Effect of Tidal Stage on Sediment Concentrations and Turbulence by Vessel Wake in a Coastal Plain Saltmarsh
Abstract
1. Introduction
2. Materials and Methods
2.1. Current and Shear Stress Measurements
2.2. Time–Frequency Analysis
2.3. Vessel Wake Measurements
2.4. Sediment Concentration
3. Results
3.1. Vessel Wake Hydrodynamics and Sediment Resuspension
3.2. Tidal Stage
3.3. Bottom Stress in the Intertidal Region
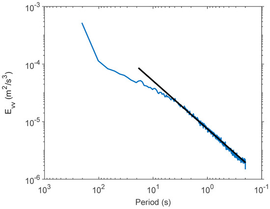
3.4. Energy Spectra
4. Discussion
4.1. Shear Stress, Water Depth, and Bed Erosion Potential in the Intertidal Regime
4.2. Energy Spectra
5. Conclusions
Author Contributions
Funding
Acknowledgments
Conflicts of Interest
References
- Osborne, P.D.; Boak, E.H. Sediment suspension and morphological response under vessel-generated wave groups: Torpedo bay auckland, new zealand. J. Coast. Res. 1999, 15, 388–398. [Google Scholar]
- Kurennoy, D.; Soomere, T.; Parnell, K. Variability in the properties of wakes generated by high-speed ferries. J. Coast. Res. 2009, 1, 519–523. [Google Scholar]
- Herbert, D.; Astrom, E.; Bersoza, A.C.; Batzer, A.; McGovern, P.; Angelini, C.; Wasman, S.; Dix, N.; Sheremet, A. Mitigating erosional effects induced by boat wakes with living shorelines. Sustainability 2018, 10, 436. [Google Scholar] [CrossRef]
- Asplund, T. The Effects of Motorized Watercrafts on Aquatic Ecosystems; Bureau of Integrated Science Services and University of Wisconsin: Madison, WI, USA, 2000; Volume PUBL-SS-948-00. [Google Scholar]
- Houser, C. Relative importance of vessel-generated and wind waves to salt marsh erosion in a restricted fetch environment. J. Coast. Res. 2010, 26, 230–240. [Google Scholar] [CrossRef]
- Curtiss, G.M.; Osborne, P.D.; Horner-Devine, A.R. Seasonal patterns of coarse sediment transport on a mixed sand and gravel beach due to vessel wakes, wind waves, and tidal currents. Mar. Geol. 2009, 259, 73–85. [Google Scholar] [CrossRef]
- Laderoute, L.; Bauer, B. River Bank Erosion and Boat Wakes Along the Lower Shuswap River, British Columbia; Final Project Report Submitted to the Regional District of North Okanagan Fisheries and Oceans Canada; Larissa Laderoute & Bernard Bauer University of British Columbia Okanagan: Kelowna, BC, Canada, 2013. [Google Scholar]
- Maynord, S.T.; Biedenham, D.S.; Fischenich, C.J.; Zufelt, J.E. Boat-Wave-Induced Bank Erosion on the Kenai River, Alaska; U.S. Army Corp of Engineers: Vicksburg, MS, USA, 2008; p. 129.
- Cox, R.; Wadsworth, R.; Thomson, A. Long-term changes in salt marsh extent affected by channel deepening in a modified estuary. Continental Shelf Res. 2003, 23, 1833–1846. [Google Scholar] [CrossRef]
- Davis, S.E., III; Allison, J.B.; Driffill, M.J.; Zhang, S. Influence of vessel passages on tidal creek hydrodynamics at aransas national wildlife refuge (Texas, United States): Implications on materials exchange. J. Coast Res. 2009, 25, 359–365. [Google Scholar] [CrossRef]
- Maynord, S.T. Ship Forces on the Shoreline of the Savannah Harbor Project; U.S. Army Corps of Engineers: Washington, DC, USA, 2007.
