Numerical Investigation into the Two-Phase Convective Heat Transfer within the Hold of an Oil Tanker Subjected to a Rolling Motion
Abstract
:1. Introduction
2. Physical and Mathematical Model
2.1. Physical Model
- (1)
- The upper part of the oil tank is a single layer wall without any building above, which directly touches the air;
- (2)
- The oil tank contains two thirds of the oil; the initial temperature of the oil is 323.15 K;
- (3)
- The four wing spaces at the bottom are filled with ballast water, while the other wing tanks are filled with air. The initial temperature of water and air is 293.15 K;
- (4)
- The tanker’s draught is two thirds of its height;
- (5)
- The outside boundary of the tanker is subjected to the third boundary conditions. The temperature of the external sea water and air are both 291.15 K, and the convective heat transfer coefficient between walls and sea water was set to be 1250 W/(m2·K), and that between walls and air was 50 W/(m2·K), respectively [16].
2.2. Mathematical Model
- (1)
- Gravity force, ;
- (2)
- Centrifugal force, ;
- (3)
- Euler force, ;
- (4)
- Coriolis force, .
3. Numerical Methods and Their Validation
3.1. Numerical Methods
3.2. Grid-Independence Test
3.3. Model Validation
4. Results and Discussion
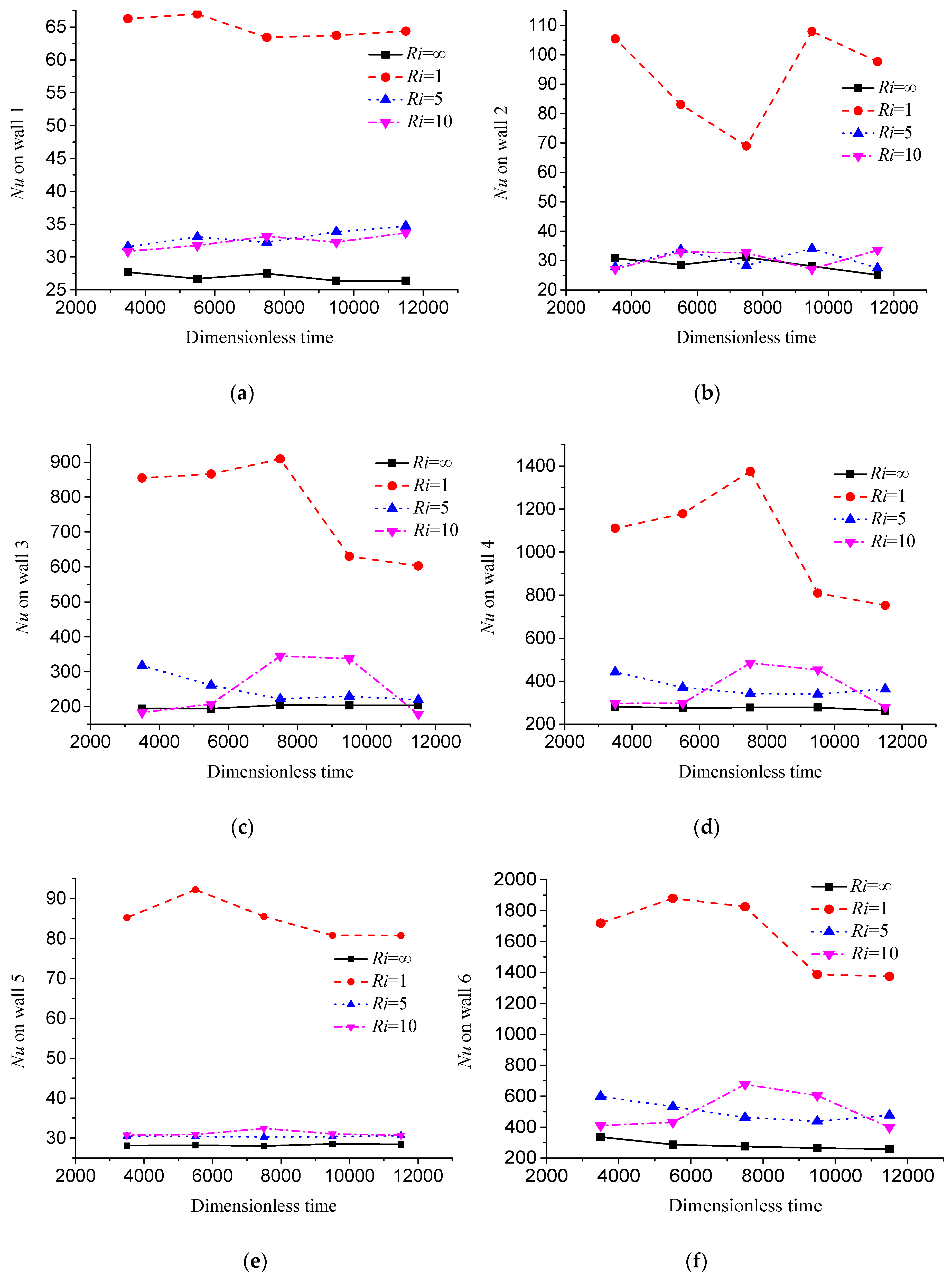
4.1. The Effect of with Fixed
4.2. The Effect of with Fixed
4.3. The Effect of Non-Newtonian Behavior with Fixed and
5. Conclusions
- (1)
- A rolling motion induces mixed convection, which intensifies the heat transfer depending on the Richardson number ; the lower the , the faster the heat transfer.
