Scale Effects on a Tip Rake Propeller Working in Open Water
Abstract
1. Introduction
2. Geometric Setup and Computational Mesh
2.1. Propeller Characteristics
2.2. Computational Grid
3. Computational Milestones
4. Results and Discussion
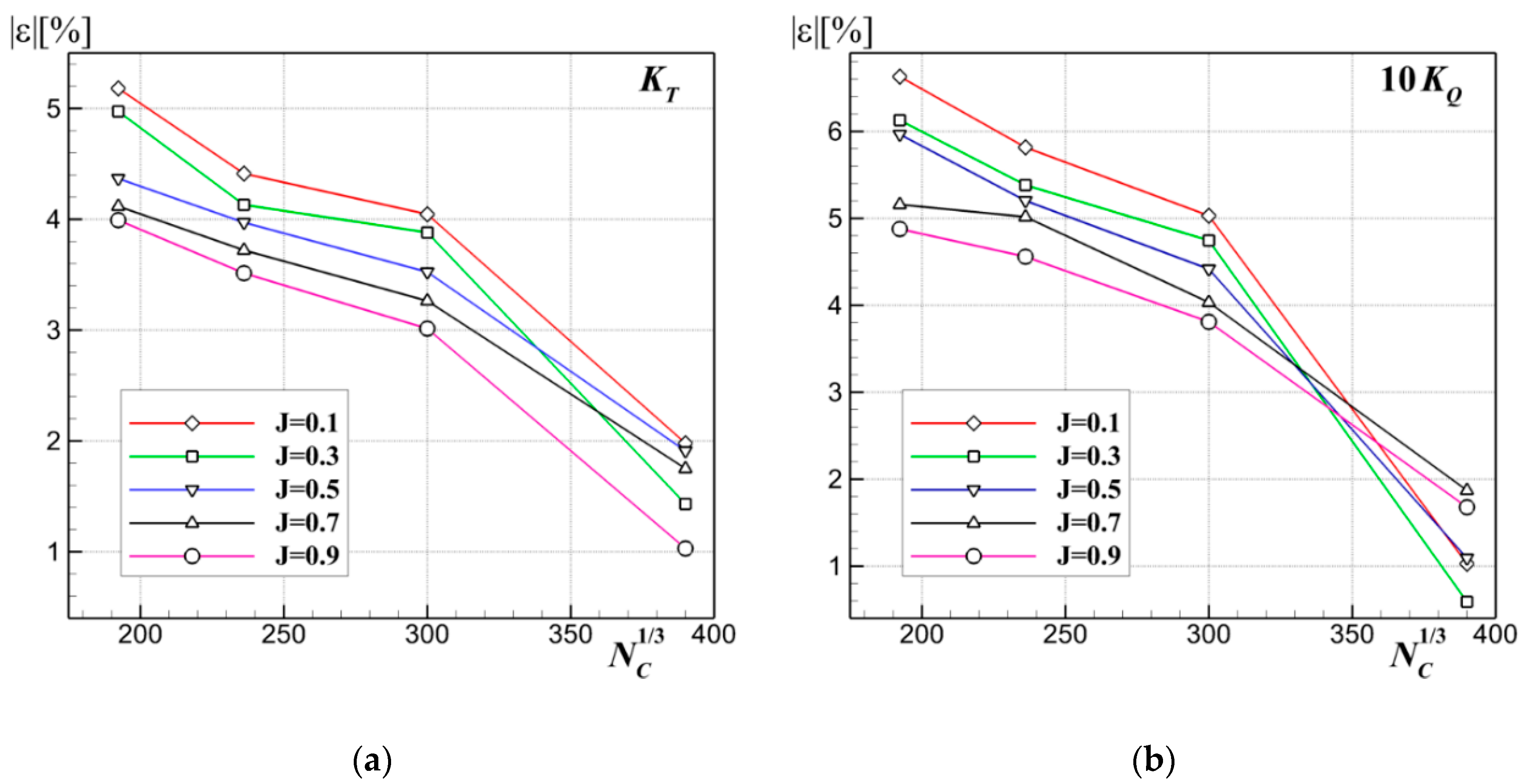
4.1. Grid Convergence Test
4.2. Overall Performances of the Model and Full Scale Propellers
4.3. Characteristics of the Local Flow around the Model and Full Scale Propellers
4.3.1. Model Scale Propeller
4.3.2. Full Scale Propeller
5. Concluding Remarks
- (a)
- the mean dimensionless wall distances on the propeller blades was kept smaller than y+ <0.2 at model scale;
- (b)
- the highest thrust of the propeller is generated by the radial section between 0.8 < r/R < 0.9;
- (c)
- the thrust and torque coefficients computed at model scale agree well with the experimental data;
- (d)
- the agreement between the computed full-scale thrust coefficients with the extrapolated values according to the ITTC’78 method is more than satisfactory;
- (e)
- the numerical simulation at the full scale can be successfully used in the design process if the solution is based on a careful discretization of the computational domain, as well as on a proper choice of the numerical scheme.
