Experimental Study on Layered Tuned Liquid Damper with an Elastic Structure
Abstract
1. Introduction
2. Test Setup
3. Results and Discussion
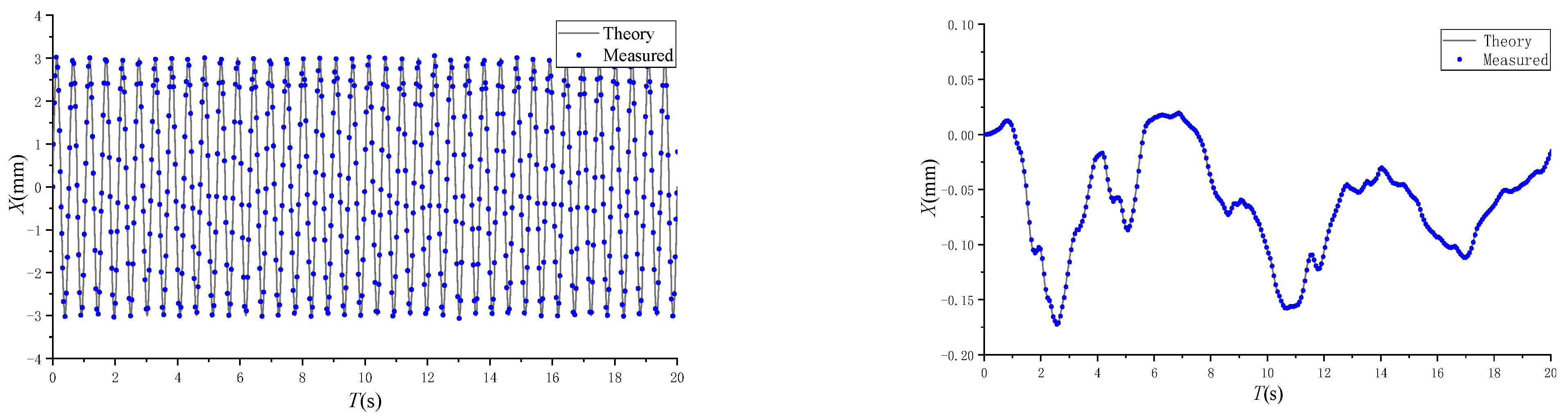
3.1. Dynamic Characteristics of Elastic Structure
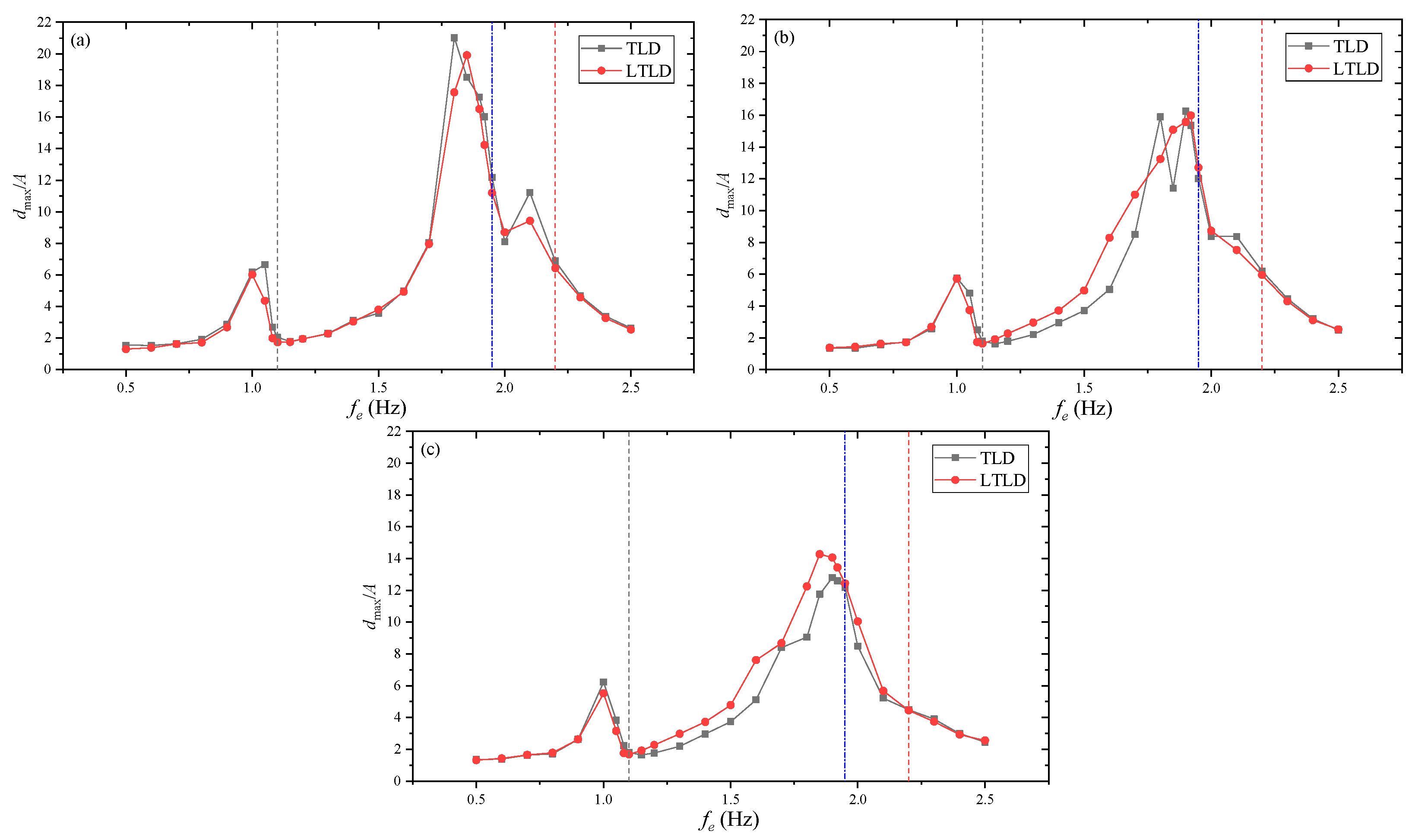
