Stability of Beach Nourishment Under Extreme Wave Conditions: Insights from Physical-Model Experiments and XBeach Simulations
Abstract
1. Introduction
2. Methods
2.1. Study Site
2.2. Physical Model and Validation
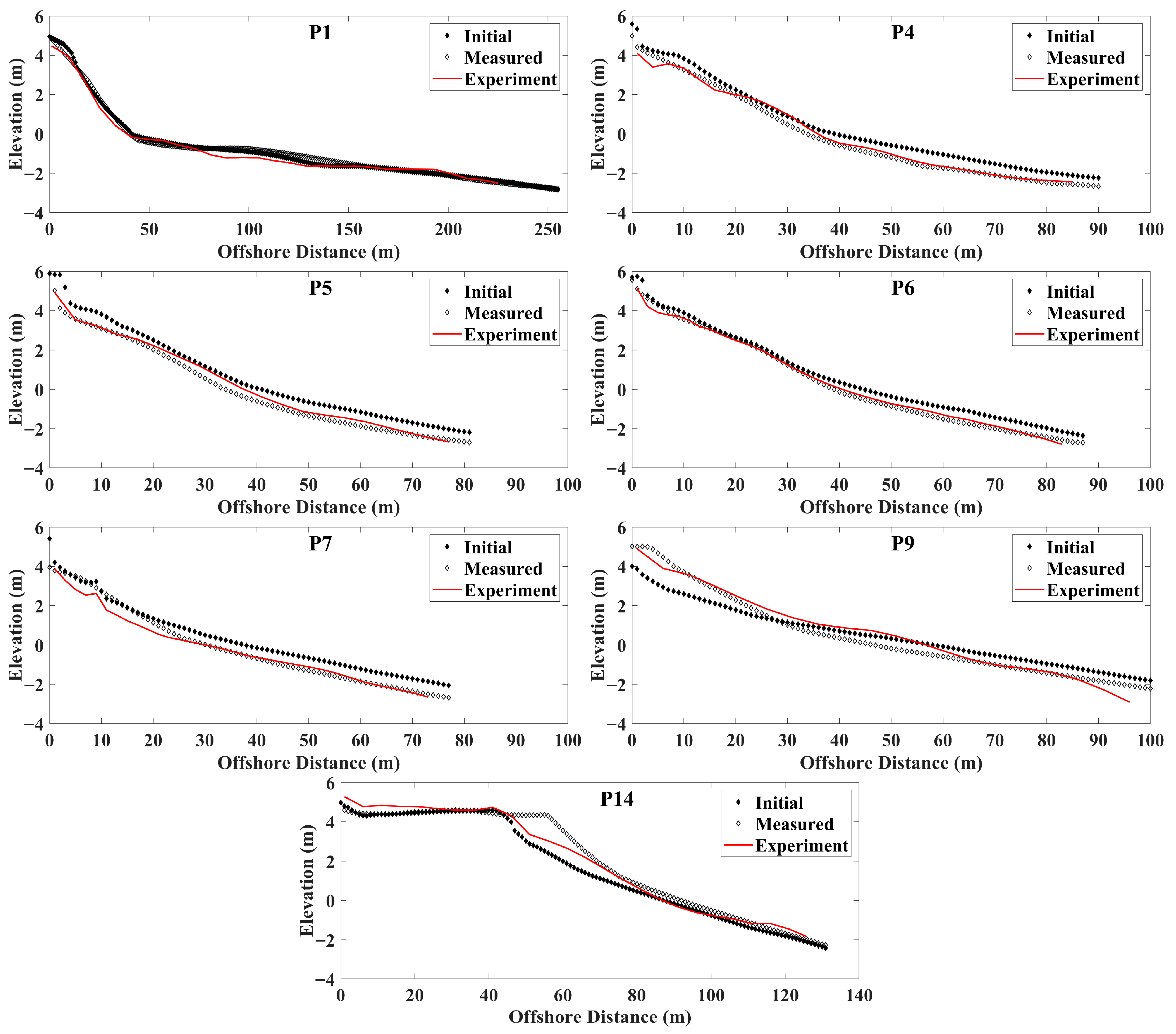
2.3. Numerical Model and Validation
2.4. Nourishment Test Scenarios
3. Physical-Model Results and Discussion
3.1. Shoreline Response Under Extreme Wave Conditions
3.2. Cross-Shore and Alongshore Sand Redistribution
4. Numerical Simulation Results and Discussion
4.1. Hydrodynamic Responses Under Extreme Wave Conditions
4.2. Morphodynamic Evolution
4.3. Comparison Between Physical and Numerical Results and Implications for Nourishment Stability
5. Conclusions
Author Contributions
Funding
Data Availability Statement
Acknowledgments
Conflicts of Interest
References
- Defeo, O.; McLachlan, A.; Schoeman, D.S.; Schlacher, T.A.; Dugan, J.; Jones, A.; Lastra, M.; Scapini, F. Threats to sandy beach ecosystems: A review. Estuar. Coast. Shelf Sci. 2009, 81, 1–12. [Google Scholar] [CrossRef]
- Vousdoukas, M.I.; Ranasinghe, R.; Mentaschi, L.; Plomaritis, T.A.; Athanasiou, P.; Luijendijk, A.; Feyen, L. Sandy coastlines under threat of erosion. Nat. Clim. Change 2020, 10, 260–263. [Google Scholar] [CrossRef]
- Morton, R.A.; Sallenger, A.H., Jr. Morphological impacts of extreme storms on sandy beaches and barriers. J. Coast. Res. 2003, 19, 560–573. [Google Scholar]
- Chen, Y.; Huang, W.; Xu, S. Frequency analysis of extreme water levels affected by sea-level rise in east and southeast coasts of China. J. Coast. Res. 2014, 68, 105–112. [Google Scholar] [CrossRef]
- Hanson, H.; Brampton, A.; Capobianco, M.; Dette, H.H.; Lamm, L.; Laustrup, C.; Lechuga, A.; Spanhoff, R. Beach nourishment projects, practices, and objectives-a European overview. Coast. Eng. 2002, 47, 81–111. [Google Scholar] [CrossRef]
- Cooke, C.B.; Jones, R.A.; Goodwin, D.I.; Bishop, M.J. Nourishment practices on Australian sandy beaches: A review. J. Environ. Manag. 2012, 113, 319–327. [Google Scholar] [CrossRef]
