Abstract
At the end of the rainy season in 2016 and at the end of the dry season in 2017, we conducted a floristic study of marine macrophytic algae in the intertidal and subtidal zones in moderately and heavily polluted areas at Luhuitou reef, Sanya Bay, Hainan Island, China. A total of 109 species of marine macrophytes were found during these samplings. At the end of the rainy season, 72 species of macrophytes (50% reds, 19% browns, and 31% greens) were found. At the end of the dry season, we found and identified 92 species of macrophytes (46% reds, 20% browns, and 34% greens). Seasonal changes in species diversity, species composition, and the structure of algal communities at differently polluted sites exhibited common features as well as specific characteristics. By the end of the dry season, the diversity of macroalgal species was increased, and the composition of dominant and accompanying species of macrophytes in polydominant communities was changed in moderately and heavily polluted areas. Seasonal changes in the marine flora of differently polluted areas were characterized by specific features as follows: Less changes in species diversity of heavily polluted area compared with moderately polluted area during the change from the rainy season to the dry season; significant increase in the biomass of green algae and their projective coverage in the middle and low intertidal zones of heavily polluted sites in the dry season; and the increase in the numbers of mono- and bidominant communities in the middle and low intertidal zones of heavily polluted sites by the end of the dry season.
1. Introduction
Recent studies have shown that a number of natural and anthropogenic factors can cause long-term changes in the subtropical-tropical marine flora, and those annual and seasonal changes may be attributed to both abiotic and biotic environmental factors [1,2,3,4]. It is known that the greatest seasonal subtropical-tropical floristic changes (especially in the intertidal zone) are caused by environmental changes in terms of light intensity, temperature, salinity, rainfall, and wave action, but not the nutrient concentration [4,5,6,7,8,9,10,11,12,13]. Seasonal changes (from dry to rainy periods) in the marine benthic flora in the intertidal and upper subtidal zones of Sanya Bay along the coastline of Luhuitou Peninsula (Hainan Island) have been studied in the recently published sister studies to this investigation [14,15,16,17,18].
Previous studies [14,15,16,17,18] have shown that Sanya Bay is heavily polluted by dissolved inorganic nitrogen (DIN), phosphates, and dissolved organic compounds due to the intensive discharge of industrial wastewater from Sanya City into the bay as well as the wastes discharged from mariculture farms into the coastal waters. The average concentration of DIN in seawater in 2008 to 2012 was 5 µM, and that of orthophosphates (PO−34) was about 0.40 µM. Some coastal waters are catastrophically polluted by organic wastes discharged from marine farms producing fish and invertebrate animals, where the nutrient concentration exceeds on average 10 times or even hundreds the recommended levels [18].
Previous studies have reported that floristic ratios of the major algal groups are dramatically changed between clean and nutrient-polluted regions [19,20,21,22]. Meanwhile, our previous investigations [14,23] have revealed that macroalgal species’ diversity, composition, and their seasonal shifts in Sanya Bay are likely similar to those of relatively clean, unpolluted regions of the Indo-Pacific [24,25,26]. We have assumed that the average seawater pollution by dissolved forms of nitrogen and phosphorus is not high enough to evoke serious changes in the marine flora of Sanya Bay. In this connection, we have continued our investigations on the benthic flora in extremely polluted coastal areas subjected to extensive discharge from fish farms [18]. We have shown that heavily polluted areas are significantly different from moderately polluted areas in terms of the diversity of the flora, species composition, taxonomic composition, and the structure of algal communities, suggesting that extremely high concentrations of nutrients in seawater affect the succession of algal communities and seasonal changes related with their formation. To validate such a hypothesis, we investigated the marine flora in Sanya Bay at extremely and moderately polluted areas at the end of the rainy season in 2016 and the dry season in 2017.
2. Materials and Methods
2.1. Study Site, Time, and Conditions
2.1.1. Hainan Island
Investigations were conducted at Luhuitou fringing reef, Sanya Bay, Hainan Island, China. Hainan Island (Figure 1) is located in the subtropical northern periphery of the Indo-Pacific Ocean in the South China Sea. According to the scheme of Briggs [27] on marine biogeographic regions, which was modified by Lüning [28], Hainan Island belongs to the tropical region of the Northern hemisphere. The 20 °С sea surface temperature-winter isotherm and 25 °С-summer isotherm fringe the tropical region from the north. The rainy season in the southern part of the island occurs from May to October, during which the precipitation accounts for 95% of the yearly rainfall, while the dry season occurs from November to April [29].
Figure 1.
Study sites in Hainan Island: (A) Sanya Bay; (B) Luhuitou Peninsula, the situation of experimental transects. (C) Transect 1, opposite outlet of wastewater from a mariculture farm (ponds). (D) Transect 2, opposite the Marine Biological Station.
The main coastal ecosystems of the shallow water of Hainan Island are coral reefs, which are among the most prominent fringing reefs of China. However, almost 80% of the fringing reefs along the coastline of Hainan Island have been damaged due to intensive human activities during the 1970s to 1990s (fishing with dynamite, removal of corals for lime, and construction). Recently, the eutrophication of Hainan coastal waters, particularly in the shallow gulfs, has been increased owing to greater tourist numbers, hotel building along the coast, mariculture in coastal ponds, and pools with waste draining into the sea [14,30,31,32,33,34,35]. The marine flora of Hainan Island is well studied, beginning from 1933 [14,15,16,23,36,37,38,39,40,41,42,43,44,45].
2.1.2. Time and Sites of Samplings
The algae were collected at the end of the rainy season in 2016 (November) and at the end of the dry season in 2017 (March–April) from the upper intertidal to the upper subtidal zones at two sites: In front of the outlet of sewage discharges from land ponds where marine animals were cultivated (heavily polluted site, transect 1) and in front of the Marine Biological Station of the South China Sea Institute of Oceanology (transect 2, moderately polluted) (Figure 1B–D).
The aquaculture ponds in Luhuitou were firstly built in 2002 for abalone cultivation. Since 2007, the cultured species has been changed to crab. Then, in March 2012, they were replaced by a grouper fish farm. The grouper fish farm covers an area of ~3500 m2. The volume of effluents directly discharging into the surrounding waters of Luhuitou reef is about 4077 tons per year. According to Li et al.’s [18] data obtained during the period from 2013 to 2016, the mean value of DIN, such as the sum of NH4, NO3, and NO2, is 185.9 µM, ranging from 37.5 to 714.2 µM at the outlet of the grouper farm. However, the value is significantly decreased to ~20 µM in the intertidal and upper subtidal waters opposite the outlet, and drops to ~9 µM in front of the Marine Biological Station. Phosphates are decreased from 10.2 µM at the outlet to 2.7 µM opposite the outlet and to 0.2 µM opposite the Marine Biological Station. Dissolved organic carbon (DOC) also shows similar trends to DIN, and it is decreased from 525.5 µM at the outlet to 94.7 µM in front of the Marine Biological Station.