3.2. TLD and LTLD Performance in Suppressing Structural Vibration
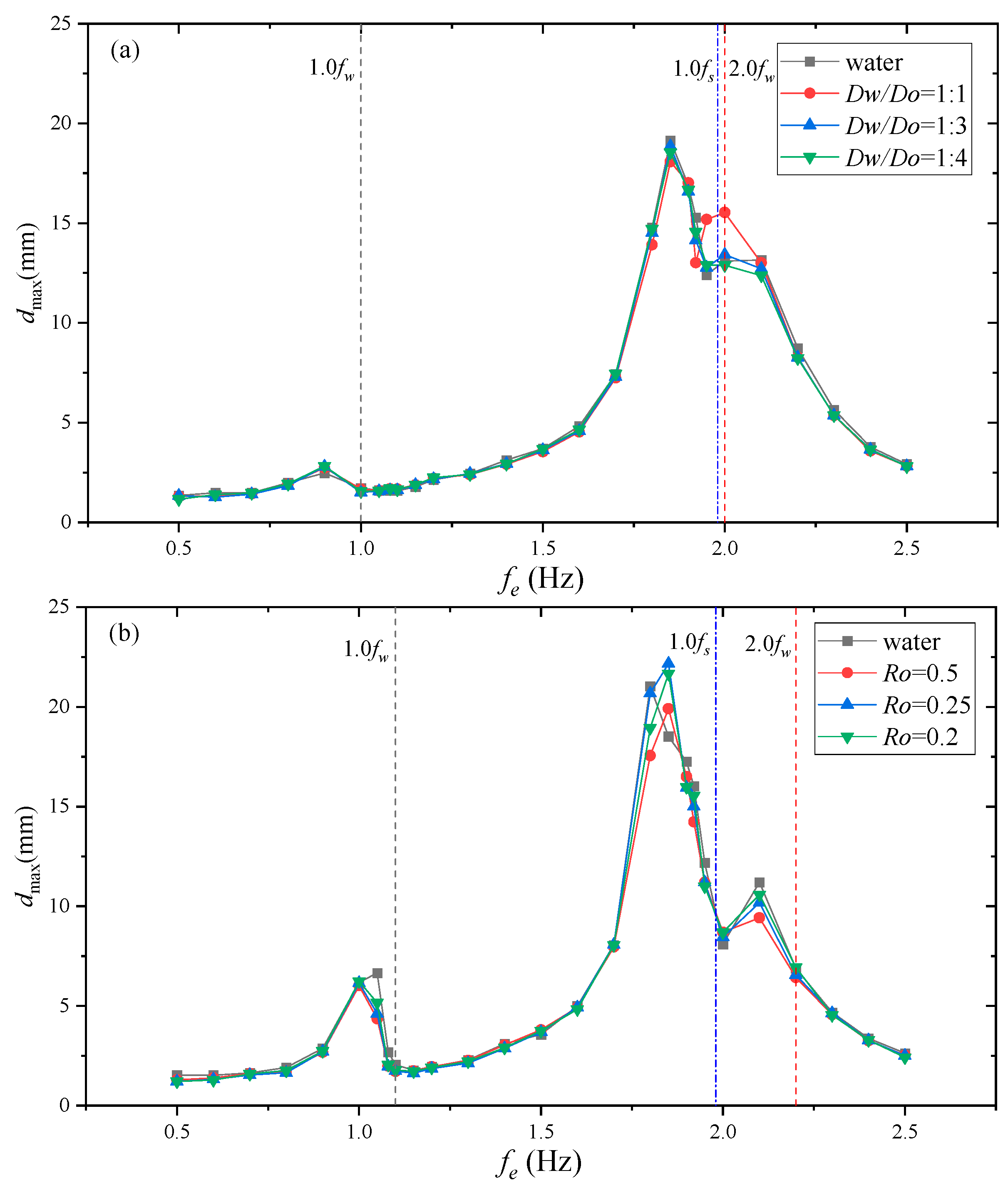
3.3. Effects of Liquid Composition Ratio
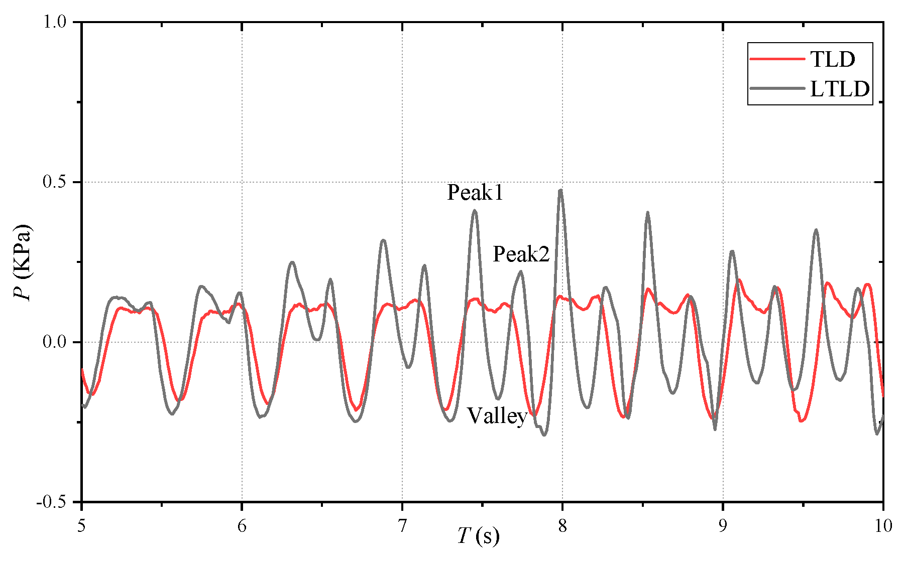
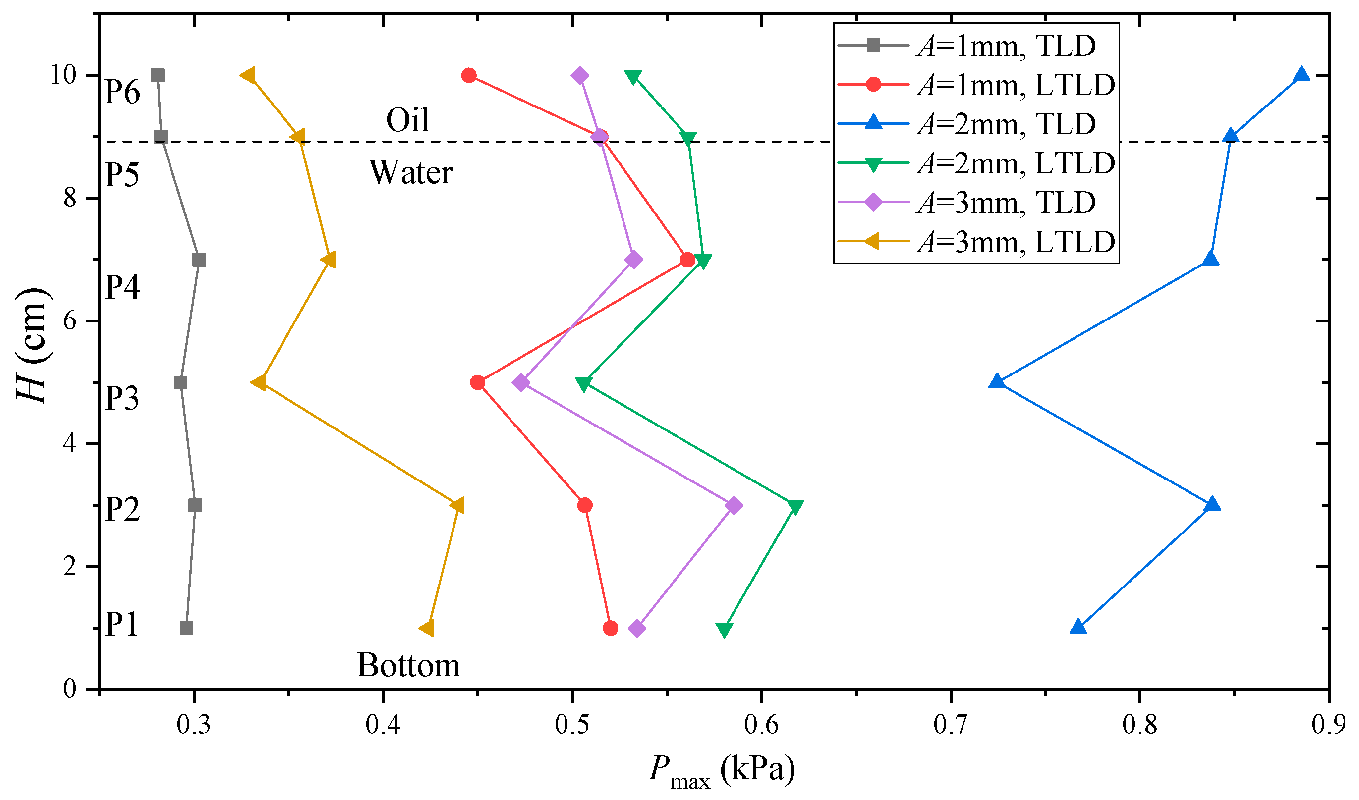
3.4. Fluctuating Pressure of LTLD Under Resonant Responses
4. Conclusions
- Through sweep tests, it is shown that the LTLD achieves a further 5.3% reduction in roof plate vibration compared to the conventional TLD when 1 mm. However, a negative effect is seen near 1.0 and 2.0. This indicates that the damper frequency doubling influence on the system cannot be ignored.
- On the topic of immiscibility between two layers of liquid, the system’s energy can be dissipated via the movement of the separation surface to increase structural damping. However, vibration reduction is affected when two fluid layers are miscible due to large-amplitude excitation. We recommend adopting the LTLD when < 0.04984.