- Pinto, C.A.; Silveira, T.M.; Teixeira, S.B. Beach nourishment practice in mainland Portugal (1950-2017): Overview and retrospective. Ocean Coast. Manag. 2020, 192, 105211. [Google Scholar] [CrossRef]
- Liu, G.; Cai, F.; Qi, H.S.; Liu, J.; Lei, G.; Zhu, J.; Cao, H.; Zheng, J.; Zhao, S.; Yu, F. A summary of beach nourishment in China: The past decade of practices. Shore Beach 2020, 88, 65–73. [Google Scholar] [CrossRef]
- Elko, N.; Briggs, T.R.; Benedet, L.; Robertson, Q.; Gordon, T.; Webb, B.M.; Garvey, K. A century of U.S. beach nourishment. Ocean Coast. Manag. 2021, 199, 105406. [Google Scholar] [CrossRef]
- Vieira, B.F.V.; Pinho, J.L.S.; Barros, J.A.O.; Antunes do Carmo, J.S. Hydrodynamics and morphodynamics performance assessment of three coastal protection structures. J. Mar. Sci. Eng. 2020, 8, 175. [Google Scholar] [CrossRef]
- Zhu, J.; Cai, F.; Liu, J.; Liu, G.; Qi, H.; Lei, G.; Zheng, J.; Cao, H. Application of groin system in beach nourishment. Ocean Eng. 2021, 39, 152–165. (In Chinese) [Google Scholar] [CrossRef]
- Dean, R.G. Beach Nourishment: Theory and Practice; World Scientific Publishing Company: Singapore, 2003. [Google Scholar] [CrossRef]
- Dean, R.G.; Dalrymple, R.A. Coastal Processes with Engineering Applications; Cambridge University Press: Cambridge, UK, 2001. [Google Scholar] [CrossRef]
- Cai, F.; Liu, G. Beach nourishment development and technological innovations in China: An overview. J. Appl. Oceanogr. 2019, 38, 452–463. (In Chinese) [Google Scholar] [CrossRef]
- Coastal Engineering Research Center (CERC). Shore Protection Manual; U.S. Army Corps of Engineers: Washington, DC, USA, 1984.
- Cai, F. Chinese Beach Nourishment Manual; Ocean Press: Beijing, China, 2015. (In Chinese) [Google Scholar]
- U.S. Army Corps of Engineers (USACE). Coastal Engineering Manual; U.S. Army Corps of Engineers: Washington, DC, USA, 2003.