- (2)
- For a large-size geometry model, such as an oil tanker, the rotation-strength number has a negative effect on heat transfer, i.e., the larger the , the weaker the heat transfer, since is dominated by geometry size.
- (3)
- The total effect of the rolling motion on thermal-hydraulic behavior is determined by the combined effect of and , the effect of their combination may be different for small-size cases and large-size cases.
- (4)
- Non-Newtonian behavior plays an important role in thermal-hydraulic process of crude oil in rolling cases, and a smaller flow-behavior index corresponds to stronger heat transfer; however its influence in the static case is weak.
Author Contributions
Funding
Conflicts of Interest
References
- Wawrzyński, W. Area of the unstable solution of rolling equation-jumps of the oscillations amplitude. J. KONES 2018, 3, 489–496. [Google Scholar]
- Hiroharu, K. Effects of Rolling on the Heat Transfer from Cango Oils of Tankers. J. Jpn. Soc. Naval Archit. Ocean Eng. 2009, 1969, 421–430. [Google Scholar]
- Yu, G.J.; Yang, Q.L.; Dai, B.; Fu, Z.G.; Lin, D.L. Numerical Study on the Characteristic of Temperature Drop of Crude Oil in a Model Oil Tanker Subjected to Oscillating Motion. Energies 2018, 11, 1229. [Google Scholar] [CrossRef]
- Doerffer, S.; Mikielewicz, J. The influence of oscillations on natural convection in ship tanks. Int. J. Heat Fluid Flow 1986, 7, 49–60. [Google Scholar] [CrossRef]
- Akagi, S.; Kato, H. Numerical analysis of mixed convection heat transfer of a high viscosity fluid in a rectangular tank with rolling motion. Int. J. Heat Mass Transf. 1987, 30, 2423–2432. [Google Scholar] [CrossRef]
- Tan, S.C.; Su, G.H.; Gao, P.Z. Experimental and theoretical study on single-phase natural circulation flow and heat transfer under rolling motion condition. Appl. Therm. Eng. 2009, 29, 3160–3168. [Google Scholar] [CrossRef]
- Tan, S.C.; Su, G.H.; Gao, P.Z. Heat transfer model of single-phase natural circulation flow under a rolling motion condition. Nucl. Eng. Des. 2009, 239, 2212–2216. [Google Scholar]
- Yu, S.; Yan, C.; Wang, J.; Cao, X.; Zhu, Z.; Wang, C. Experimental and numerical study on fluctuations and distributions of fluid temperature under rolling motion conditions. Ann. Nucl. Energy 2017, 110, 384–399. [Google Scholar] [CrossRef]
- Liu, D.; Tian, W.; Xi, M.; Chen, R.; Qiu, S.; Su, G.H. Study on safety boundary of flow instability and CHF for parallel channels in motion. Nucl. Eng. Des. 2018, 335, 219–230. [Google Scholar] [CrossRef]
- Wu, P.; Shan, J.; Xiang, X.; Zhang, B.; Gou, J.; Zhang, B. The development and application of a sub-channel code in ocean environment. Ann. Nucl. Energy 2016, 95, 12–22. [Google Scholar] [CrossRef]
- Xing, D.; Yan, C.; Sun, L. Flow fluctuation behaviors of single-phase forced circulation under rolling conditions. Ocean Eng. 2014, 82, 115–122. [Google Scholar] [CrossRef]
- Hu, Z.Q.; Wang, S.Y.; Chen, G.; Chai, S.H.; Jin, Y.T. The effects of LNG-tank sloshing on the global motions of FLNG system. Int. J. Nav. Archit. Ocean 2017, 9, 114–125. [Google Scholar] [CrossRef]
- Grotle, E.L.; Æsøy, V. Dynamic modelling of the thermal response enhanced by sloshing in marine LNG fuel tanks. Appl. Therm. Eng. 2018, 135, 512–520. [Google Scholar] [CrossRef]