- Under small-amplitude excitation, two natural frequencies of the fluid due to density stratification can be captured, representing the separation and free surface movement, respectively, which are close to the analytical results. These can be used to adjust the frequency band of the damper according to the structural displacement response spectrum.
- For large-amplitude excitation, the stratified fluid transferred energy through the interface, dissipated energy, and reduced the maximum pressure by about 25% in the transient state, which is essential in order to reduce impacts on and noise in the structure.
Author Contributions
Funding
Data Availability Statement
Conflicts of Interest
Abbreviations
| Variable | Definition |
| TLD | Tuned liquid damper |
| TLCD | Tuned mass damper |
| TMD | Tuned liquid column damper |
| LTLD | Layered tuned liquid damper |
| SSP | Supporting structural platform |
References
- Mousavi, S.A.; Zahrai, S.M.; Bargi, K. Optimum geometry of tuned liquid column-gas damper for control of offshore jacket platform vibrations under seismic excitation. Earthq. Eng. Eng. Vib. 2012, 11, 579–592. [Google Scholar] [CrossRef]
- An, Y.; Wang, Z.; Ou, G.; Pan, S.; Ou, J. Vibration mitigation of suspension bridge suspender cables using a ring-shaped tuned liquid damper. J. Bridge Eng. 2019, 24, 04019020. [Google Scholar] [CrossRef]
- Faltinsen, O.; Firoozkoohi, R.; Timokha, A. Effect of central slotted screen with a high solidity ratio on the secondary resonance phenomenon for liquid sloshing in a rectangular tank. Phys. Fluids 2011, 23, 062106. [Google Scholar] [CrossRef]
- Marivani, M.; Hamed, M. Numerical simulation of structure response outfitted with a tuned liquid damper. Comput. Struct. 2009, 87, 1154–1165. [Google Scholar] [CrossRef]
- Xue, M.-A.; Lin, P. Numerical study of ring baffle effects on reducing violent liquid sloshing. Comput. Fluids 2011, 52, 116–129. [Google Scholar] [CrossRef]
- Ong, P.P.; Adnan, A.; Kwok, K.; Ma, C.-K.; Tiong, P.; Behbahani, H.P. Dynamic simulation of unrestrained interlocking Tuned Liquid Damper blocks. Constr. Build. Mater. 2017, 144, 586–597. [Google Scholar] [CrossRef]
- Maravani, M.; Hamed, M. Numerical modeling of sloshing motion in a tuned liquid damper outfitted with a submerged slat screen. Int. J. Numer. Methods Fluids 2011, 65, 834–855. [Google Scholar] [CrossRef]
- Kashani, A.H.; Halabian, A.M.; Asghari, K. A numerical study of tuned liquid damper based on incompressible SPH method combined with TMD analogy. J. Fluids Struct. 2018, 82, 394–411. [Google Scholar] [CrossRef]
- Siddique, M.; Hamed, M.; El Damatty, A. A nonlinear numerical model for sloshing motion in tuned liquid dampers. Int. J. Numer. Methods Heat Fluid Flow 2005, 15, 306–324. [Google Scholar] [CrossRef]
- Love, J.; Tait, M. Non-linear multimodal model for tuned liquid dampers of arbitrary tank geometry. Int. J. Non-Linear Mech. 2011, 46, 1065–1075. [Google Scholar] [CrossRef]
- Ding, H.; Song, J.; Fang, X. On the characteristics of fluid flow field and oscillatory response of tuned liquid multi-column dampers. J. Fluids Struct. 2024, 131, 104206. [Google Scholar] [CrossRef]