At the sites investigated, the upper intertidal zone consisted of a sloping shore (2–3 m wide) with hard substrates composed of stones and dead coral fragments of various shapes and sizes, tossed about by storms. The sloping shore of the middle intertidal zone (~10 m wide) consisted mainly of flat carbonate patches intermixed with coral debris and stones. The lower intertidal zone (~15 m wide) was primarily composed of dead colonies of massive and branched corals intermixed with sand and small fragments of dead branching corals. The upper subtidal zone consisted of a sloping shore (~50 m wide), which was composed primarily of dead and live colonies of massive and branching corals interspersed with sand, stones, and dead coral fragments of various shapes and sizes.
2.2. Collection, Conservation, and Identification of Marine Algae
Algal sampling was carried out by foot or via snorkeling from 0 to 2 m depth (to 5 m with scuba diving) during low and high tide along two transects (Figure 1B). Transect 1 from the outlet of the fish farm was perpendicular to the shoreline (Figure 1B,C), and transect 2 was situated at a distance of ~100 m (along shoreline) from the transect 1 (opposite the Marine Biological Station, Figure 1B,D). Samples were extracted from all substrate types with more than five quadrats from each tidal zone.
In order to study the species composition of the benthic flora and the taxonomic composition of algal communities, the method of algal sampling and the processing of the obtained material were as follows:
In each tidal zone, on an area of ~100 m2, algal turf communities (with thalli less than 5 cm in height), crust algae, and large upright growing algae (with thalli more than 5 cm in height) were visually identified. The selected communities were photographed at a right angle. In the communities of algal turf and crust algae, samples were taken from three randomly selected squares, each square measuring ~100 cm2. In communities of upright growing algae, samples were also collected from three squares, each ranging from 0.5 m2 to 1.0 m2. Samples were extracted from all selected algal communities not less than three quadrats from each community. Algae were also separately collected from areas outside the selected squares. A total of 147 samples were obtained from algal turf communities and communities of upright growing large algae (Table 1).
Table 1.
Sampling location, number of samplings, samples, and found species.
The abundance was visually determined based on photographs of algae by estimating the mean substrate surface area occupied by marine plants (relative percentage of coverage) using slides of algal communities. The following indicators of the abundance were used: Exceedingly rare—found only once or twice; rare sighting—found only one-two times with less than 5% relative coverage of substrata; common—found in most samples with 5% to 20% relative coverage; and abundant—found in communities with substrata coverage from 30% to 100%. Dominance in the communities was also visually determined and defined as follows: Monodominant if one algal species occupied more than 50% of the surface area; bidominant if two species occupied more than 50% of the surface area; and polydominant if more than two species predominated.
Algae collected from different communities were stored in separate plastic bags, which were placed in the refrigerator. Freshly collected material was identified using monographic publications, floristic studies, and systematic articles indicated in Titlyanova et al. [44]. The systematics and nomenclature followed Guiry and Guiry [46]. Hierarchical classification of the phylum, Rhodophyta, was assessed according to Saunders and Hommersand [47]. The classification system of the phyla, Chlorophyta and Ochrophyta, followed Tsuda [48,49]. The collections of both macrophytes and their epiphytes were preserved as dried herbarium specimens and deposited in the herbarium at A.V. Zhirmunsky Institute of Marine Biology, National Scientific Center of Marine Biology, Far Eastern Branch, Russian Academy of Science, Vladivostok 690041, Russian Federation.
2.3. Statistical Analysis
Data were analyzed with the statistical package, Primer 6.1.12 (Plymouth UK: Primer–E Ltd.). The similarity in species composition among samples collected at two transects in different tidal zones in different years was analyzed by calculating the similarity coefficient of Jaccard, and similarity of vegetation among samples collected at differently polluted sites and in different seasons was analyzed by calculating the Bray-Curtis similarity coefficient [50]. For graphical representation of the data set, cluster analysis (group average method) and non-metric multidimensional scaling (nMDS) ordination were carried out. The significance of differences in vegetation at different sites and between seasons was tested using the one-way analysis of similarities (ANOSIM) [51].
3. Results
3.1. Algal Species Diversity, Taxonomic Composition and the Structure of Algal Communities in Heavily and Moderately Polluted Areas at the End of the Rainy Season and at the End of the Dry Season
Species Diversity and Taxonomic Composition
A total of 109 species of marine macrophytes were found in the intertidal and subtidal zones of Luhuitou Peninsula during the sampling process at the end of the rainy season in 2016 and at the end of the dry season in 2017. Among the algae-macrophytes, 48% of the species were red algae, 20% were brown algae, and 32% were green algae. The sampled algae consisted mainly of epilithic algae growing on a hard substrate (73% of the species) and a smaller degree of epiphytic algae (27%). Five species were exceedingly rare and found only once or twice. These taxa were excluded from the quantitative study (in Table S1, these species are marked with an asterisk after the species). The remaining rare, common, and abundant species were chosen for future study (Table S1).
Clustering and n-MDS ordination based on floristic similarity (Jaccard coefficient) of collections from extremely and moderately polluted areas revealed that seasonal variations of flora were larger than the spatial ones. The overall similarity of collections in rainy and dry seasons was 48%, while the similarity across transects in 2016, as well as in 2017, was 77% (Figure 2). The similarity values between dry and rainy seasons in extremely polluted area were 51% for Rhodophyta (Rh), 44% for Chlorophyta (Ch), and 53% for Ochrophyta (class Phaeophyceae, Ph), while the similarity values in moderately polluted area were 51% for Rh, 39% for Ch, and 50% for Ph.
Figure 2.
Seasonal patterns of (A) floristic similarity and (B) n-MDS of samples collected at the end of the rainy season in 2016 and at the end of the dry season 2017 on two transects: 1, heavily pollution and 2, moderate pollution in Luhuitou reef (Sanya Bay), showing inter-annual changes in species diversity. The low stress value indicated no distortion in the compression of the multidimensional data into two dimensions. The groups derived from a parallel cluster analysis showed the respective maximum similarity boundary value. Similarity values shown in the key are percentages.
During the transition period from the rainy season to the dry season, the absolute and relative numbers of algal species changed in the marine flora of the studied area. By the end of the rainy season, 72 macrophyte species (50% reds, 19% browns, and 31% greens) were found. At this time, 17 macrophyte species (or 24% of all collected species) were abundant and prevailed in algal communities, and the proportions of red algae and green algae were 59% and 41%, respectively.