Funding
Acknowledgments
Conflicts of Interest
Appendix A
| Δr/R = (r/R)i–(r/R)i−1 | r/R | KTf | KTp | KT | 10KQf | 10KQp | 10KQ |
|---|---|---|---|---|---|---|---|
| dh–0.30 | 0.2271 | 0.000200 | 0.010477 | 0.010677 | 0.000736 | 0.008191 | 0.008927 |
| 0.30–0.44 | 0.3700 | 0.000500 | 0.026136 | 0.026636 | 0.002208 | 0.024577 | 0.026785 |
| 0.44–0.57 | 0.5050 | 0.000859 | 0.044951 | 0.045810 | 0.004172 | 0.046449 | 0.050622 |
| 0.57–0.69 | 0.6300 | 0.001186 | 0.062076 | 0.063262 | 0.006060 | 0.067463 | 0.073522 |
| 0.69–0.80 | 0.7450 | 0.001352 | 0.070726 | 0.072078 | 0.006304 | 0.070186 | 0.076490 |
| 0.80–0.90 | 0.8500 | 0.001418 | 0.074171 | 0.075589 | 0.006238 | 0.069444 | 0.075682 |
| 0.90–0.975 | 0.9375 | 0.001060 | 0.055443 | 0.056503 | 0.004846 | 0.053955 | 0.058802 |
| 0.975–1.00 | 0.9875 | 0.000177 | 0.009277 | 0.009455 | 0.001226 | 0.013647 | 0.014873 |
| Σ | 0.006752 | 0.353257 | 0.360009 | 0.031790 | 0.353913 | 0.385702 | |
| Δr/R = (r/R)i–(r/R)i−1 | r/R | KTf | KTp | KT | 10KQf | 10KQp | 10KQ |
|---|---|---|---|---|---|---|---|
| dh–0.30 | 0.2271 | 0.000201 | 0.008063 | 0.008264 | 0.00069 | 0.007175 | 0.007862 |
| 0.30–0.44 | 0.3700 | 0.000501 | 0.020116 | 0.020617 | 0.00206 | 0.021530 | 0.023591 |
| 0.44–0.57 | 0.5050 | 0.000862 | 0.034596 | 0.035458 | 0.00389 | 0.040691 | 0.044586 |
| 0.57–0.69 | 0.6300 | 0.001190 | 0.047776 | 0.048966 | 0.00566 | 0.059099 | 0.064756 |
| 0.69–0.80 | 0.7450 | 0.001356 | 0.054434 | 0.055790 | 0.00589 | 0.061485 | 0.067370 |
| 0.80–0.90 | 0.8500 | 0.001422 | 0.057085 | 0.058507 | 0.00582 | 0.060835 | 0.066658 |
| 0.90–0.975 | 0.9375 | 0.001063 | 0.042672 | 0.043734 | 0.00452 | 0.047266 | 0.051790 |
| 0.975–1.00 | 0.9875 | 0.000178 | 0.007140 | 0.007318 | 0.00114 | 0.011955 | 0.013099 |
| Σ | 0.006771 | 0.271883 | 0.278654 | 0.029676 | 0.310038 | 0.339713 | |
| Δr/R = (r/R)i–(r/R)i−1 | r/R | KTf | KTp | KT | 10KQf | 10KQp | 10KQ |
|---|---|---|---|---|---|---|---|
| dh–0.30 | 0.2271 | 0.000216 | 0.005996 | 0.006212 | 0.000612 | 0.005524 | 0.006135 |
| 0.30–0.44 | 0.3700 | 0.000539 | 0.014958 | 0.015497 | 0.001835 | 0.016574 | 0.018409 |
| 0.44–0.57 | 0.5050 | 0.000927 | 0.025726 | 0.026653 | 0.003468 | 0.031324 | 0.034793 |
| 0.57–0.69 | 0.6300 | 0.001280 | 0.035527 | 0.036807 | 0.005037 | 0.045495 | 0.050532 |
| 0.69–0.80 | 0.7450 | 0.001458 | 0.040478 | 0.041936 | 0.005241 | 0.047332 | 0.052572 |
| 0.80–0.90 | 0.8500 | 0.001529 | 0.042450 | 0.043979 | 0.005185 | 0.046832 | 0.052017 |
