Evaluation of Liquefaction Potential in Saturated Sand under Different Drainage Boundary Conditions—An Energy Approach
Abstract
:1. Introduction
2. Cyclic Triaxial Tests with Simulated Drainage Boundary
2.1. Basic Concepts and Realization of Different Drainage Conditions
2.2. Sand Properties and Experiment Conditions
3. Test Results and Analysis
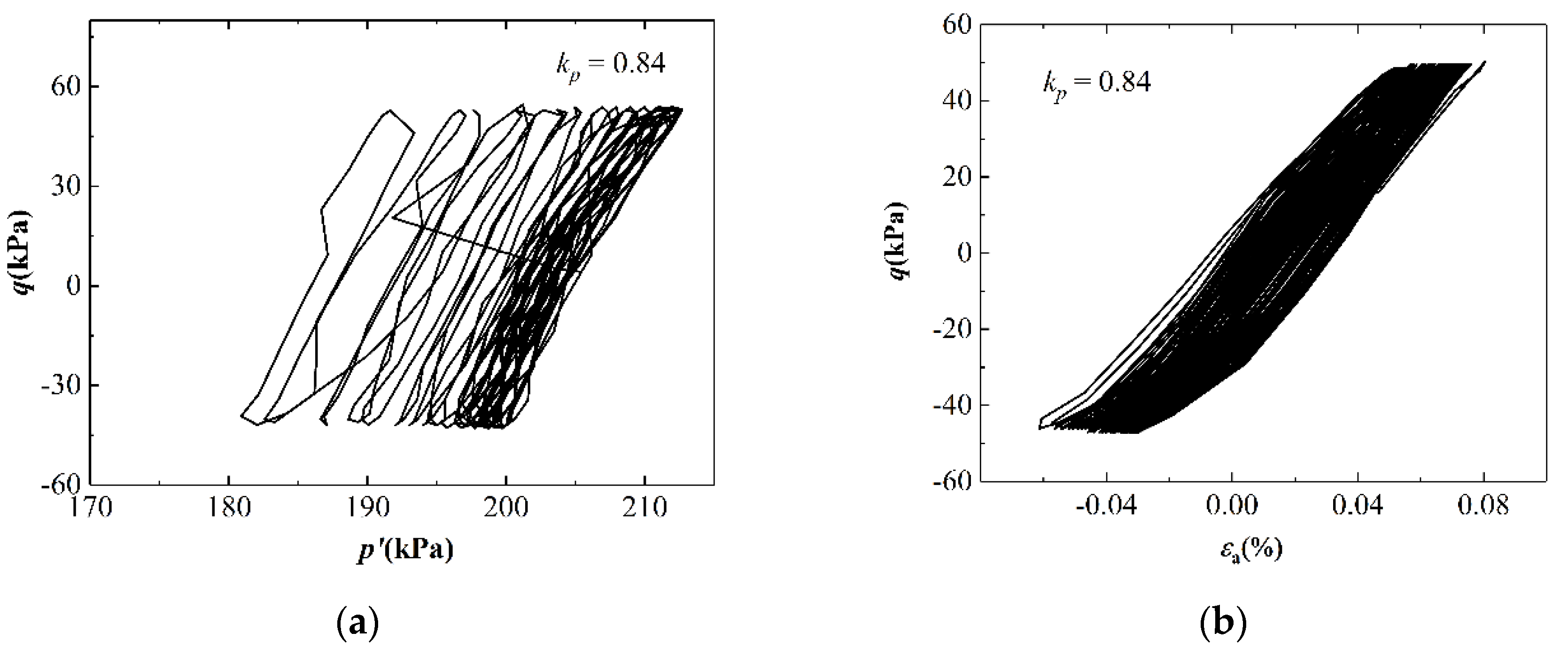
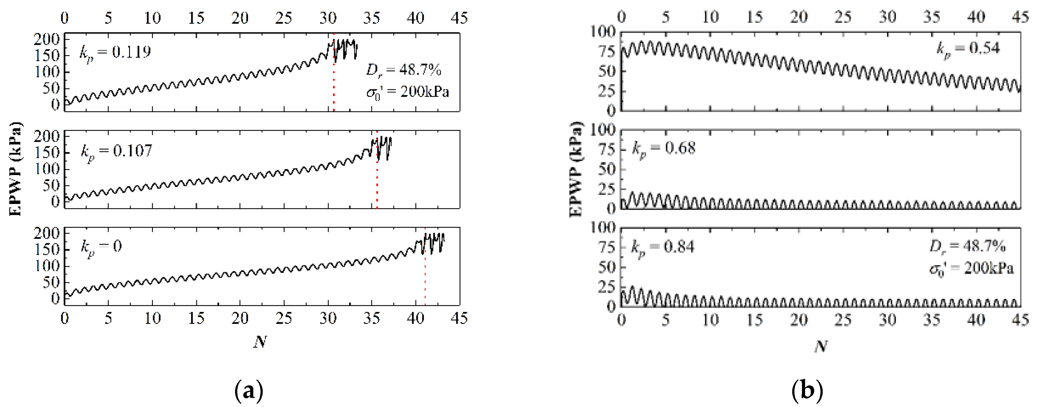
3.1. Preliminary Results
3.2. Liquefaction Potential Evaluation
3.2.1. Energy-Based Analysis and Database Building
3.2.2. MLP-Based and NF-Based NN Model
4. Conclusions
- (1)
- The test results indicate that the drainage boundary evidently affect the EPWP response regularity. The sand specimens will not achieve liquefaction under cyclic loading as drainage ability is good (0.54 ≤ kp ≤ 1.0). Otherwise, the specimens will liquefy under poor drainage boundary conditions (0 ≤ kp ≤ 0.17). Analyzed by an energy approach, it results from the fact