At the end of the dry season, 92 species of macroalgae (46% reds, 20% browns, and 34% greens) were found, of which 31 species (or 34% of all collected algae) dominated. Among the dominant macrophytes, there were 52% reds, 19% browns, and 29% greens.
During the transition period from the rainy season (2016) to the dry season (2017) in the heavily polluted area, the number of red algae and especially green algae was increased by 5 and 10 species, respectively, and the relative number of green algae was increased by 9%. At the same time, in the moderately polluted area, the absolute number of all taxonomic groups of macrophytes was increased by 14 species in green algae, five species in brown algae, and three species in red algae. The relative number of green algae was increased by 11% (Figure 3).
Figure 3.
Species composition of algal flora in heavily polluted (1) and moderately polluted (2) areas during the rainy (2016) and dry (2017) seasons. (A) Number of species. (B) Proportions of Rhodophyta (Rh); Ph, Ochrophyta; Ch, Chlorophyta; Cyan, Cyanobacteria.
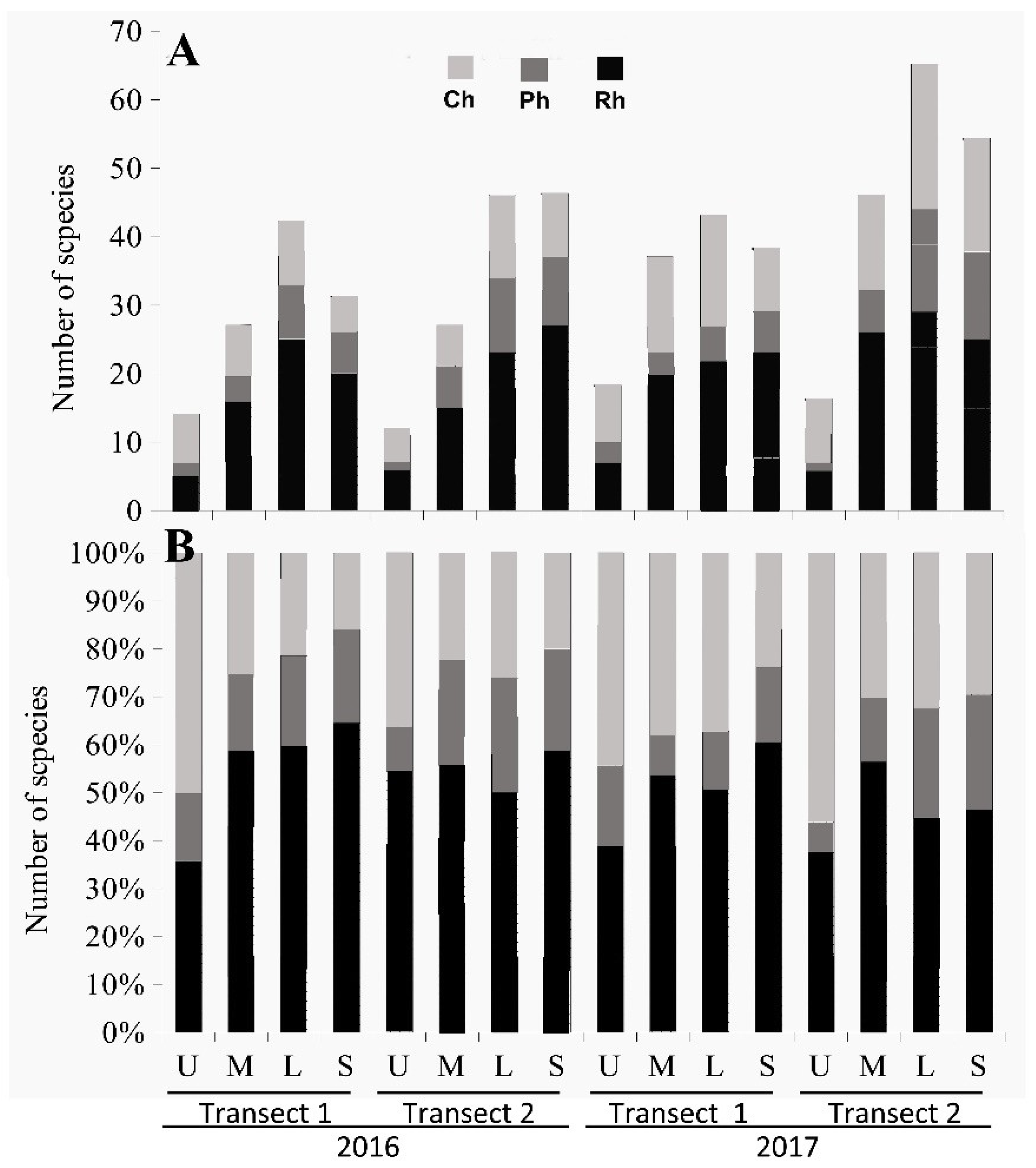
In both seasons, the total number of found species along the two transects increased from the upper to lower intertidal zones (Figure 4). The species number increased from 20 to 62 during the rainy season and from 26 to 68 during the dry season (Figure 4A). With the increase of depth, the species richness of red and brown algae also increased, and the numbers of green algae decreased in most sampling sites. Calculations of the relative numbers of different taxonomic groups showed that the relative number of green algae decreased with depth in all sites (Figure 4B).
Figure 4.
Species composition of algal flora in different tidal zones in extremely polluted (transect 1) and moderately polluted (transect 2) areas during the rainy (2016) and dry (2017) seasons. (A) Number of species. (B) Proportions of Rhodophyta (Rh), Ochrophyta (Ph), and Chlorophyta (Ch), Cyanobacteria (Cyan). Tidal zones: (U) upper interdidal; (M) middle intertidal; (L) lower intertidal; (S) upper subtidal.
A number of the algae were season specific, occurring only during the rainy (RS) or dry (DS) seasons, but many were also aseasonal, occurring during both seasons (Figure 5). Of the 96 common (++) and abundant (+++) macrophyte species (see Table 1), 54% occurred during both seasons, 34% were specific to only the dry season, and 12% were specific to only the rainy season. Seasonal specificity occurred along both transects. In the heavily polluted area, 57% of the common species were for both seasons. However, in the moderately polluted area, this number was 51%, and those species specific to only the dry season was 32% and 36%, respectively, and algae found only during the rainy season was 11% and 13%, respectively. The marine flora richness in the heavily polluted area was higher than that in the moderately polluted area with aseasonal species: By 3% of red algae, 7% of brown algae, and 10% of green algae. At the same time, the richness was poorer in browns (by 15%) and greens (by 6%), which were found only during the dry season (Figure 5).
Figure 5.