| 0.90–0.975 | 0.9375 | 0.001143 | 0.031731 | 0.032874 | 0.004029 | 0.036386 | 0.040415 |
| 0.975–1.00 | 0.9875 | 0.000191 | 0.005310 | 0.005501 | 0.001019 | 0.009203 | 0.010222 |
| Σ | 0.007125 | 0.197828 | 0.204953 | 0.027721 | 0.250367 | 0.278089 | |
| Δr/R = (r/R)i–(r/R)i−1 | r/R | KTf | KTp | KT | 10KQf | 10KQp | 10KQ |
|---|---|---|---|---|---|---|---|
| dh–0.30 | 0.2271 | 0.000374 | 0.003016 | 0.003390 | 0.000588 | 0.003446 | 0.004034 |
| 0.30–0.44 | 0.3700 | 0.000932 | 0.007524 | 0.008456 | 0.001764 | 0.010340 | 0.012104 |
| 0.44–0.57 | 0.5050 | 0.001603 | 0.012940 | 0.014543 | 0.003335 | 0.019542 | 0.022877 |
| 0.57–0.69 | 0.6300 | 0.002214 | 0.017870 | 0.020084 | 0.004843 | 0.028383 | 0.033226 |
| 0.69–0.80 | 0.7450 | 0.002522 | 0.020361 | 0.022883 | 0.005039 | 0.029528 | 0.034567 |
| 0.80–0.90 | 0.8500 | 0.002645 | 0.021352 | 0.023997 | 0.004985 | 0.029216 | 0.034202 |
| 0.90–0.975 | 0.9375 | 0.001977 | 0.015961 | 0.017938 | 0.003873 | 0.022700 | 0.026573 |
| 0.975–1.00 | 0.9875 | 0.000331 | 0.002671 | 0.003002 | 0.000980 | 0.005741 | 0.006721 |
| Σ | 0.008234 | 0.101695 | 0.114293 | 0.025408 | 0.148896 | 0.174304 | |
| Δr/R = (r/R)i–(r/R)i−1 | r/R | KTf | KTp | KT | 10KQf | 10KQp | 10KQ |
|---|---|---|---|---|---|---|---|
| dh–0.30 | 0.2271 | 0.000092 | 0.000109 | 0.000201 | 0.000428 | 0.000784 | 0.001211 |
| 0.30–0.44 | 0.3700 | 0.000231 | 0.000271 | 0.000502 | 0.001283 | 0.002352 | 0.003635 |
| 0.44–0.57 | 0.5050 | 0.000397 | 0.000467 | 0.000864 | 0.002425 | 0.004444 | 0.006870 |
| 0.57–0.69 | 0.6300 | 0.000548 | 0.000645 | 0.001193 | 0.003522 | 0.006455 | 0.009978 |
| 0.69–0.80 | 0.7450 | 0.000624 | 0.000735 | 0.001359 | 0.003665 | 0.006716 | 0.010380 |
| 0.80–0.90 | 0.8500 | 0.000655 | 0.000770 | 0.001425 | 0.003626 | 0.006645 | 0.010271 |
| 0.90–0.975 | 0.9375 | 0.000489 | 0.000576 | 0.001065 | 0.002817 | 0.005163 | 0.007980 |
| 0.975–1.00 | 0.9875 | 0.000082 | 0.000096 | 0.000178 | 0.000713 | 0.001306 | 0.002018 |
| Σ | 0.003117 | 0.003669 | 0.006787 | 0.024371 | 0.033864 | 0.052343 | |
Appendix B
| Δr/R = (r/R)i–(r/R)i−1 | r/R | KTf | KTp | KT | 10KQf | 10KQp | 10KQ |
|---|---|---|---|---|---|---|---|
| dh–0.30 | 0.2271 | 0.000200 | 0.010454 | 0.010653 | 0.000739 | 0.008230 | 0.008969 |
| 0.30–0.44 | 0.3700 | 0.000498 | 0.026079 | 0.026577 | 0.002218 | 0.024694 | 0.026912 |
| 0.44–0.57 | 0.5050 | 0.000857 | 0.044852 | 0.045709 | 0.004192 | 0.046670 | 0.050862 |
| 0.57–0.69 | 0.6300 | 0.001184 | 0.061939 | 0.063123 | 0.006088 | 0.067783 | 0.073871 |