that the sample consumes less capacity energy as the drainage boundary alerts better. It is assumed that a seepage in sand caused by the partial drainage boundary condition results in pore water accumulating and EPWP increases rapidly in a liquefied group.
- (2)
- A technique was employed to calculate Wliq from the stress–strain curves of other research. After gathering data and conversion of the drainage effect quantifying parameter from drainage effect research, a database considering kp was built for Wliq prediction.
- (3)
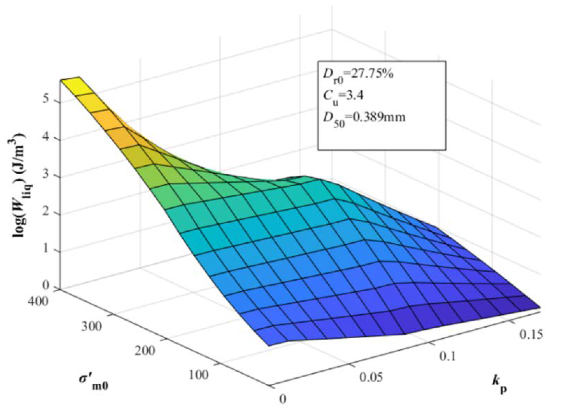
- The traditional statistical model and different NN models were constructed for Wliq prediction. Results indicate that an NF-based NN model has better performance and the accuracy rate of capacity energy assessment under different drainage is about 80%. The visual perception figure provided by an NF-based model suggests that the dense specimen will consume more capacity energy (as Dr0 increases).