- Liu, G.; Cai, F.; Qi, H.; Zhu, J.; Liu, J. Morphodynamic evolution and adaptability of nourished beaches. J. Coast. Res. 2019, 35, 737–750. [Google Scholar] [CrossRef]
- Liu, G.; Qi, H.; Cai, F.; Zhu, J.; Lei, G.; Liu, J.; Zhao, S.; Cao, C. Morphodynamic Evolution of Post-Nourishment Beach Scarps in Low-Energy and Micro-Tidal Environment. J. Mar. Sci. Eng. 2021, 9, 303. [Google Scholar] [CrossRef]
- Adell, A.; Kroon, A.; Almström, B.; Larson, M.; Hallin, C. Observed beach nourishment development in a semi-enclosed coastal embayment. Geomorphology 2024, 462, 109324. [Google Scholar] [CrossRef]
- Wang, Y.H.; Zeng, C.J.; Lu, P.D.; Chen, K.F. Beach erosion and nourishment in the east section of Sanya Bay. China J. Nat. Resour. 2022, 37, 1049–1060. (In Chinese) [Google Scholar] [CrossRef]
- Hughes, S.A. Physical Models and Laboratory Techniques in Coastal Engineering; World Scientific: Singapore, 1993; 570p. [Google Scholar]
- Beuzen, T.; Turner, I.L.; Blenkinsopp, C.E.; Atkinson, A.; Flocard, F.; Baldock, T.E. Physical model study of beach profile evolution by sea level rise in the presence of seawalls. Coast. Eng. 2018, 136, 172–182. [Google Scholar] [CrossRef]
- Kobayashi, N.; Zhu, T.; Mallavarapu, S. Equilibrium beach profile with net cross-shore sand transport. J. Waterw. Port Coast. Ocean Eng. 2018, 144, 04018016. [Google Scholar] [CrossRef]
- Wang, J.; You, Z.J.; Liang, B. Laboratory investigation of coastal beach erosion processes under storm waves of slowly varying height. Mar. Geol. 2020, 430, 106321. [Google Scholar] [CrossRef]
- Li, Y.; Zhang, C.; Cai, Y.; Xie, M.; Qi, H.; Wang, Y. Wave Dissipation and sediment transport patterns during shoreface nourishment towards equilibrium. J. Mar. Sci. Eng. 2021, 9, 535. [Google Scholar] [CrossRef]
- Vera-Cruz, D. Artificial nourishment of Copacabana beach. In Coastal Engineering; American Society of Civil Engineers: Reston, VA, USA, 1972; pp. 1451–1463. [Google Scholar]
- Guimarães, A.; Lima, M.; Coelho, C.; Silva, R.; Veloso-Gomes, F. Groin impacts on updrift morphology: Physical and numerical study. Coast. Eng. 2016, 109, 63–75. [Google Scholar] [CrossRef]
- Smith, E.R.; Mohr, M.C.; Chader, S.A. Laboratory experiments on beach change due to nearshore mound placement. Coast. Eng. 2017, 121, 119–128. [Google Scholar] [CrossRef]
- Guimarães, A.; Coelho, C.; Veloso-Gomes, F.; Silva, P.A. 3D Physical modeling of an artificial beach nourishment: Laboratory procedures and nourishment performance. J. Mar. Sci. Eng. 2021, 9, 613. [Google Scholar] [CrossRef]
- Chen, C.; Beardsley, R.; Cowles, G. An unstructured grid, finite-volume coastal ocean model (FVCOM) system. Oceanography 2006, 19, 78–89. [Google Scholar] [CrossRef]
- Lesser, G.R.; Roelvink, J.V.; van Kester, J.T.M.; Stelling, G.S. Development and validation of a three-dimensional morphological model. Coast. Eng. 2004, 51, 883–915. [Google Scholar] [CrossRef]
- Booij, N.R.R.C.; Ris, R.C.; Holthuijsen, L.H. A third-generation wave model for coastal regions: 1. Model description and validation. J. Geophys. Res. Ocean. 1999, 104, 7649–7666. [Google Scholar] [CrossRef]
- Shi, F.; Kirby, J.T.; Harris, J.C.; Geiman, J.D.; Grilli, S.T. A high-order adaptive time-stepping TVD solver for Boussinesq modeling of breaking waves and coastal inundation. Ocean Model. 2012, 43, 36–51. [Google Scholar] [CrossRef]
- Chen, J.L.; Shi, F.; Hsu, T.J.; Kirby, J.T. NearCoM-TVD—A quasi-3D nearshore circulation and sediment transport model. Coast. Eng. 2014, 91, 200–212. [Google Scholar] [CrossRef]
- Kobayashi, N.; Zhu, T.; Laksanalamai, J. Beach erosion and coastal structure damage by storm surge and waves. In Coastal Disasters; World Scientific Publishing Company: Singapore, 2025; pp. 129–170. [Google Scholar] [CrossRef]
- Larson, M.; Kraus, N.C. SBEACH: Numerical Model for Simulating Storm-Induced Beach Change. Report 1, Empirical Foundation and Model Development; Technical Report CERC-89-9; U.S Army Engineer Waterways Experiment Station, Coastal Engineering Research Center: Washington, DC, USA, 1989.