- Kelpšaite, L.; Parnell, K.; Soomere, T. Energy pollution: The relative influence of wind-wave and vessel-wake energy in tallinn bay, the baltic sea. J. Coast. Res. 2009, 56, 812–816. [Google Scholar]
- Sorensen, R.M. Prediction of Vessel-Generated Waves with Reference to Vessels Common to the Upper Mississippi River System. In ENV Report 4; US Army Corps of Engineers: Rock Island, IL, USA, 1997. [Google Scholar]
- Burgin, S.; Hardiman, N. The direct physical, chemical and biotic impacts on australian coastal waters due to recreational boating. Biodivers. Conservat. 2011, 20, 683–701. [Google Scholar] [CrossRef]
- Tonelli, M.; Fagherazzi, S.; Petti, M. Modeling wave impact on salt marsh boundaries. J. Geophys. Res. Oceans 2010, 115, 1–17. [Google Scholar] [CrossRef]
- Blanton, J.O.; Lin, G.; Elston, S.A. Tidal current asymmetry in shallow estuaries and tidal creeks. Continental Shelf Res. 2002, 22, 1731–1743. [Google Scholar] [CrossRef]
- Anderson, F.E. Effect of wave-wash from personal watercraft on salt marsh channels. J. Coast. Res. 2002, 1, 33–49. [Google Scholar]
- Bauer, B.O.; Lorang, M.S.; Sherman, D.J. Estimating boat-wake-induced levee erosion using sediment suspension measurements. J. Waterw. Port Coast. Ocean Eng. 2002, 128, 152–162. [Google Scholar] [CrossRef]
- Wargo, C.A.; Styles, R. Along channel flow and sediment dynamics at north inlet, south carolina. Estuar. Coast. Shelf Sci. 2007, 71, 669–682. [Google Scholar] [CrossRef]
- Kjerfve, B. Circulation and salt flux in a well mixed estuary. In Physics of Shallow Estuaries and Bays; Van de Kreeke, J., Ed.; Springer: New York, NY, USA, 1986; pp. 22–29. [Google Scholar]
- Gardner, L.; Michener, W.; Williams, T.; Blood, E.; Kjerve, B.; Smock, L.; Lipscomb, D.; Gresham, C. Disturbance effects of hurricane hugo on a pristine coastal landscape: North inlet, south carolina, USA. Neth. J. Sea Res. 1992, 30, 249–263. [Google Scholar] [CrossRef]
- Styles, R.; Glenn, S.M. Modeling stratified wave and current bottom boundary layers on the continental shelf. J. Geophys. Res.-Oceans 2000, 105, 24119–24139. [Google Scholar] [CrossRef]
- Styles, R.; Glenn, S.M.; Brown, M.E. An Optimized Combined Wave and Current Bottom Boundary Layer Model for Arbitrary Bed Roughness; ERDC/CHL, TR-17-11; U.S. Army Corps of Engineers: Washington, DC, USA, 2017.
- Voulgaris, G.; Meyers, S.T. Temporal variability of hydrodynamics, sediment concentration and sediment settling velocity in a tidal creek. Continental Shelf Res. 2004, 24, 1659–1683. [Google Scholar] [CrossRef]
- Daubechies, I. The Wavelet Transform. Time-Frequency Localization and Signal Analysis. IEEE Trans. Inf. Theory 1990, 36, 961–1005. [Google Scholar] [CrossRef]
- Press, W.H.; Flannery, B.P.; Teukolsky, S.A.; Vetterling, W.T. Numerical Recipes; Cambridge University Press: Cambridge, UK, 1989; Volume 3. [Google Scholar]
- Houser, C. Sediment resuspension by vessel-generated waves along the savannah river, georgia. J. Waterw. Port Coast. Ocean Eng. 2011, 137, 246–257. [Google Scholar] [CrossRef]
- Didenkulova, I.; Rodin, A. A typical wave wake from high-speed vessels: Its group structure and run-up. Nonlinear Process. Geophy. 2013, 20, 179–188. [Google Scholar] [CrossRef]
- Torsvik, T.; Soomere, T.; Didenkulova, I.; Sheremet, A. Identification of ship wake structures by a time–frequency method. J. Fluid Mech. 2015, 765, 229–251. [Google Scholar] [CrossRef]
- Sheremet, A.; Gravois, U.; Tian, M. Boat-wake statistics at jensen beach, florida. J. Waterw. Port Coast. Ocean Eng. 2012, 139, 286–294. [Google Scholar] [CrossRef]
- Grinsted, A.; Moore, J.C.; Jevrejeva, S. Application of the cross wavelet transform and wavelet coherence to geophysical time series. Nonlinear Process. Geophys. 2004, 11, 561–566. [Google Scholar] [CrossRef]
- Styles, R.; Hartman, M.A. Wave Characteristics and Sediment Resuspension by Recreational Vessels in Coastal Plain Saltmarshes; US Army Corps of Engineers Engineer Research and Development Center: Vicksburg, MS, USA, 2018; p. 75.