Author Contributions
Funding
Acknowledgments
Conflicts of Interest
References
- Liu, H.; Chen, Y.; Yu, T.; Yang, G. Seismic analysis of the zipingpu concrete-faced rockfill dam response to the 2008 wenchuan, china, earthquake. J. Perform. Constr. Facil 2013, 29, 04014129. [Google Scholar] [CrossRef]
- Sassa, S.; Takagawa, T. Liquefied gravity flow-induced tsunami: First evidence and comparison from the 2018 indonesia sulawesi earthquake and tsunami disasters. Landslides 2018, 16, 195–200. [Google Scholar] [CrossRef]
- Ohara, S.; Yamamoto, T. Effect of drainage on the liquefaction resistance of saturated sand using shaking table. Soils Found. 1982, 22, 17–22. (In Japanese) [Google Scholar]
- Umehara, Y.; Zen, K.; Hamada, K. Evaluation of soil liquefaction potentials in partially drained conditions. Soils Found. 1985, 25, 57–72. [Google Scholar] [CrossRef]
- Yamamoto, Y.; Hyodo, M.; Orense, R.P. Liquefaction resistance of sandy soils under partially drained condition. J. Geotech. Geoenviron. Eng. 2009, 135, 1032–1043. [Google Scholar] [CrossRef]
- Wang, B.; Zen, K.; Chen, G.Q.; Zhang, Y.B.; Kasama, K. Excess pore pressure dissipation and solidification after liquefaction of saturated sand deposits. Soil Dyn. Earthq. Eng. 2013, 49, 157–164. [Google Scholar] [CrossRef]
- Adamidis, O.; Madabhushi, S.P.G. Experimental investigation of drainage during earthquake-induced liquefaction. Geotechnique 2018, 68, 655–665. [Google Scholar] [CrossRef]
- Baziar, M.H.; Jafarian, Y.; Shahnazari, H.; Movahed, V.; Tutunchian, M.A. Prediction of strain energy-based liquefaction resistance of sand-silt mixtures: An evolutionary approach. Comput. Geosci. 2011, 37, 1883–1893. [Google Scholar] [CrossRef]
- Jafarian, Y.; Towhata, I.; Baziar, M.H.; Noorzad, A.; Bahmanpour, A. Strain energy based evaluation of liquefaction and residual pore water pressure in sands using cyclic torsional shear experiments. Soil Dyn. Earthq. Eng. 2012, 35, 13–28. [Google Scholar] [CrossRef]
- Polito, C.; Green, R.A.; Dillon, E.; Sohn, C. Effect of load shape on relationship between dissipated energy and residual excess pore pressure generation in cyclic triaxial tests. Can. Geotech. J. 2013, 50, 1118–1128. [Google Scholar] [CrossRef]
- Baziar, M.H.; Jafarian, Y. Assessment of liquefaction triggering using strain energy concept and ann model: Capacity energy. Soil Dyn. Earthq. Eng. 2007, 27, 1056–1072. [Google Scholar] [CrossRef]
- Yang, Z.X.; Pan, K. Energy-based approach to quantify cyclic resistance and pore pressure generation in anisotropically consolidated sand. J. Mater. Civ. Eng. 2018, 30, 10. [Google Scholar] [CrossRef]
- Baziar, M.H.; Sharafi, H. Assessment of silty sand liquefaction potential using hollow torsional tests—An energy approach. Soil Dyn. Earthq. Eng. 2011, 31, 857–865. [Google Scholar] [CrossRef]
- Alavi, A.H.; Gandomi, A.H. Energy-based numerical models for assessment of soil liquefaction. Geosci. Front. 2012, 3, 541–555. [Google Scholar] [CrossRef]
- Cabalar, A.F.; Cevik, A.; Gokceoglu, C. Some applications of adaptive neuro-fuzzy inference system (anfis) in geotechnical engineering. Comput. Geotech. 2012, 40, 14–33. [Google Scholar] [CrossRef]
- Zhang, W.; Goh, A.T.; Zhang, Y.; Chen, Y.; Xiao, Y. Assessment of soil liquefaction based on capacity energy concept and multivariate adaptive regression splines. Eng. Geol. 2015, 188, 29–37. [Google Scholar] [CrossRef]