- Hanson, H. GENESIS: A generalized shoreline change numerical model. J. Coast. Res. 1989, 5, 1–27. [Google Scholar]
- Roelvink, D.; Reniers, A.; van Dongeren, A.; van Thiel de Vries, J.; McCall, R.; Lescinski, J. Modelling storm impacts on beaches, dunes and barrier islands. Coast. Eng. 2009, 56, 1133–1152. [Google Scholar] [CrossRef]
- McCall, R.T.; Van Thiel de Vries, J.S.M.; Plant, N.G.; Van Dongeren, A.R.; Roelvink, J.A.; Thompson, D.M.; Reniers, A.J.H.M. Two-dimensional time dependent hurricane overwash and erosion modeling at Santa Rosa Island. Coast. Eng. 2010, 57, 668–683. [Google Scholar] [CrossRef]
- Lindemer, C.A.; Plant, N.G.; Puleo, J.A.; Thompson, D.M.; Wamsley, T.V. Numerical simulation of a low-lying barrier island’s morphological response to Hurricane Katrina. Coast. Eng. 2010, 57, 985–995. [Google Scholar] [CrossRef]
- Mickey, R.C.; Dalyander, P.S.; McCall, R.; Passeri, D.L. Sensitivity of Storm Response to Antecedent Topography in the XBeach Model. J. Mar. Sci. Eng. 2020, 8, 829. [Google Scholar] [CrossRef]
- Kombiadou, K.; Costas, S.; Roelvink, D. Simulating destructive and constructive morphodynamic processes in steep beaches. J. Mar. Sci. Eng. 2021, 9, 86. [Google Scholar] [CrossRef]
- Xing, H.; Li, P.; Zhang, L.; Xue, H.; Shi, H.; You, Z. Numerical simulation of the beach response mechanism under typhoon lekima: A case study of the southern beach of Chudao. J. Mar. Sci. Eng. 2023, 11, 1156. [Google Scholar] [CrossRef]
- Zhang, L.; Xu, J.; Liu, X.; Zhang, D.; Gao, Z.; Fang, H.; Ji, Y. Wind, wave, and current variations in the Taiwan Strait induced by Typhoon Doksuri in 2023. J. Appl. Meteorol. Sci. 2025, 36, 665–680. (In Chinese) [Google Scholar] [CrossRef]
- Central Weather Administration (CWA). Wave and Tide Observation Data from Kinmen Weather Station. Available online: https://www.cwa.gov.tw/V8/C/P/watch_waves.html (accessed on 3 August 2023).