Composition of season-specific algal groups (found only during the rainy season, found only during the dry season, and during both seasons) in the heavily polluted area; (A) and moderately polluted area (B).
3.2. The Structure of Algal Communities and Their Distribution in Tidal Zones
The structure of algal communities was analyzed according to the number and composition of dominant and accompanying macrophyte species in every community as well as the relative bottom coverage by the dominant species (Table S1).
3.2.1. The End of the Rainy Season
Heavily Polluted Area (Transect 1)
At the end of the rainy season in 2016, the upper intertidal zone along transect 1 (Figure 1C) was mainly occupied by monodominant algal communities with a dominance of brown crust alga, Neoralfsia expansa (Figure S1A), and turf-forming macrophytes, such as Polysiphonia howei (Rh) (Figure S1B), Ulva prolifera (Ch) (Figure S1C), and Ulva clathrata (Ch) (Figure S1D). In this zone, shaded vertical and inclined surfaces of rocky blocks were occupied by a bidominant community of the red alga, Polysiphonia howei, and the green alga, Cladophoropsis sundanensis (Figure S1E). These communities occupied less than 30% of the substrata.
In the middle intertidal zone, the stony bottom was occupied by a monodominant community of the red crust alga, Hildenbrandia rubra (Figure S1F), and by the brown crust alga, Ralfsia verrucosa (Figure S1G). The carbonate base of the reef and remnants of hard coral colonies were occupied by algal turf communities, including the monodominant community of the red fine filamentous alga, Centroceras clavulatum (Figure S1H), as well as the monodominant or bidominant communities of the green algae, Ulva flexuosa and Cladophoropsis sundanensis, with accompanying species. All these communities occupied no more than 50% of the hard substrata.
In the lower intertidal zone, the surfaces of dead coral blocks were overgrown by a bidominant commumity of the turf-forming red algae, such as Centroceras clavulatum and Jania adhaerens (Figure S1I). Out of the algal turf, Hypnea spinella (Rh), including Pseudochnoospora implexa, Sargassum aquifolium, S. polycystum, and Turbinaria ornata (Ph), such as Caulerpa racemosa and Ulva rigida (Ch), were commonly detected. Macrophytes occupied more than 90% of the hard substrata, and the other substrata were occupied by individual colonies of hermatypic corals and other sessile animals.
In the upper subtidal zone as well as in the low intertidal zone, the algal community was represented by algal turf with the dominance of Centroceras clavulatum and Jania adhaerens (Figure S1I) with the same accompanying species as in the lower intertidal zone. Algal coverage of the hard substrata in this zone was 80%.
Special interest was represented by the algal turf community formed in seawater with extremely high concentrations of nutrients run out from fish farm via a concrete chute. The greater part (in the middle) of the concrete chute was occupied by a dense monodominant community (~95% coverage) of the red alga, Grateloupia filicina, overgrown with the epiphyte, Ceramium cimbricum, and the accompanying green alga, Caulerpa sertularioides f. longiseta, forming mosaic coverage in the community. A bidominant community of green algae, such as Trichosolen mucronatus and Ulva flexuosa (Figure S1J), occupied marginal parts of the chute.
Moderately Polluted Area (Transect 2)
In autumn of 2016, the upper intertidal zone of the moderately polluted area (Figure 1D) was occupied by the same monodominant communities as in the heavily polluted area (see above) as well as the bidominant community of the red alga, Polysiphonia howei, and the green alga, Cladophoropsis sundanensis. Algal coverage was no more than 10%.
In the middle intertidal zone, the stony bottom was occupied by mono-dominant communities of crust algae, Hildenbrandia rubra and Ralfsia verrucosa, with coverage of about 20% (similar to transect 1). The carbonate base of the reef and coral colonies were densely overgrown by a polydominant community (~50% coverage) with dominant algae, such as Chondrophycus articulatus, Gelidium pusillum var. cylindricum, Jania adhaerens, Millerella pannosa (Rh); Cladophora vagabunda, and Ulva clathrata (Ch) (Figure S1K). Out of the algal turf community, Gelidium pusillum, Spyridia filamentosa (Rh), and Feldmannia mitchelliae (Ph) were commonly detected.
In the lower intertidal zone, the surfaces of dead coral blocks were overgrown by a poly-dominant community of turf-forming algae, such as Amphiroa fragilissima, Centroceras clavulatum, Jania adhaerens, J. ungulata f. brevior, Spyridia filamentosa (Rh), Lobophora variegata (Ph), and Caulerpa racemosa (Ch) (Figure S1L), with accompanying species of macrophytes and the blue-green alga, Lyngbya majuscula (~50% coverage of the hard substrata). Out of the algal turf, Ceratodictyon spongiosum (Rh), Padina minor, Sargassum aquifolium, S. sanyaense (young thalli), Turbinaria ornata (Ph), Caulerpa racemose, and Caulerpa sertularioides (Ch) were commonly found. Rare coral colonies were met among algae.
In the upper subtidal zone, the main algal community was represented by algal turf overgrowing dead coral colony blocks with a dominance of the same species as in the lower intertidal zone. Among the accompanying species, Amphiroa foliacea (Figure S1M) and Sphacelaria novae-hollandiae appeared, while Dictyota implexa, Gelidium pusillum var. cylindricum, and Ralfsia verrucosa were not found. Here, coral colonies formed a patch-reef, occupying 30% of the bottom. The remaining parts of the hard substrata were occupied by macrophytes. The rest of the hard substrata was overgrown by macrophytes.
3.2.2. The End of the Dry Season
Heavily Polluted Area (Transect 1)
At the end of the dry season in 2017, the upper intertidal zone along transect 1 (Figure 1C) was mainly occupied by the same monodominant and bidominant communities as in the rainy season in 2016, occupying the same substrata. In this zone, shaded vertical and inclined surfaces of stony blocks were overgrown by a bidominant turf community of Polysiphonia howei and Cladophoropsis sundanensis. Out of the community, Centroceras clavulatum, Gelidium pusillum (Rh); Siphonogramen abbreviatum, and Rhizoclonium riparium (Ch) were commonly found.
In the middle intertidal zone, the stony bottom (as in the autumn of 2016) was occupied by a monodominant community of crust algae (see above) and the green alga, Ulva flexuosa (Figure S2A). Here, the remaining parts of hard coral colonies covered with silt were occupied by a monodominant community of the blue-greeen alga, Lyngbya majuscula (Figure S2B), and below the greater part of the hard substratum was overgrown with a monodominant community of the green blade-like alga, Ulva lactuca (Figure S2C).