- Towhata, I.; Ishihara, K. Shear work and pore water pressure in undrained shear. Soils Found. 1985, 25, 73–84. [Google Scholar] [CrossRef]
- Liang, L. Development of an Energy Method For Evaluating The Liquefaction Potential of a Soil Deposit. Ph.D. Thesis, Case Western Reserve University, Cleveland, OH, USA, 1995. [Google Scholar]
- Dief, H.M. Evaluating the Liquefaction Potential of Soils by the Energy Method in the Centrifuge. Ph.D. Thesis, Case Western Reserve University, Cleveland, OH, USA, 2001. [Google Scholar]
- Green, R.A. Energy-Based Evaluation and Remediation of Liquefiable Soils. Ph.D. Thesis, Virginia Polytechnic Institute and State University, Blacksburg, VA, USA, 2001. [Google Scholar]
- Zeghal, M.; El-Shafee, O.; Abdoun, T. Analysis of soil liquefaction using centrifuge tests of a site subjected to biaxial shaking. Soil Dyn. Earthq. Eng. 2018, 114, 229–241. [Google Scholar] [CrossRef]
- Shafee, O.E.; Abdoun, T.; Zeghal, M. Centrifuge modelling and analysis of site liquefaction subjected to biaxial dynamic excitations. Géotechnique 2017, 67, 260–271. [Google Scholar] [CrossRef]
- Wang, B.; Yao, C.; Liu, Z.; Fan, H.; Xiao, H. Development of an energy-based epwp generation model under different drainage conditions. IOP Conf. Ser. Earth Environ. Sci 2019, 304, 022053. [Google Scholar] [CrossRef]
- Ma, L.; Li, Z.; Wang, M.; Wei, H.; Fan, P. Effects of size and loading rate on the mechanical properties of single coral particles. Powder Technol. 2019, 342, 961–971. [Google Scholar] [CrossRef]
- Lagioia, R.; Sanzeni, A.; Colleselli, F. Air, water and vacuum pluviation of sand specimens for the triaxial apparatus. Soils Found. 2006, 46, 61–67. [Google Scholar] [CrossRef]
- ASTM D5311/D5311M-13, 2013, Standard Test Method for Load Controlled Cyclic Triaxial Strength of Soil. ASTM International: West Conshohocken, PA, USA, 2013; Available online: www.astm (accessed on 12 November 2019).
- Polito, C.P.; Moldenhauer, H.H.M. Energy dissipation and pore pressure generation in stress-and strain-controlled cyclic triaxial tests. Geotech. Test. J. 2019, 42, 1083–1089. [Google Scholar] [CrossRef]
- Javdanian, H. Evaluation of soil liquefaction potential using energy approach: Experimental and statistical investigation. Bull. Eng. Geol. Environ. 2019, 78, 1697–1708. [Google Scholar] [CrossRef]
- Zeghal, M.; Elgamal, A.-W.; Zeng, X.; Arulmoli, K. Mechanism of liquefaction response in sand–silt dynamic centrifuge tests. Soil Dyn. Earthq. Eng. 1999, 18, 71–85. [Google Scholar] [CrossRef]
- Baziar, M.H.; Rostami, H. Earthquake demand energy attenuation model for liquefaction potential assessment. Earthq. Spectra 2017, 33, 757–780. [Google Scholar] [CrossRef]
- Figueroa, J.L.; Saada, A.S.; Liang, L.; Dahisaria, N.M. Evaluation of soil liquefaction by energy principles. J. Geotech. Eng. 1994, 120, 1554–1569. [Google Scholar] [CrossRef]
- Liang, L.; Figueroa, J.L.; Saada, A.S. Liquefaction under random loading: Unit energy approach. J. Geotech. Eng. 1995, 121, 776–781. [Google Scholar] [CrossRef]
- Maier, H.R.; Dandy, G.C. Neural networks for the prediction and forecasting of water resources variables: A review of modelling issues and applications. Environ. Model. Softw. 2000, 15, 101–124. [Google Scholar] [CrossRef]