- Liu, X.; Kuang, C.; Huang, S.; He, L.; Han, X. Modelling and evaluation of beach morphodynamic behavior: A case study of Dongsha Beach in eastern China. Ocean Coast. Manag. 2023, 240, 106661. [Google Scholar] [CrossRef]
- Durap, A. Beachface steepness modulates erosion but not recovery: Multi-decadal spatiotemporal shoreline evidence across 390 transects. J. Sea Res. 2025, 208, 102644. [Google Scholar] [CrossRef]
- Durap, A. Multi-decadal spatiotemporal shoreline vulnerability assessment: Integrating erosion–accretion dynamics for disaster risk reduction across 90 coastal transects. Nat. Hazards 2025, 121, 22981–23019. [Google Scholar] [CrossRef]













| Test | Nourishment | Groin | ||||||
|---|---|---|---|---|---|---|---|---|
| Alongshore Extent | Total Fill Volume (106 m3) | Extended Berm Width at MHW | Foreshore Slope | G1 Location | G1 Length | G2 Location | G2 Length | |
| Test A | P1–P9 | 0.75 | 40 m | 1:19 | P13–P14 | 250 m | P9–P10 | 100 m |
| Test B | P1–P9 | 0.60 | 20 m | 1:22 | P13–P14 | 250 m | P9–P10 | 100 m |
| Test C | P3–P11 | 0.65 | 60 m | 1:10 | P13–P14 | 250 m | P11 | 100 m |
| Profiles | Erosion Extent (m) 1 | Erosion Length (m) 2 | Maximum Erosion Depth | ||||||
|---|---|---|---|---|---|---|---|---|---|
| Test A | Test B | Test C | Test A | Test B | Test C | Test A | Test B | Test C | |
| P3 | 65–110 | 50–95 | 70–95 | 45 | 45 | 25 | 0.50 | 0.24 | 1.37 |
| P4 | 70–110 | 55–80 | 85–110 | 40 | 25 | 25 | 0.32 | 0.21 | 1.19 |
| P5 | 70–110 | 55–95 | 90–125 | 40 | 40 | 35 | 0.41 | 0.31 | 1.44 |
| P6 | 75–125 | 55–125 | 75–115 | 50 | 70 | 40 | 0.83 | 0.60 | 1.36 |
| P7 | 70–125 | 50–125 | 80–125 | 55 | 75 | 45 | 0.86 | 0.63 | 1.44 |
| P8 | 70–125 | 55–125 | 75–120 | 55 | 70 | 45 | 0.93 | 0.81 | 1.48 |
| P9 | 70–140 | 55–145 | 80–115 | 70 | 90 | 35 | 0.96 | 0.75 | 1.08 |
| P10 | 55–85 | 60–80 | 75–115 | 30 | 20 | 40 | 0.20 | 0.20 | 1.42 |
| Test | Peak Wave-Height Moment | End of the Simulation | ||||
|---|---|---|---|---|---|---|
(m3/m) | (m3/m) | (m3/m) | (m3/m) | (m3/m) | (m3/m) | |
| Test A | 14.1 | 12.5 | 1.6 | 24.5 | 21.7 | 2.8 |
| Test B | 23.8 | 15.9 | 8.0 | 40.5 | 30.8 | 9.7 |
| Test C | 31.7 | 15.5 | 16.2 | 55.2 | 25.2 | 30.0 |
Disclaimer/Publisher’s Note: The statements, opinions and data contained in all publications are solely those of the individual author(s) and contributor(s) and not of MDPI and/or the editor(s). MDPI and/or the editor(s) disclaim responsibility for any injury to people or property resulting from any ideas, methods, instructions or products referred to in the content. |
© 2026 by the authors. Licensee MDPI, Basel, Switzerland. This article is an open access article distributed under the terms and conditions of the Creative Commons Attribution (CC BY) license.
Share and Cite
Zhu, T.; Hu, B.; Wang, H.; Chen, H.; Geng, B.; Ge, L.; Jin, R. Stability of Beach Nourishment Under Extreme Wave Conditions: Insights from Physical-Model Experiments and XBeach Simulations. J. Mar. Sci. Eng. 2026, 14, 613. https://doi.org/10.3390/jmse14070613
Zhu T, Hu B, Wang H, Chen H, Geng B, Ge L, Jin R. Stability of Beach Nourishment Under Extreme Wave Conditions: Insights from Physical-Model Experiments and XBeach Simulations. Journal of Marine Science and Engineering. 2026; 14(7):613. https://doi.org/10.3390/jmse14070613
Chicago/Turabian StyleZhu, Tingting, Bo Hu, Hao Wang, Hanbao Chen, Baolei Geng, Longzai Ge, and Ruijia Jin. 2026. "Stability of Beach Nourishment Under Extreme Wave Conditions: Insights from Physical-Model Experiments and XBeach Simulations" Journal of Marine Science and Engineering 14, no. 7: 613. https://doi.org/10.3390/jmse14070613
APA StyleZhu, T., Hu, B., Wang, H., Chen, H., Geng, B., Ge, L., & Jin, R. (2026). Stability of Beach Nourishment Under Extreme Wave Conditions: Insights from Physical-Model Experiments and XBeach Simulations. Journal of Marine Science and Engineering, 14(7), 613. https://doi.org/10.3390/jmse14070613