- Jiang, S.C.; Teng, B.; Bai, W.; Gou, Y. Numerical simulation of coupling effect between ship motion and liquid sloshing under wave action. Ocean Eng. 2015, 108, 140–154. [Google Scholar] [CrossRef]
- Cercos-Pita, J.L.; Bulian, G.; Pérez-Rojas, L.; Francescutto, A. Coupled simulation of nonlinear ship motions and a free surface tank. Ocean Eng. 2016, 120, 281–288. [Google Scholar] [CrossRef]
- Yang, S. Heat Transfer, 4th ed.; Higher Education Press: Beijing, China, 2006. [Google Scholar]
- Olinde, R. Des lois géometriques qui regissent les déplacements d’un systéme solide dans l’espace, et de la variation des coordonnées provenant de ces déplacement considérées indépendant des causes qui peuvent les produire. J. Math. Pures Appl. 1840, 5, 380–440. [Google Scholar]
- Brackbill, J.U.; Kothe, D.B.; Zemach, C. A continuum method for modeling surface tension. J. Comput. Phys. 1992, 100, 335–354. [Google Scholar] [CrossRef]
- Ker, Y.T.; Lin, T.F. A combined numerical and experimental study of air convection in a differentially heated rotating cubic cavity. Int. J. Heat. Mass. Trans. 1996, 39, 3193–3210. [Google Scholar] [CrossRef]
- Patankar, S.V. Numerical Heat Transfer and Fluid Flow; Hemisphere Publishing: Washington, DC, USA, 1980. [Google Scholar]
- Tso, C.P.; Jin, L.F.; Tou, S.K.W. Numerical Segregation of the Effects of Body Forces in a Rotating, Differentially Heated Enclosure. Numer. Heat. Trans. A-Appl. 2007, 51, 85–107. [Google Scholar] [CrossRef]
- Saleh, H.; Hashim, I. Numerical Analysis of Nanofluids in Differentially Heated Enclosure Undergoing Orthogonal Rotation. Adv. Math. Phys. 2014, 2014, 1–11. [Google Scholar] [CrossRef]


















| Case | n | ||
|---|---|---|---|
| Case 1 | ∞ | 0 | 1 |
| Case 2 | 1 | 1 | |
| Case 3 | 5 | 1 | |
| Case 4 | 10 | 1 | |
| Case 5 | 5 | 1 | |
| Case 6 | 5 | 1 | |
| Case 7 | 5 | 0.5 | |
| Case 8 | 5 | 0.7 | |
| Case 9 | 5 | 0.9 | |
| Case 10 | ∞ | 0.5 | |
| Case 11 | ∞ | 0.7 | |
| Case 12 | ∞ | 0.9 |
© 2019 by the authors. Licensee MDPI, Basel, Switzerland. This article is an open access article distributed under the terms and conditions of the Creative Commons Attribution (CC BY) license (http://creativecommons.org/licenses/by/4.0/).
Share and Cite
Yu, G.; Jia, S.; Geng, Y. Numerical Investigation into the Two-Phase Convective Heat Transfer within the Hold of an Oil Tanker Subjected to a Rolling Motion. J. Mar. Sci. Eng. 2019, 7, 94. https://doi.org/10.3390/jmse7040094
Yu G, Jia S, Geng Y. Numerical Investigation into the Two-Phase Convective Heat Transfer within the Hold of an Oil Tanker Subjected to a Rolling Motion. Journal of Marine Science and Engineering. 2019; 7(4):94. https://doi.org/10.3390/jmse7040094
Chicago/Turabian StyleYu, Guojun, Sheng Jia, and Yanting Geng. 2019. "Numerical Investigation into the Two-Phase Convective Heat Transfer within the Hold of an Oil Tanker Subjected to a Rolling Motion" Journal of Marine Science and Engineering 7, no. 4: 94. https://doi.org/10.3390/jmse7040094
APA StyleYu, G., Jia, S., & Geng, Y. (2019). Numerical Investigation into the Two-Phase Convective Heat Transfer within the Hold of an Oil Tanker Subjected to a Rolling Motion. Journal of Marine Science and Engineering, 7(4), 94. https://doi.org/10.3390/jmse7040094