In the lower intertidal zone, the surfaces of dead coral blocks were overgrown by a monodominant community of the red turf-forming alga, Centroceras clavulatum (Figure S2D), with accompanying species. This community occupied 90% of the substratum. Out of the algal turf, Acanthophora muscoides, Hypnea pannosa, H. spinella, Spyridia filamentosa (Rh), Sargassum polycystum (Ph), Bryopsis pennata, Ulva lactuca (Ch), and live colonies of massive hard corals were commonly found.
In the upper subtidal zone as well as in the lower intertidal zone, the main community was represented by algal turf with a mosaic dominance of species, such as Centroceras clavulatum, Hypnea pannosa, H. valentiae, Jania adhaerens (Rh), Caulerpa racemosa (Ch) and the blue-green alga, Lyngbya majuscula. The green alga, C. racemose, grew on the remains of massive coral colonies covered with silt, often overgrowing the community with the dominance C. clavulatum, and forming a monodominant community (Figure S2E). Out of the algal turf community, large Sargassaceae (Sargassum polycystum, S. sanyaense, and Turbinaria ornata) were commonly found.
The algal community growing in the middle part of the concrete chute in a flow run from a fish farm was similar to that growing in the rainy season, and it was represented by a dense monodominant community of the red alga, Grateloupia filicina, overgrown by the epiphyte, Ceramium cimbricum. Caulerpa sertularioides f. longiseta and C. racemosa were the main accompanying species. A bidominant community of the green algae, Trichosolen mucronatus and Ulva flexuosa, occupied marginal parts of the chute.
Moderately Polluted Area (Transect 2).
In 2017, monodominant communities similar to those of transect 1 occupied the upper intertidal zone along transect 2 (Figure 1D). In the middle intertidal zone, a mosaic polydominant community was the main one, which occupied mainly the flat carbonate reef bases with a dominance of the following species: Centroceras clavulatum, Gelidiella bornetii, Palisada papillosa (Rh), and the blue-green alga, Lyngbya majuscula (Figure S2F), and the accompanying species were represented by common species, such as Acanthophora muscoides, Gelidium pusillum var. cylindricum (Rh), Colpomenia sinuosa, and Padina minor (Ph). Vertical surfaces of reef bases and coral blocks were overgrown by a monodominant community of Lobophora variegata (Ph). Monodominant communities of crust algae (the red alga, Hildenbrandia rubra, and the brown alga, Ralfsia verrucosa) as well as in the rainy season occupied the stony bottom.
In the lower intertidal zone, a polydominant community of turf-forming algae overgrew on the flat surfaces of dead coral blocks: Acanthophora spicifera, Amphiroa fragilissima, Centroceras clavulatum, Spyridia filamentosa, Hypnea valentiae, Jania adhaerens (Rh), Padina minor (Ph), and Dictyosphaeria cavernosa (Figure S2G). A monodominant community of the green alga, Caulerpa racemose, often overgrowing a polydominant community of algal turf, occupied the hard substrata covered with silt and sand. Upright growing brown algae with large thalli from the genera, Dictyota, Padina, Sargassum, and Turbinaria, were commonly found in the communities and on free substrata.
Hard substrata in the upper subtidal zone were occupied by hermatypic corals with a coverage of ~50% (Figure S2H), and the rest of the surface of the carbonate reef base was overgrown by algal communities, primarily by polydominant mosaic algal turf communities with dominant species, such as Centroceras clavulatum, Hypnea pannosa, H. valentiae, Jania adhaerens, and Spyridia filamentosa (Figure S2I).
A monodominant community of the green alga, C. racemosa, occupied ~10% of the hard substratum (coral reef base) covered with sand. Sargassum ilicifolium, S. polycystum, S. sanyaense, and Turbinaria ornata formed a dense bed from the low intertidal zone to the upper subtidal zone (Figure S2J).
4. Discussion
4.1. Richness and Taxonomic Composition of the Marine Flora of Hainan Island
In our previous investigations on the marine flora of Hainan Island conducted during the dry and rainy seasons of 2008 to 2012 at eight localities (three of these are located in Sanya Bay), we found 252 species, including 53% Rh, 16% Ph, and 31% Ch [23].
In the present work, we found that more than 50% of the macrophyte species were detected earlier in Hainan. The axonomic composition of the algal collection in 2016 to 2017 (48% red algae, 20% brown algae, and 32% green algae) was close to that found in 2008 to 2012. Three species, including Boodlea coacta, Caulerpa sertularioides, and Siphonogramen abbreviatum (Ch), were new records for Hainan Island.
The main characteristics (taxonomic and ecological features) of the benthic flora in Sanya Bay revealed in this study coincided with those found earlier for other localities of Hainan Island [23]. Special features of the macrophyte flora were the richness with the predominance of red algae (50–60%) and green algae (25–35%), a clearly increasing gradient in species numbers from the upper to the lower intertidal zone, predominance of monodominant and bidominant communities of the algal turf and crust algae in the upper and the middle intertidal zones, and polydominant communities in the lower intertidal and the upper subtidal zones.
In a previous study, we compared the benthic flora of Sanya Bay in heavily polluted sites (waste from farms on the cultivation of marine animals) and moderately polluted areas at the end of the dry season in 2014 [18]. We found that the macroalgal species richness was decreased from 71 species in moderately polluted areas to 40 species in heavily polluted areas, while macroalgal biomass was increased from 1.1 kg m2 to 1.58 kg m2, mainly by the blooming of green algae in the middle (Ulva spp.) and lower intertidal zones (Caulerpa racemosa) as well as brown algae in the upper subtidal zone.
In the investigations conducted at the end of the dry season in 2017 at the same sites as in 2014, we confirmed the data of 2014, such as the impoverishment of marine flora in heavily polluted areas at the expense of all macrophyte groups by a significant increase in biomass and the projective coverage of the substratum with green algae (green bloom). We also showed that the benthic flora in heavily and moderately polluted areas were close to each other in terms of species composition and the structure of algal communities. The greatest differences in species composition and the structure of algal communities between heavily and moderately polluted areas were observed in the middle intertidal zone.
4.2. Seasonal Changes in the Benthic Flora in Rainy and Dry Seasons
Seasonal changes in species diversity and the structure of algal communities in shallow Sanya Bay were investigated earlier [15,16], and these changes were confirmed by our recent study performed in heavily and moderately polluted areas. Overall, species numbers were increased from the rainy to the dry seasons from the upper to the lower intertidal zones. Different monodominant or bidominant algal turf communities and crust algae with occasional accompanying algae protruding through the turf occupied the upper intertidal zone in shallow Sanya Bay. This zone was occupied by dominant species capable of enduring or quickly recovering under the extremely erratic environmental conditions.