| 0.69–0.80 | 0.7450 | 0.001349 | 0.070571 | 0.071920 | 0.006334 | 0.070519 | 0.076853 |
| 0.80–0.90 | 0.8500 | 0.001414 | 0.074008 | 0.075422 | 0.006267 | 0.069774 | 0.076041 |
| 0.90–0.975 | 0.9375 | 0.001057 | 0.055321 | 0.056378 | 0.004869 | 0.054211 | 0.059081 |
| 0.975–1.00 | 0.9875 | 0.000177 | 0.009257 | 0.009434 | 0.001232 | 0.013712 | 0.014943 |
| Σ | 0.006737 | 0.352480 | 0.359217 | 0.031940 | 0.355592 | 0.387532 | |
| Δr/R = (r/R)i–(r/R)i−1 | r/R | KTf | KTp | KT | 10KQf | 10KQp | 10KQ |
|---|---|---|---|---|---|---|---|
| dh–0.30 | 0.2271 | 0.000201 | 0.008063 | 0.008264 | 0.00069 | 0.007175 | 0.007862 |
| 0.30–0.44 | 0.3700 | 0.000501 | 0.020116 | 0.020617 | 0.00206 | 0.021530 | 0.023591 |
| 0.44–0.57 | 0.5050 | 0.000862 | 0.034596 | 0.035458 | 0.00389 | 0.040691 | 0.044586 |
| 0.57–0.69 | 0.6300 | 0.001190 | 0.047776 | 0.048966 | 0.00566 | 0.059099 | 0.064756 |
| 0.69–0.80 | 0.7450 | 0.001356 | 0.054434 | 0.055790 | 0.00589 | 0.061485 | 0.067370 |
| 0.80–0.90 | 0.8500 | 0.001422 | 0.057085 | 0.058507 | 0.00582 | 0.060835 | 0.066658 |
| 0.90–0.975 | 0.9375 | 0.001063 | 0.042672 | 0.043734 | 0.00452 | 0.047266 | 0.051790 |
| 0.975–1.00 | 0.9875 | 0.000178 | 0.007140 | 0.007318 | 0.00114 | 0.011955 | 0.013099 |
| Σ | 0.006824 | 0.274003 | 0.271883 | 0.029935 | 0.312747 | 0.342681 | |
| Δr/R = (r/R)i–(r/R)i−1 | r/R | KTf | KTp | KT | 10KQf | 10KQp | 10KQ |
|---|---|---|---|---|---|---|---|
| dh–0.30 | 0.2271 | 0.000216 | 0.005996 | 0.006212 | 0.000843 | 0.005524 | 0.006367 |
| 0.30–0.44 | 0.3700 | 0.000539 | 0.014958 | 0.015497 | 0.002530 | 0.016574 | 0.019104 |
| 0.44–0.57 | 0.5050 | 0.000927 | 0.025726 | 0.026653 | 0.004781 | 0.031324 | 0.036105 |
| 0.57–0.69 | 0.6300 | 0.001280 | 0.035527 | 0.036807 | 0.006944 | 0.045495 | 0.052439 |
| 0.69–0.80 | 0.7450 | 0.001458 | 0.040478 | 0.041936 | 0.007224 | 0.047332 | 0.054555 |
| 0.80–0.90 | 0.8500 | 0.001529 | 0.042450 | 0.043979 | 0.007147 | 0.046832 | 0.053979 |
| 0.90–0.975 | 0.9375 | 0.001143 | 0.031731 | 0.032874 | 0.005553 | 0.036386 | 0.041939 |
| 0.975–1.00 | 0.9875 | 0.000191 | 0.005310 | 0.005501 | 0.001405 | 0.009203 | 0.010608 |
| Σ | 0.007282 | 0.202178 | 0.209459 | 0.026426 | 0.238670 | 0.275096 | |
| Δr/R = (r/R)i–(r/R)i−1 | r/R | KTf | KTp | KT | 10KQf | 10KQp | 10KQ |
|---|---|---|---|---|---|---|---|
| dh–0.30 | 0.2271 | 0.000255 | 0.003154 | 0.003409 | 0.000592 | 0.003468 | 0.004059 |
| 0.30–0.44 | 0.3700 | 0.000637 | 0.007869 | 0.008506 | 0.001776 | 0.010405 | 0.012181 |
