–92. [Google Scholar]
- Sheng, Z.; Shi, Y.; Sun, J.; Qiu, R.; Lu, Y.; Liu, K.; Wang, X. Three-dimensional pile-soil settlement and deformation analysis under vertical load based on ABAQUS. Chin. J. Geotech. Eng. 2013, 35, 366–371. [Google Scholar]












| Parameter | Dimension (mm) |
|---|---|
| L2 | 235 |
| D2 | 66 |
| L3 | 1000 |
| D3 | 600 |
| Group | NO(s) Meshes | Length (mm) |
|---|---|---|
| 1 | 95,654 | 126 |
| 2 | 153,720 | 132 |
| 3 | 314,230 | 138.5 |
| 4 | 530,454 | 139.9 |
| 5 | 806,001 | 139.5 |
| Distance (mm) | Length (mm) | Distance (mm) | Length (mm) |
|---|---|---|---|
| 5 | 127.6 | 12 | 148.3 |
| 6.5 | 132.4 | 13.5 | 142.5 |
| 8 | 143.2 | 15 | 134.8 |
| 10 | 139.5 | 20 | 133.1 |
| Distance (mm) | Length (mm) | Distance (mm) | Length (mm) |
|---|---|---|---|
| 79 | 127.1 | 88 | 130 |
| 82 | 138 | 90 | 132.6 |
| 84 | 130.7 | 93 | 123.5 |
| 86 | 148.3 |
Publisher’s Note: MDPI stays neutral with regard to jurisdictional claims in published maps and institutional affiliations. |
© 2020 by the authors. Licensee MDPI, Basel, Switzerland. This article is an open access article distributed under the terms and conditions of the Creative Commons Attribution (CC BY) license (http://creativecommons.org/licenses/by/4.0/).
Share and Cite
Chen, J.; Huang, Y.; Lin, Y.; Zhou, P.; Fang, Y.; Le, X.; Wang, Y. A Novel Sediment Pressure Sampling Device Carried by a Hadal-Rated Lander. J. Mar. Sci. Eng. 2020, 8, 839. https://doi.org/10.3390/jmse8110839
Chen J, Huang Y, Lin Y, Zhou P, Fang Y, Le X, Wang Y. A Novel Sediment Pressure Sampling Device Carried by a Hadal-Rated Lander. Journal of Marine Science and Engineering. 2020; 8(11):839. https://doi.org/10.3390/jmse8110839
Chicago/Turabian StyleChen, Jiawang, Yue Huang, Yuan Lin, Peng Zhou, Yuping Fang, Xiaoling Le, and Yuhong Wang. 2020. "A Novel Sediment Pressure Sampling Device Carried by a Hadal-Rated Lander" Journal of Marine Science and Engineering 8, no. 11: 839. https://doi.org/10.3390/jmse8110839
APA StyleChen, J., Huang, Y., Lin, Y., Zhou, P., Fang, Y., Le, X., & Wang, Y. (2020). A Novel Sediment Pressure Sampling Device Carried by a Hadal-Rated Lander. Journal of Marine Science and Engineering, 8(11), 839. https://doi.org/10.3390/jmse8110839