In the middle intertidal zone, a greater diversity of ephemeral red and green algae was detected, particularly during the dry season. This zone was richer than the previous one, both by species and communities, which might be attributed to the more comfortable conditions of their existence compared with the upper intertidal zone. Algae were exposed to air at low tide for shorter time, and the substratum covered with silt and sandy sediments insulated the algae and their spores from any adverse conditions. There were marked clear seasonal changes in the flora: More than twice the numbers of species were found during the dry seasons compared with the rainy seasons, the species composition of mono- and bidominant communities was also changed, and polydominant algal turf communities that were absent in the upper intertidal zone were formed. In this zone, mono- and bidominant communities of crust and turf-forming algae dominated throughout the year, the number of which was increased in the dry season. During the dry seasons, green and blue-green algae were the most diverse and dominant in communities. We assumed that green, blue-green, and red opportunistic algae in the upper and the middle intertidal zones thrived during the dry season due to their tolerance to drought and the absence of competition for space with other algae under these extreme conditions [52].
Primarily polydominant algal turf communities, and mono- and bidominant communities of upright-growing brown algae dominated in the lower intertidal zone; red and brown algae were mainly aseasonal annuals and perennials. Seasonal changes in the flora of benthic algae appeared to increase the species diversity of macrophytes in the dry season and in the change of dominant species in algal turf communities.
The upper subtidal communities were characterized by a mosaic polydominant algal turf community and by a bidominant community of Sargassum species. In the polydominant community, seasonal changes in dominant species occurred mainly among annual fleshy, calcareous articulated and leathery forms. It was considered that these changes were caused by periodic annual changes in the community due to thallus detachment from hard substrata, and the formation of new algal communities [45].
Therefore, we, for the first time, revealed that seasonal changes in the benthic flora of Sanya Bay occurred at sites with moderate pollution, as well as at sites with extreme pollution by nutrients. Some of the changes did not depend on the level of pollution. Such changes included: (1) The increase in species diversity of macrophytes at the end of the dry season; (2) changes in the composition of dominant and accompanying species of macrophytes in polydominant communities in the succession process of algal turf during the transition from one season to another. These seasonal changes in the species diversity of macrophytes in the intertidal zones appeared to be caused by high temperatures during the dry season and by seawater desalinization and frequent storms during the rainy season. It is known that these extreme factors lead to a decrease in production and the disappearance of nonresistant algae [9,28], and provide open space for ephemeral, opportunistic, and highly productive algae [51]. In our opinion, the dominance of green algae in the upper intertidal zone, primarily seasonal ephemerals, seemed to be caused by their ability to endure or quickly recover from the extremely erratic environmental conditions. In the middle intertidal zone, a greater diversity of ephemeral red and green algae was detected, particularly during the dry season. In this zone, mud and sand frequently covered the algae and their spores, insulating them from any adverse conditions. The low intertidal and upper subtidal zones were dominated primarily by red and brown algae that were mainly aseasonal annuals and perennials. Their occurrence and succession patterns were affected by the more stable environmental conditions and predictable annual changes in the overall flora. In this zone, seasonal changes in the flora occurred mainly by the change in the dominant species of these algal turf communities, but not by changes in the species composition of polydominant turf communities. These changes occurred in the succession process of the communities and mostly depended on such internal factors as the length of the life cycle of algal species comprising the community, their productivity, and competitive abilities.
Specific features of the seasonal changes in the marine flora of differently polluted areas were as follows: (1) A smaller change in species diversity in the heavily polluted area compared with the moderately polluted area during the transition from the rainy to dry seasons; (2) multiple increases in biomass and projective coverage of substrata with green algae in the middle and lower intertidal zones of heavily polluted areas by the end of the dry season; (3) an increase in the number of mono- and bidominant communities in the middle and lower intertidal zones of heavily polluted areas by the end of the dry season.
We assumed that the reason for these specific changes could be attributed to the influence of different nutrient concentrations on the competitive abilities of species during the succession process of algal turf [52]. Under extremely high concentrations of nutrients, mono-, bi- or polydominant communities are formed with less numbers of dominant and accompanying species (in comparison with common conditions) that determined the specific features of seasonal changes in the marine flora of extremely polluted areas.
5. Conclusions
We, for the first time, showed the effects of extremely high levels of pollution of dissolved inorganic compounds of nitrogen and phosphorus on the seasonal changes of the benthic marine flora of coral reefs. The constant influence of extremely high concentrations of nutrients in seawater led not only to a decrease in species diversity (impoverishment of the flora) and changes in the structure of communities (formation of mono- and bidominant algal turf communities), but also to seasonal changes in the marine flora. Specific features of seasonal changes in the flora of heavily polluted sites were: Low level of species abundance during the dry season; multiple increases in biomass and projective coverage of substrata with green algae in the dry season; an increase in the number of mono- and bidominant communities in the middle and lower intertidal zones by the end of the dry season.
Supplementary Materials
The following are available online at https://www.mdpi.com/2077-1312/7/4/93/s1, Figure S1: Algal communities in Luhuitou reef in rainy season 2016, Figure S2: Algal communities at Luhuitou reef in the dry season 2017, Table S1: List of the seaweeds of Luhuitou, sampled in November 2016 and in March–April 2017.
Author Contributions
E.A.T. and X.L. conceived and designed the experiments; E.A.T., T.V.T., A.V.S., H.X. and X.L. performed the experiments, E.A.T., T.V.T. and X.L. performed the data analysis, and drafted the manuscript; H.H. and X.L. supervised the project. All the authors reviewed and approved the final manuscript.
Funding
This work was financially supported by the National Natural Science Foundation of China (41476134), the Open Project of State Key Laboratory of Marine Resource Utilization in South China Sea (DX2017003), the Foundation of Hainan University (KYQD(ZR)1805) and the grant ‘China–Russia special funds 2018’ from the Chinese Academy of Sciences.
Conflicts of Interest
The authors declare no conflict of interest.