| 0.44–0.57 | 0.5050 | 0.001096 | 0.013533 | 0.014629 | 0.003356 | 0.019665 | 0.023021 |
| 0.57–0.69 | 0.6300 | 0.001513 | 0.018689 | 0.020202 | 0.004874 | 0.028561 | 0.033435 |
| 0.69–0.80 | 0.7450 | 0.001724 | 0.021293 | 0.023017 | 0.005070 | 0.029714 | 0.034785 |
| 0.80–0.90 | 0.8500 | 0.001808 | 0.022330 | 0.024138 | 0.005017 | 0.029400 | 0.034417 |
| 0.90–0.975 | 0.9375 | 0.001351 | 0.016692 | 0.018043 | 0.003898 | 0.022843 | 0.026741 |
| 0.975–1.00 | 0.9875 | 0.000226 | 0.002793 | 0.003019 | 0.000986 | 0.005778 | 0.006764 |
| Σ | 0.008611 | 0.106352 | 0.114963 | 0.025568 | 0.149835 | 0.175402 | |
| Δr/R = (r/R)i–(r/R)i−1 | r/R | KTf | KTp | KT | 10KQf | 10KQp | 10KQ |
|---|---|---|---|---|---|---|---|
| dh–0.30 | 0.2271 | 0.000107 | 0.000104 | 0.000211 | 0.000578 | 0.000643 | 0.001221 |
| 0.30–0.44 | 0.3700 | 0.000267 | 0.000259 | 0.000526 | 0.001735 | 0.001928 | 0.003663 |
| 0.44–0.57 | 0.5050 | 0.000460 | 0.000445 | 0.000904 | 0.003279 | 0.003644 | 0.006922 |
| 0.57–0.69 | 0.6300 | 0.000635 | 0.000614 | 0.001249 | 0.004762 | 0.005292 | 0.010054 |
| 0.69–0.80 | 0.7450 | 0.000723 | 0.000700 | 0.001423 | 0.004954 | 0.005506 | 0.010460 |
| 0.80–0.90 | 0.8500 | 0.000759 | 0.000734 | 0.001492 | 0.004902 | 0.005448 | 0.010349 |
| 0.90–0.975 | 0.9375 | 0.000567 | 0.000548 | 0.001116 | 0.003808 | 0.004233 | 0.008041 |
| 0.975–1.00 | 0.9875 | 0.000095 | 0.000092 | 0.000187 | 0.000963 | 0.001071 | 0.002034 |
| Σ | 0.004113 | 0.003494 | 0.007707 | 0.019981 | 0.027764 | 0.047744 | |
References
- Stanier, M. The Application of RANS Code to Investigate Propeller Scale Effects. In Proceedings of the 22nd ONR Symposium, Washington, DC, USA, 9–18 August 1998; pp. 222–238. [Google Scholar]
- Funeno, I. On Viscous Flow around Marine Propellers—Hub Vortex and Scale Effect. J. Kansai Soc. Nav. Archit. 2002, 238, 17–27. [Google Scholar]
- ITTC. 1978 ITTC Performance Prediction Method: Procedure 7.5-02-03-01.4. In Proceedings of the International Towing Tank Conference, West Bethesda, MD, USA, 3–5 December 2017; pp. 1–15. [Google Scholar]
- Pérez Sobrino, M.; Minguito Cardeña, E.; Garcia Gómez, A.; Masip Hidalgo, J.; Quereda Laviña, R.; Pangusion Cidales, L.; Pérez Gómez, G.; Gonzalez-Adalid, J. Scale Effects in Model Tests with CLT Propellers. In Proceedings of the 27th Motor Ship Marine Propulsion Conference, Bilbao, Spain, 27–28 January 2005. [Google Scholar]
- Helma, S. A scaling procedure for modern propeller designs. Ocean Eng. 2016, 120, 165–174. [Google Scholar] [CrossRef]