- Altunişik, A.C.; Yetişken, A.; Kahya, V. Experimental study on control performance of tuned liquid column dampers considering different excitation directions. Mech. Syst. Signal Process. 2018, 102, 59–71. [Google Scholar] [CrossRef]
- Tait, M. Modelling and preliminary design of a structure-TLD system. Eng. Struct. 2008, 30, 2644–2655. [Google Scholar] [CrossRef]
- Zhang, Z.; Staino, A.; Basu, B.; Nielsen, S.R. Performance evaluation of full-scale tuned liquid dampers (TLDs) for vibration control of large wind turbines using real-time hybrid testing. Eng. Struct. 2016, 126, 417–431. [Google Scholar] [CrossRef]
- Lee, S.-K.; Park, E.C.; Min, K.-W.; Lee, S.-H.; Chung, L.; Park, J.-H. Real-time hybrid shaking table testing method for the performance evaluation of a tuned liquid damper controlling seismic response of building structures. J. Sound Vib. 2007, 302, 596–612. [Google Scholar] [CrossRef]
- Tao, J.; Ashasi-Sorkhabi, A.; Mercan, O.; Xing, G.; Duan, Y. Real-time hybrid simulation of a shear-type building under multi-mode control using a segmented tuned liquid damper. Structures 2026, 84, 110926. [Google Scholar] [CrossRef]
- Park, B.; Lee, Y.; Park, M.; Ju, Y.K. Vibration control of a structure by a tuned liquid column damper with embossments. Eng. Struct. 2018, 168, 290–299. [Google Scholar] [CrossRef]
- Fediw, A.; Isyumov, N.; Vickery, B. Performance of a tuned sloshing water damper. J. Wind Eng. Ind. Aerodyn. 1995, 57, 237–247. [Google Scholar] [CrossRef]
- Tait, M.; El Damatty, A.; Isyumov, N.; Siddique, M. Numerical flow models to simulate tuned liquid dampers (TLD) with slat screens. J. Fluids Struct. 2005, 20, 1007–1023. [Google Scholar] [CrossRef]
- Love, J.; Tait, M. Nonlinear simulation of a tuned liquid damper with damping screens using a modal expansion technique. J. Fluids Struct. 2010, 26, 1058–1077. [Google Scholar] [CrossRef]
- Kumar, A.; Sinhamahapatra, K. Dynamics of rectangular tank with perforated vertical baffle. Ocean Eng. 2016, 126, 384–401. [Google Scholar] [CrossRef]
- Frandsen, J. Numerical predictions of tuned liquid tank structural systems. J. Fluids Struct. 2005, 20, 309–329. [Google Scholar] [CrossRef]
- Bandyopadhyay, R.; Maiti, S.; Ghosh, A.; Chatterjee, A. Overhead water tank shapes with depth-independent sloshing frequencies for use as TLDs in buildings. Struct. Control Health Monit. 2018, 25, e2049. [Google Scholar] [CrossRef]
- Zahrai, S.M.; Abbasi, S.; Samali, B.; Vrcelj, Z. Experimental investigation of utilizing TLD with baffles in a scaled down 5-story benchmark building. J. Fluids Struct. 2012, 28, 194–210. [Google Scholar] [CrossRef]
- Xiao, C.; Wu, Z.; Chen, K.; Tang, Y.; Yan, Y. An experimental study on the equivalent nonlinear model for a large-sized tuned liquid damper. J. Build. Eng. 2023, 73, 106754. [Google Scholar] [CrossRef]
- Ha, M.; Cheong, C. Pitch motion mitigation of spar-type floating substructure for offshore wind turbine using multilayer tuned liquid damper. Ocean Eng. 2016, 116, 157–164. [Google Scholar] [CrossRef]
- Yang, J.; He, E.; Hu, Y. Dynamic modeling and vibration suppression for an offshore wind turbine with a tuned mass damper in floating platform. Appl. Ocean Res. 2019, 83, 21–29. [Google Scholar] [CrossRef]