- Maier, H.R.; Jain, A.; Dandy, G.C.; Sudheer, K.P. Methods used for the development of neural networks for the prediction of water resource variables in river systems: Current status and future directions. Environ. Model. Softw. 2010, 25, 891–909. [Google Scholar] [CrossRef]
- Shahin, M.A.; Maier, H.R.; Jaksa, M.B. Data division for developing neural networks applied to geotechnical engineering. J. Comput. Civ. Eng. 2004, 18, 105–114. [Google Scholar] [CrossRef]


















| emax | emin | Cu | Cc | D50 (mm) |
|---|---|---|---|---|
| 0.848 | 0.597 | 5.6 | 0.45 | 0.63 |
| Test No. | Dr (%) | σ’0 (kPa) | σd (kPa) | kp |
|---|---|---|---|---|
| 1 | 48.7 | 200 | 50 | 0 |
| 2 | 48.7 | 200 | 50 | 0.107 |
| 3 | 48.7 | 200 | 50 | 0.119 |
| 4 | 48.7 | 200 | 50 | 0.132 |
| 5 | 48.7 | 200 | 50 | 0.17 |
| 6 | 48.7 | 200 | 50 | 0.54 |
| 7 | 48.7 | 200 | 50 | 0.68 |
| 8 | 48.7 | 200 | 50 | 0.84 |
| σ’m0 (kPa) | Dr0 (%) | kp | Cu | D50 (mm) | Wliq (J/m3) |
|---|---|---|---|---|---|
| Niigata sand, cyclic triaxial tests, Umehara et al. (1985) | |||||
| 100 | 45.8 | 0.108 | 1.9 | 0.32 | 271 |
| Toyura sand, cyclic triaxial tests, Yamamoto et al. (2009) | |||||
| 200 | 49.9 | 0.03 | 1.2 | 0.2 | 3494 |
| 100 | 91.5 | 0.03 | 1.2 | 0.2 | 2797 |
| Fujian standard sand, cyclic triaxial tests, this study | |||||
| 200 | 50.0 | 0 | 5.6 | 0.63 | 5067 |
| 200 | 50.0 | 0.107 | 5.6 | 0.63 | 3402 |
| 200 | 50.0 | 0.119 | 5.6 | 0.63 | 2119 |
| 200 | 50.0 | 0.132 | 5.6 | 0.63 | 2706 |
| 200 | 50.0 | 0.17 | 5.6 | 0.63 | 2191 |
| Toyura sand, centrifuge tests, Ohara and Yamamoto (1982) | |||||
| 9.4 | 48.7 | 0 | 1.6 | 0.27 | 84 |
| 9.4 | 53.6 | 0.08 | 1.6 | 0.27 | 67 |
| NF | MLP | ||
|---|---|---|---|
| Fuzzy Inference System Type | Sugeno | Training function | Trainlm |
| Input membership function type | Triangular | Adaption learning function | Learngdm |
| Output membership function type | Linear | Transfer function | Tansig |
| Performance criterion | Epochs | Performance criterion | MSE |
© 2019 by the authors. Licensee MDPI, Basel, Switzerland. This article is an open access article distributed under the terms and conditions of the Creative Commons Attribution (CC BY) license (http://creativecommons.org/licenses/by/4.0/).
Share and Cite
Yao, C.-R.; Wang, B.; Liu, Z.-Q.; Fan, H.; Sun, F.-H.; Chang, X.-H. Evaluation of Liquefaction Potential in Saturated Sand under Different Drainage Boundary Conditions—An Energy Approach. J. Mar. Sci. Eng. 2019, 7, 411. https://doi.org/10.3390/jmse7110411
Yao C-R, Wang B, Liu Z-Q, Fan H, Sun F-H, Chang X-H. Evaluation of Liquefaction Potential in Saturated Sand under Different Drainage Boundary Conditions—An Energy Approach. Journal of Marine Science and Engineering. 2019; 7(11):411. https://doi.org/10.3390/jmse7110411
Chicago/Turabian StyleYao, Chang-Rui, Bo Wang, Zhi-Qiang Liu, Hao Fan, Fang-Hao Sun, and Xin-Hao Chang. 2019. "Evaluation of Liquefaction Potential in Saturated Sand under Different Drainage Boundary Conditions—An Energy Approach" Journal of Marine Science and Engineering 7, no. 11: 411. https://doi.org/10.3390/jmse7110411
APA StyleYao, C.-R., Wang, B., Liu, Z.-Q., Fan, H., Sun, F.-H., & Chang, X.-H. (2019). Evaluation of Liquefaction Potential in Saturated Sand under Different Drainage Boundary Conditions—An Energy Approach. Journal of Marine Science and Engineering, 7(11), 411. https://doi.org/10.3390/jmse7110411