- Helma, S.; Streckwall, H.; Richter, J. The Effect of Propeller Scaling Methodology on the Performance Prediction. J. Mar. Sci. Eng. 2018, 6, 60. [Google Scholar] [CrossRef]
- Hsin, C.-Y.; Chang, K.-K.; Chi, R.-C.; Chen, P.-F. Design and Analysis of the End Plate Effect Propellers. In Proceedings of the 28th Symposium on Naval Hydrodynamics, Pasadena, CA, USA, 12–17 September 2010. [Google Scholar]
- Sánchez-Caja, A.; González-Adalid, J.; Pérez-Sobrino, M.; Saisto, I. Study of End-Plate Shape Variations for Tip Loaded Propellers Using a RANSE Solver. In Proceedings of the 29th Symposium on Naval Hydrodynamics, Gothenburg, Sweden, 26–31 August 2012; pp. 26–31. [Google Scholar]
- Andersen, P.; Friesch, J.; Kappel, J.J.; Lundegaard, L.; Patience, G. Development of a Marine Propeller with Nonplanar Lifting Surfaces. Mar. Technol. 2005, 42, 144–158. [Google Scholar]
- Adalid, J.G.; Gennaro, G. Latest Experiences with Contracted and Loaded Tip (CLT) Propellers. In Sustainable Maritime Transportation and Exploitation of Sea Resources, 1st ed.; Taylor & Francis Group: London, UK, 2011; Volume 1, pp. 47–53. [Google Scholar]
- Koushan, K.; Krasilnikov, V.I. Experimental and Numerical Investigation of Open Thrusters in Oblique Flow Conditions. In Proceedings of the 27th ONR Symposium on Naval Hydrodynamics, Seoul, Korea, 5–10 October 2008. [Google Scholar]
- Krasilnikov, V.; Sun, J.; Halse, K.H. CFD Investigation in Scale Effect on Propellers with Different Magnitude of Skew in Turbulent Flow. In Proceedings of the 1st International Symposium on Marine Propulsors (SMP’09), Trondheim, Norway, 22–24 June 2009. [Google Scholar]
- Müller, S.B.; Abdel-Maksoud, M.; Hilbert, G. Scale Effects on Propellers for Large Container Vessels. In Proceedings of the 1st International Symposium on Marine Propulsors (SMP’09), Trondheim, Norway, 22–24 June 2009. [Google Scholar]
- Kawamura, T.; Omori, T. Reynolds Number Effect on Propeller Performance in Open Water. J. Jpn. Soc. Nav. Archit. 2009, 10, 29–36. [Google Scholar]
- Li, D.Q.; Berchiche, N.; Janson, C.-E. Influence of Turbulence Models on the Prediction of Full-Scale Propeller Open Water Characteristics with RANS Methods. In Proceedings of the 26th Symposium on Naval Hydrodynamics, Rome, Italy, 17–22 September 2006. [Google Scholar]
- Bhattacharyya, A.; Krasilnikov, V.; Sverre, S. Scale effects on open water characteristics of a controllable pitch Propeller working within different Duct Designs. Ocean Eng. 2016, 112, 226–242. [Google Scholar] [CrossRef]