- Wang, W.; Li, X.; Zhao, H.; Wang, B.; Li, Y. Vibration control of a pentapod offshore wind turbine under combined seismic wind and wave loads using multiple tuned mass damper. Appl. Ocean Res. 2020, 103, 102254. [Google Scholar] [CrossRef]
- Hemmati, A.; Oterkus, E.; Khorasanchi, M. Vibration suppression of offshore wind turbine foundations using tuned liquid column dampers and tuned mass dampers. Ocean Eng. 2019, 172, 286–295. [Google Scholar] [CrossRef]
- Sardar, R.; Chakraborty, S. Wave induced vibration control of offshore jacket platform by tuned liquid damper with floating base. Ocean Eng. 2023, 273, 113948. [Google Scholar] [CrossRef]
- Fu, L.; Guo, T.; Li, G. Investigation on damping performance of new type oscillator-liquid combined damper. Int. J. Mech. Sci. 2018, 135, 53–62. [Google Scholar] [CrossRef]
- Zhang, J.; Liu, Z.; Sun, K.; Chea, C.P.; Wei, M.; Zhang, Y.; Lin, Z.; Geng, Y. Vibration control and parametric optimization of tuned liquid column damper for offshore wind turbines during shutdown. Energy 2025, 338, 138831. [Google Scholar] [CrossRef]
- Yang, J.; Jiang, Z.; Zhu, C.; Chen, Z.; Sun, J.; Si, Y. Coupled dynamic analysis of a multi-column semi-submersible floating offshore wind turbine with tuned liquid column dampers. Ocean Eng. 2026, 343, 123183. [Google Scholar] [CrossRef]
- Ding, H.; Zhang, J.; Wang, J.-T. Incorporating the effects of liquid displacement exceedance and associated air entrainment in passive tuned liquid column damper design. Structures 2026, 86, 111310. [Google Scholar] [CrossRef]
- Bauer, H.F. Oscillations of immiscible liquids in a rectangular container: A new damper for excited structures. J. Sound Vib. 1984, 93, 117–133. [Google Scholar] [CrossRef]
- La Rocca, M.; Sciortino, G.; Adduce, C.; Boniforti, M. Experimental and theoretical investigation on the sloshing of a two-liquid system with free surface. Phys. Fluids 2005, 17, 062101. [Google Scholar] [CrossRef]
- Kim, K.S.; Kim, M.H.; Park, J.-C. Development of moving particle simulation method for multiliquid-layer sloshing. Math. Probl. Eng. 2014, 2014, 350165. [Google Scholar] [CrossRef]
- Vaziri, N.; Chern, M.-J.; Borthwick, A.G.L. PSME model of parametric excitation of two-layer liquid in a tank. Appl. Ocean Res. 2013, 43, 214–222. [Google Scholar] [CrossRef][Green Version]
- Cao, H.Q.; Tran, N.-A.; Bui, H.-L. Hedge-Algebras-based hybrid control of earthquake-induced buildings using upgraded tuned liquid column dampers. Soil Dyn. Earthq. Eng. 2024, 184, 108728. [Google Scholar] [CrossRef]
- Li, Y.; Deng, Y.; Li, A. A practical finite element simulation method for the Tuned Liquid Damper (TLD) in the entire structure. J. Eng. Res. 2024, 13, 2171–2178. [Google Scholar] [CrossRef]
- Suthar, S.J.; Jangid, R.S. Design of tuned liquid sloshing dampers using nonlinear constraint optimization for across-wind response control of benchmark tall building. Structures 2021, 33, 2675–2688. [Google Scholar] [CrossRef]
- Yu, L.; Xue, M.-A.; Zheng, J. Experimental study of vertical slat screens effects on reducing shallow water sloshing in a tank under horizontal excitation with a wide frequency range. Ocean Eng. 2019, 173, 131–141. [Google Scholar] [CrossRef]
- Shen, G.; Wang, R.; Li, D.; Qiu, H. On TLD character of stratified fluid. J. Hydrodyn. A 1996, 11, 196–204. [Google Scholar]