- Bilkovic, D.M.; Mitchell, M.; Davis, J.; Andrews, E.; King, A.; Mason, P.; Herman, J.; Tahvildari, N.; Davis, J. Review of Boat Wake Wave Impacts on Shoreline Erosion and Potential Solutions for the Chesapeake Bay; STAC Publication Number 17-002; STAC Publication: Edgwater, MD, USA, 2017; Volume 68, pp. 2467–2480. [Google Scholar]
- Christensen, E.D.; Jensen, J.H.; Mayer, S. Sediment transport under breaking waves. Coast. Eng. 2000, 2001, 2467–2480. [Google Scholar]
- Hinze, J.O. Turbulence, 2nd ed.; McGraw-Hill Inc.: New York, NY, USA, 1975; p. 790. [Google Scholar]
- Parnell, K.; McDonald, S.; Burke, A. Shoreline effects of vessel wakes, marlborough sounds, New Zealand. J. Coast. Res. 2007, 502–506. [Google Scholar]
- Möller, I.; Kudella, M.; Rupprecht, F.; Spencer, T.; Paul, M.; Van Wesenbeeck, B.K.; Wolters, G.; Jensen, K.; Bouma, T.J.; Miranda-Lange, M. Wave attenuation over coastal salt marshes under storm surge conditions. Nat. Geosci. 2014, 7, 727. [Google Scholar] [CrossRef]
- Lumley, J.L.; Terray, E.A. Kinematics of turbulence convected by a random wave field. J. Phys. Oceanogr. 1983, 13, 2000–2007. [Google Scholar] [CrossRef]










© 2019 by the authors. Licensee MDPI, Basel, Switzerland. This article is an open access article distributed under the terms and conditions of the Creative Commons Attribution (CC BY) license (http://creativecommons.org/licenses/by/4.0/).
Share and Cite
Styles, R.; Hartman, M.A. Effect of Tidal Stage on Sediment Concentrations and Turbulence by Vessel Wake in a Coastal Plain Saltmarsh. J. Mar. Sci. Eng. 2019, 7, 192. https://doi.org/10.3390/jmse7060192
Styles R, Hartman MA. Effect of Tidal Stage on Sediment Concentrations and Turbulence by Vessel Wake in a Coastal Plain Saltmarsh. Journal of Marine Science and Engineering. 2019; 7(6):192. https://doi.org/10.3390/jmse7060192
Chicago/Turabian StyleStyles, Richard, and Michael A. Hartman. 2019. "Effect of Tidal Stage on Sediment Concentrations and Turbulence by Vessel Wake in a Coastal Plain Saltmarsh" Journal of Marine Science and Engineering 7, no. 6: 192. https://doi.org/10.3390/jmse7060192
APA StyleStyles, R., & Hartman, M. A. (2019). Effect of Tidal Stage on Sediment Concentrations and Turbulence by Vessel Wake in a Coastal Plain Saltmarsh. Journal of Marine Science and Engineering, 7(6), 192. https://doi.org/10.3390/jmse7060192