- Dong, X.-Q.; Wei Li, W.; Yang, C.-J.; Noblesse, F. RANSE-Based Simulation and Analysis of Scale Effects on Open-Water Performance of the PPTC-II Benchmark Propeller. J. Ocean Eng. Sci. 2018, 3, 186–204. [Google Scholar] [CrossRef]
- Grabert, R.; Lubke, L.; Klose, R.; Barkmann, U. ITTC Propeller Benchmark Tip Rake Propeller P172; SVA-Report 4487; Schiffbau-Versuchsanstalt Potsdam: Potsdam, Germany, 2017. [Google Scholar]
- Menter, F.R. Zonal Two Equation Kappa-Omega Turbulence Models for Aerodynamic Flows. In Proceedings of the 24th AIAA Fluid Dynamics Conference, Orlando, FL, USA, 6–9 July 1993. [Google Scholar]
- Langtry, R.; Menter, F. Correlation-Based Transition Modeling for Unstructured Parallelized Computational Fluid Dynamics Codes. AIAA J. 2009, 47, 2894–2906. [Google Scholar] [CrossRef]
- Lungu, A. Numerical Simulation of the Resistance and Self-Propulsion Model Tests. In Proceedings of the ASME 2018 37th International Conference on Ocean, Offshore and Arctic Engineering, Madrid, Spain, 17–22 June 2018. [Google Scholar]
- Bekhit, A.S.; Lungu, A. Simulation of the POW Performance of the JBC Propeller. AIP Conf. Proc. 2019, 2116, 450007. [Google Scholar]
- Guilmineau, E.; Deng, G.B.; Leroyer, A.; Queutey, P.; Visonneau, M.; Wackers, J. Influence of the Turbulence Closures for the Wake Prediction of a Marine Propeller. In Proceedings of the 4th International Symposium on Marine Propellers (SMP’15), Austin, TX, USA, 31 May–4 June 2015. [Google Scholar]
- Eça, L.; Hoekstra, M. A Procedure for the Estimation of the Numerical Uncertainty of CFD Calculations Based on Grid Refinement Studies. J. Comput. Phys. 2014, 262, 104–130. [Google Scholar] [CrossRef]

















| Parameter | Symbol | UM | Model Scale | Full Scale |
|---|---|---|---|---|
| Scale ratio | λ | [−] | 31.428 | 1 |
| Propeller diameter | D | [mm] | 238.6407 | 7500.0000 |
| Pitch at r/R = 0.70 | P0.7 | [mm] | 200.6109 | 6304.7994 |
| Pitch at r/R = 0.75 | P0.75 | [mm] | 191.0150 | 6003.2194 |
| Mean pitch | Pmean | [mm] | 195.4697 | 6143.2217 |
| Chord length at r/R = 0.70 | c0.7 | [mm] | 56.3980 | 1772.4763 |
| Chord length at r/R = 0.75 | c0.75 | [mm] | 55.6172 | 1747.9374 |
| Thickness at r/R = 0.75 | t0.75 | [mm] | 2.9329 | 92.1752 |
| Pitch ratio at r/R = 0.70 | P0.7/D | [−] | 0.8406 | |
| Mean pitch ratio | Pmean/D | [−] | 0.8191 | |
| Area ratio | AE/A0 | [−] | 0.4438 | |
| Skew | θeff | [°] | 25.6812 | |
| Rake at r/R = 0.70 | ε0.7 | [°] | −8.9852 | |