References
- Fong, P.; Zedler, J.B. Temperature and light effects on the seasonal succession of algal communities in shallow coastal ecosystems. J. Exp. Mar. Biol. Ecol. 1993, 171, 259–272. [Google Scholar] [CrossRef]
- Kennish, R. Diet composition influences the fitness of the herbivorous crab Grapsus albolineatus. Oecologia 1996, 105, 22–29. [Google Scholar] [CrossRef] [PubMed]
- Pedersen, M.F.; Borum, J. Nutrient control of estuarine macroalgae: Growth strategy and the balance between nitrogen requirements and uptake. Mar. Ecol. Prog. Ser. 1996, 161, 155–163. [Google Scholar] [CrossRef]
- Su, S.W.; Chung, I.C.; Lee, T.M. Temporal dynamics of rockyshore macroalgal assemblage structures in relation to coastal construction threats in Orchard Island (Taiwan): Impacts of turbidity and nutrients on the blooms of Galaxaura oblongata and a red alga-spongesymbiose Ceratodictyon/Haliclona. Kuroshio Sci. 2009, 3, 63–80. [Google Scholar]
- Lopez Gappa, J.; Tablado, A.; Magaldi, N.H. Seasonal changes in an intertidal community affected by sewage pollution. Environ. Pollut. 1993, 82, 157–165. [Google Scholar] [CrossRef]
- Costa, O.S., Jr.; Zman, L.; Nimmo, M.; Attrill, M.J. Nitrification impacts on coral reefs from northern Bahia, Brazil. Hydrobiologia 2000, 440, 307–315. [Google Scholar] [CrossRef]
- Costa, O.S., Jr.; Attrilla, M.J.; Pedrinib, A.G.; De-Paulab, J.C. Spatial and seasonal distribution of seaweeds on coral reefs from southern Bahia, Brazil. Bot. Mar. 2002, 45, 346–355. [Google Scholar] [CrossRef]
- Mayakun, J.; Prathep, A. Seasonal variations in diversity and abundance of macroalgae at Samui Island, Surat Thani Province, Thailand Songklanakarin. J. Sci. Technol. 2005, 27, 653–663. [Google Scholar]
- Ateweberhan, M.; Bruggemann, J.H.; Breeman, A.M. Effects of extreme seasonality on community structure and functional group dynamics of coral reef algae in the southern Red Sea (Eritrea). Coral Reefs 2006, 25, 391–406. [Google Scholar] [CrossRef]
- García, C.B.; Díaz-Pulido, G. Dynamics of a macroalgal rocky intertidal community in the Colombian Caribbean. Bol. Investig. Mar. Cost. 2006, 35, 7–18. [Google Scholar] [CrossRef]
- Lirman, D.; Deangelo, G.; Serafy, J.; Hazra, A.; Hazra Smith, D.; Herlan, J.; Luo, J.; Bellmund, S.; Wang, J.; Clausing, R. Seasonal changes in the abundance and distribution of submerged aquatic vegetation in a highly managed coastal lagoon. Hydrobiologia 2008, 596, 105–120. [Google Scholar] [CrossRef]
- Thakur, M.C.; Reddy, C.R.K.; Jha, B. Seasonal variation in biomass and species composition of seaweeds stranded along Port Okha, northwest coast of India. J. Earth Syst. Sci. 2008, 117, 211–218. [Google Scholar] [CrossRef]
- Maraşlıoğlu, F.; Soylu, E.N.; Karaca, S.A. Seasonal and spatial variation of epilithic algal community in Batlama Stream (Giresun, Turkey). Hittite J. Sci. Eng. 2017, 4, 39–44. [Google Scholar] [CrossRef]
- Titlyanov, E.A.; Kiyashko, S.I.; Titlyanova, T.V.; Yakovleva, I.M.; Li, X.B.; Huang, H. Nitrogen sources to macroalgal growth in Sanya Bay (Hainan Island, China). Curr. Dev. Oceanogr. 2011, 2, 65–84. [Google Scholar]
- Titlyanov, E.A.; Titlyanova, T.V.; Huang, H.; Li, X. Seasonal changes in benthic algal communities of the upper subtidal zone in Sanya Bay (Hainan Island, China). J. Mar. Biol. Assoc. UK 2013, 94, 51–64. [Google Scholar] [CrossRef]
- Titlyanov, E.A.; Titlyanova, T.V.; Li, X.B.; Hansen, G.I.; Huang, H. Seasonal changes in the intertidal algal communities of Sanya Bay (Hainan Island, China). J. Mar. Biol. Assoc. UK 2014, 94, 879–893. [Google Scholar] [CrossRef]
- Huang, H.; Li, X.B.; Titlyanov, E.A.; Ye, C.; Titlyanova, T.V.; Guo, P.Y.; Zhang, J. Linking macroalgal δ15 N-values to nitrogen sources and effects of nutrient stress on coral condition in an upwelling region. Bot. Mar. 2013, 56, 471–480. [Google Scholar] [CrossRef]
- Li, X.B.; Titlyanov, E.A.; Zhang, J.; Titlyanova, T.V.; Zhang, G.; Huang, H. Macroalgal assemblage changes on coral reefs along a natural gradient from fish farms in southern Hainan Island Aquatic. Ecosyst. Health Manag. 2016, 19, 74–82. [Google Scholar] [CrossRef]
- Morand, P.; Briand, X. Excessive growth of macroalgae: A symptom of environmental disturbance. Bot. Mar. 1996, 39, 491–516. [Google Scholar] [CrossRef]
- Morand, P.; Merceron, M. Coastal eutrophication and excessive growth of macroalgae. Recent Res. Dev. Environ. Biol. 2004, 1, 395–449. [Google Scholar]
- Lapointe, B.E.; Barile, P.J.; Littler, M.M.; Littler, D.S.; Bedford, B.J.; Gasque, C. Macroalgal blooms on southeast Florida coral reefs: I. Nutrient stoichiometry of the invasive green alga Codium isthmocladum in the wider Caribbean indicates nutrient enrichment. Harmful Algae 2005, 4, 1092–1105. [Google Scholar] [CrossRef]
- Lapointe, B.E.; Barile, P.J.; Littler, M.M.; Littler, D.S. Macroalgal blooms on southeast Florida coral reefs: II. Cross-shelf discrimination of nitrogen sources indicates widespread assimilation of sewage nitrogen. Harmful Algae 2005, 4, 1106–1122. [Google Scholar] [CrossRef]
- Titlyanov, E.A.; Titlyanova, T.V.; Li, X.B.; Huang, H. An inventory of marine benthic macroalgae of Hainan Island, China. Russ. J. Mar. Biol. 2018, 44, 175–184. [Google Scholar] [CrossRef]
- Furnas, M.; Mitchell, A.; Skuza, M. Shelf-scale nitrogen and phosphorus budgets for the central Great Barrier Reef (16°−19° S). In Proceedings of the 8th International Coral Reef Symposium, Balboa, Panama, 24–29 June 1997; Volume 1, pp. 809–814. [Google Scholar]