- Chen, Y.; Xue, M.A. Numerical simulation of liquid sloshing with different filling levels using OpenFOAM and experimental validation. Water 2018, 10, 1752. [Google Scholar] [CrossRef]
- Jiang, M.R.; Zhong, W.J.; Yu, J.X.; Liu, P.L.; Yin, H.J.; Wang, S.D.; Ma, Y.X. Experimental study on sloshing characteristics in the elastic tank based on Morlet wavelet transform. China Ocean Eng. 2018, 32, 400–412. [Google Scholar] [CrossRef]
- Dziedziech, K.; Staszewski, W.J.; Ghosh, A.; Basu, B.; Uhl, T. Characterisation of instantaneous dynamic parameters in vibration analysis of tuned liquid column dampers. Nonlinear Dyn. 2017, 90, 717–731. [Google Scholar] [CrossRef]
- Jin, X.; Lin, P.Z. Viscous effects on liquid sloshing under external excitations. Ocean Eng. 2019, 171, 695–707. [Google Scholar] [CrossRef]




















| Cases | A (mm) | fe (Hz) | Filling Ratio (%) | R |
|---|---|---|---|---|
| 1-1 | 1 | 0.5~2.5 | 35 | 0 |
| 2-1 | 1 | 35 | 0.5 | |
| 3-1 | 2 | 35 | 0 | |
| 4-1 | 2 | 35 | 0.5 | |
| 5-1 | 3 | 35 | 0 | |
| 6-1 | 3 | 35 | 0.5 | |
| 1-2 | 1 | 35 | 0.2 | |
| 2-2 | 1 | 35 | 0.25 | |
| 3-2 | 1 | 25 | 0 | |
| 4-2 | 1 | 25 | 0.2 | |
| 5-2 | 1 | 25 | 0.25 | |
| 6-2 | 1 | 25 | 0.5 |
| A (mm) | Filling Ratio (%) | R | dmax/A (mm) | K |
|---|---|---|---|---|
| 1 | 35 | 0 | 21.03 | \ |
| 1 | 35 | 0.5 | 19.92 | 5.28% |
| 2 | 35 | 0 | 16.24 | \ |
| 2 | 35 | 0.5 | 15.98 | 1.60% |
| 3 | 35 | 0 | 12.80 | \ |
| 3 | 35 | 0.5 | 14.27 | −11.48% |
| 1 | 35 | 0.2 | 21.66 | −3.00% |
| 1 | 35 | 0.25 | 22.17 | −5.42% |
| 1 | 25 | 0 | 19.15 | \ |
| 1 | 25 | 0.2 | 18.55 | 3.13% |
| 1 | 25 | 0.25 | 18.86 | 1.51% |
| 1 | 25 | 0.5 | 18.08 | 5.59% |
Disclaimer/Publisher’s Note: The statements, opinions and data contained in all publications are solely those of the individual author(s) and contributor(s) and not of MDPI and/or the editor(s). MDPI and/or the editor(s) disclaim responsibility for any injury to people or property resulting from any ideas, methods, instructions or products referred to in the content. |
© 2026 by the authors. Licensee MDPI, Basel, Switzerland. This article is an open access article distributed under the terms and conditions of the Creative Commons Attribution (CC BY) license.
Share and Cite
Dou, P.; Bian, S.; Ji, R.; Wang, Z.; Zhu, R.; Xing, Y. Experimental Study on Layered Tuned Liquid Damper with an Elastic Structure. J. Mar. Sci. Eng. 2026, 14, 413. https://doi.org/10.3390/jmse14050413
Dou P, Bian S, Ji R, Wang Z, Zhu R, Xing Y. Experimental Study on Layered Tuned Liquid Damper with an Elastic Structure. Journal of Marine Science and Engineering. 2026; 14(5):413. https://doi.org/10.3390/jmse14050413
Chicago/Turabian StyleDou, Peng, Shunshun Bian, Renwei Ji, Zhidong Wang, Renqing Zhu, and Yihan Xing. 2026. "Experimental Study on Layered Tuned Liquid Damper with an Elastic Structure" Journal of Marine Science and Engineering 14, no. 5: 413. https://doi.org/10.3390/jmse14050413
APA StyleDou, P., Bian, S., Ji, R., Wang, Z., Zhu, R., & Xing, Y. (2026). Experimental Study on Layered Tuned Liquid Damper with an Elastic Structure. Journal of Marine Science and Engineering, 14(5), 413. https://doi.org/10.3390/jmse14050413