| Rake at r/R = 0.75 | ε0.75 | [°] | −8.8422 | |
| Hub diameter ratio | dh/D | [−] | 0.1542 | |
| Parameter | KT | 10 KQ | |||||||||
|---|---|---|---|---|---|---|---|---|---|---|---|
| J | 0.1 | 0.3 | 0.5 | 0.7 | 0.9 | 0.1 | 0.3 | 0.5 | 0.7 | 0.9 | |
| EFD [18] | 0.353 | 0.283 | 0.209 | 0.116 | 0.007 | 0.39 | 0.338 | 0.275 | 0.181 | 0.053 | |
| CFD | Coarse |ε|% | 0.335 5.181 | 0.269 4.975 | 0.218 4.367 | 0.121 4.117 | 0.007 3.992 | 0.416 6.631 | 0.359 6.129 | 0.259 5.966 | 0.190 5.158 | 0.056 4.877 |
| Medium |ε|% | 0.369 4.413 | 0.271 4.132 | 0.201 3.972 | 0.120 3.721 | 0.007 3.515 | 0.367 5.816 | 0.356 5.381 | 0.289 5.203 | 0.172 5.016 | 0.055 4.558 | |
| Fine |ε|% | 0.367 4.045 | 0.272 3.881 | 0.216 3.525 | 0.112 3.264 | 0.007 3.013 | 0.410 5.029 | 0.322 4.744 | 0.287 4.415 | 0.188 4.032 | 0.055 1.821 | |
| Very fine |ε|% | 0.360 1.980 | 0.279 1.433 | 0.205 1.911 | 0.114 1.752 | 0.007 1.031 | 0.386 1.026 | 0.340 0.591 | 0.278 1.091 | 0.178 1.870 | 0.052 1.679 | |
| Coefficient | J [−] | J = 0.1 | J = 0.3 | J = 0.5 | J = 0.7 | J = 0.9 |
|---|---|---|---|---|---|---|
| KT | ITTC ‘78 | 0.353 | 0.284 | 0.209 | 0.117 | 0.008 |
| CFD | 0.359217 | 0.280827 | 0.209459 | 0.114963 | 0.007707 | |
| |ε|% | 1.731 | 1.12 | 0.219 | 1.772 | 3.802 | |
| 10 KQ | ITTC ‘78 | 0.383 | 0.332 | 0.269 | 0.174 | 0.046 |
| CFD | 0.387532 | 0.342681 | 0.275096 | 0.175402 | 0.047744 | |
| |ε|% | 1.169 | 3.117 | 2.216 | 0.799 | 3.653 |
| Parameters | ||||||
|---|---|---|---|---|---|---|
| 2.023 | 1.982 | 1.023 | 1.791 | 1.0 | 2.051 | |
| 2.023 | 0.142 | 1.023 | 1.791 | 1.0 | 2.051 |
© 2019 by the author. Licensee MDPI, Basel, Switzerland. This article is an open access article distributed under the terms and conditions of the Creative Commons Attribution (CC BY) license (http://creativecommons.org/licenses/by/4.0/).
Share and Cite
Lungu, A. Scale Effects on a Tip Rake Propeller Working in Open Water. J. Mar. Sci. Eng. 2019, 7, 404. https://doi.org/10.3390/jmse7110404
Lungu A. Scale Effects on a Tip Rake Propeller Working in Open Water. Journal of Marine Science and Engineering. 2019; 7(11):404. https://doi.org/10.3390/jmse7110404
Chicago/Turabian StyleLungu, Adrian. 2019. "Scale Effects on a Tip Rake Propeller Working in Open Water" Journal of Marine Science and Engineering 7, no. 11: 404. https://doi.org/10.3390/jmse7110404
APA StyleLungu, A. (2019). Scale Effects on a Tip Rake Propeller Working in Open Water. Journal of Marine Science and Engineering, 7(11), 404. https://doi.org/10.3390/jmse7110404