- Charpy, L.; Charpy-Roubaud, C.; Buat, P. Excess primary production, calcification and nutrient fluxes of a patch reef (Tikehau atoll, French Polynesia). Mar. Ecol. Prog. Ser. 1998, 173, 139–147. [Google Scholar] [CrossRef]
- Charpy-Roubaud, C.J.; Charpy, L. Nutrients, particulate organic matter, and planktonic and benthic production of the Tikehau Atoll (Tuamotu Archipelago French Polynesia). Atoll Res. Bull. 1994, 415–425, 1–30. [Google Scholar] [CrossRef]
- Briggs, J.C. Marine Zoogeography; McGraw-Hill: New York, NY, USA, 1974; 475p. [Google Scholar]
- Lüning, K. Seaweeds: Their Environment, Biogeography and Ecophysiology; John Wiley & Sons, Inc.: New York, NY, USA; Chichester, UK; Brisbane, Australia; Toronto, ON, Canada; Singapore, 1990; 527p. [Google Scholar]
- Li, X.B. Identification of Major Factors Influencing the Composition, Spatial and Temporal Variation of Scleractinian Coral Community in Sanya, China. Ph.D. Thesis, Chinese Academy of Sciences, Beijing, China, 2011; pp. 1–107. (In Chinese). [Google Scholar]
- Hutchings, P.A.; Wu, B.L. Coral reefs of Hainan Island, South China Sea. Mar. Pollut. Bull. 1987, 18, 25–26. [Google Scholar] [CrossRef]
- Fiege, D.; Neumann, V.; Jinhe, L. Observations on coral reefs of Hainan Island, South China Sea. Mar. Pollut. Bull. 1994, 29, 84–89. [Google Scholar] [CrossRef]
- Zhang, Q.; Xu, X.Z.; Long, X.M. A numerical study on internal tides in the northeast of the South China Sea. J. Trop. Oceanol. 1996, 14, 15–23. [Google Scholar]
- Hodgson, G.; Yau, E.P.M. Physical and biological controls of coral communities in Hong Kong. In Proceedings of the 8th International Coral Reef Symposium; Lessios, H.A., Macintyre, I.G., Eds.; Tropical Research Institute: Balboa, Panama, 1997; Volume 1, pp. 459–464. [Google Scholar]
- Zhang, G.; Que, H.; Liu, X.; Xu, H. Abalone mariculture in China. J. Shellfish Res. 2004, 23, 947–950. [Google Scholar]
- Tadashi, K.; Dai, C.F.; Park, H.-S.; Huang, H.; Ang, P.O. Status of coral reefs in East and North Asia (China, Hong Kong, Taiwan, South Korea and Japan. In Status of Coral Reefs of the World; Wilkinson, C., Ed.; Global Coral Reef Monitoring: Townsville, Australia, 2008; pp. 145–158. [Google Scholar]
- Tseng, C.K. Common Seaweeds of China; Science Press Book: Beijing, China, 1983; 316p. [Google Scholar]
- Tseng, C.K. The past, present and future of phycology in China. Hydrobiologia 2004, 512, 11–20. [Google Scholar] [CrossRef]
- Titlyanov, E.A.; Titlyanova, T.V.; Xia, B.M.; Bartsch, I. Checklist of marine benthic green algae (Chlorophyta) on Hainan, a subtropical island off the coast of China: Comparisons between the 1930s and 1990–2009 reveal environmental changes. Bot. Mar. 2011, 54, 523–535. [Google Scholar] [CrossRef]
- Titlyanov, E.A.; Titlyanova, T.V.; Belous, O.S.; Kalita, T.L. Inventory change (1990s–2010s) in the marine flora of Sanya Bay (Hainan Island, China). J. Mar. Biol. Assoc. UK 2015, 95, 461–470. [Google Scholar] [CrossRef]
- Titlyanov, E.A.; Titlyanova, T.V.; Li, X.; Huang, H. Recent (2008–2012) seaweed flora of Hainan Island, South China Sea. Mar. Biol. Res. 2015, 11, 540–550. [Google Scholar] [CrossRef]
- Titlyanov, E.A.; Titlyanova, T.V.; Xia, B.M.; Bartsch, I. Retrospective analysis of diversity and species composition of marine macroalgae of Hainan Island (China). Ocean Sci. 2016, 51, 485–506. [Google Scholar] [CrossRef]
- Titlyanov, E.A.; Titlyanova, T.V.; Li, X.B.; Huang, H. Coral Reef Marine Plants of Hainan/Island; Academic Press: Amsterdam, The Netherlands, 2016; p. 243. [Google Scholar]
- Titlyanova, T.V.; Titlyanov, E.A.; Xia, B.; Bartsch, I. New records of benthic marine green algae (Chlorophyta) for the island of Hainan, China. Nova Hedwig. 2012, 94, 441–470. [Google Scholar] [CrossRef] [PubMed]
- Titlyanova, T.V.; Titlyanov, E.A.; Kalita, T.L. Marine algal flora of Hainan Island: A comprehensive synthesis. Coast. Ecosyst. 2014, 1, 28–53. [Google Scholar]
- Titlyanov, E.A.; Titlyanova, T.V. Changes in the species composition of benthic macroalgal communities of the upper subtidal zone on a coral reef in Sanya Bay (Hainan Island, China) during 2009–2012. Russ. J. Mar. Biol. 2013, 39, 413–419. [Google Scholar] [CrossRef]
- Guiry, M.D.; Guiry, G.M. AlgaeBase. National University of Ireland: Galeay, Ireland, 2018. Available online: http://www.algaebase.org (accessed on 10 December 2018).
- Saunders, G.W.; Hommersand, M.H. Assessing red algal supraordinal diversity and taxonomy in the context of contemporary systematic data. Am. J. Bot. 2004, 91, 1494–1507. [Google Scholar] [CrossRef] [PubMed]
- Tsuda, R.T. Checklist and bibliography of the marine benthic algae from the Mariana Islands (Guam and CNMI). Univ. Guam Mar. Lab. Technol. Rep. 2003, 107, 1–49. [Google Scholar]
- Tsuda, R.T. Checklist and bibliography of the marine benthic algae within Chuuk, Pohnpei, and Kosrae States, Federated States of Micronesia. Univ. Guam Mar. Lab. Technol. Rep. 2006, 34, 1–35. [Google Scholar]
- Clarke, K.R.; Green, R.H. Statistical design and analysis for a ‘biological effects’ study. Mar. Ecol. Prog. Ser. 1988, 46, 213–226. [Google Scholar] [CrossRef]
- Clarke, K.R.; Gorley, R.N. PRIMER v5: User Manual/Tutorial; PRIMER-E: Plymouth, UK, 2001. [Google Scholar]
- Nabivailo, Y.V.; Titlyanov, E.A. Competitive relationships in natural and artificial algal communities. Russ. J. Mar. Biol. 2006, 32, 21–31. [Google Scholar] [CrossRef]
© 2019 by the authors. Licensee MDPI, Basel, Switzerland. This article is an open access article distributed under the terms and conditions of the Creative Commons Attribution (CC BY) license (http://creativecommons.org/licenses/by/4.0/).




