Research on Combustion Characteristics of Ammonia/N-Heptane Dual-Fuel Marine Compression Ignition Direct-Injection Engine
Abstract
1. Introduction
2. Numerical Model and Validation
2.1. Engine Operating Parameters
2.2. Model Establishment
2.3. Simulation Submodel Settings
2.4. Simulation Model Calibration
3. Results and Discussion
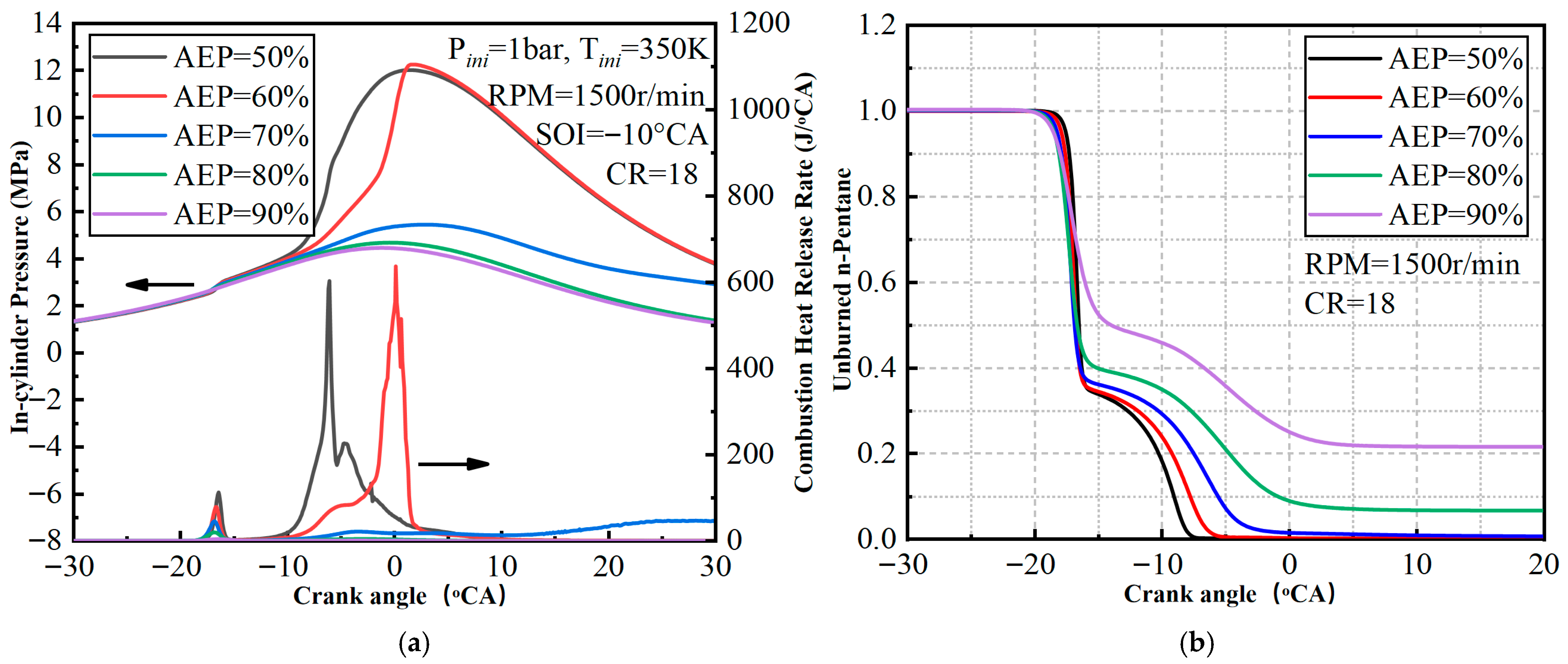
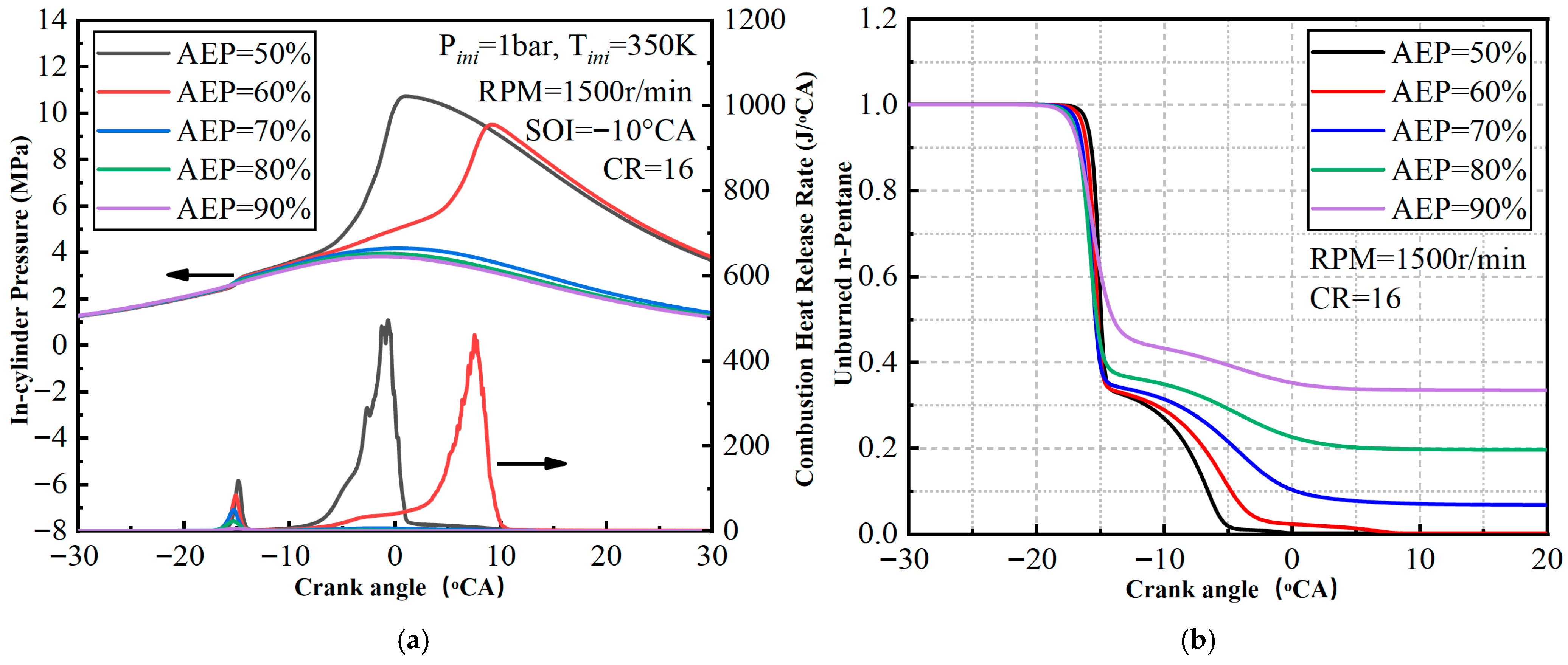
3.1. Analysis of the Impact of AEPs on Combustion Characteristics
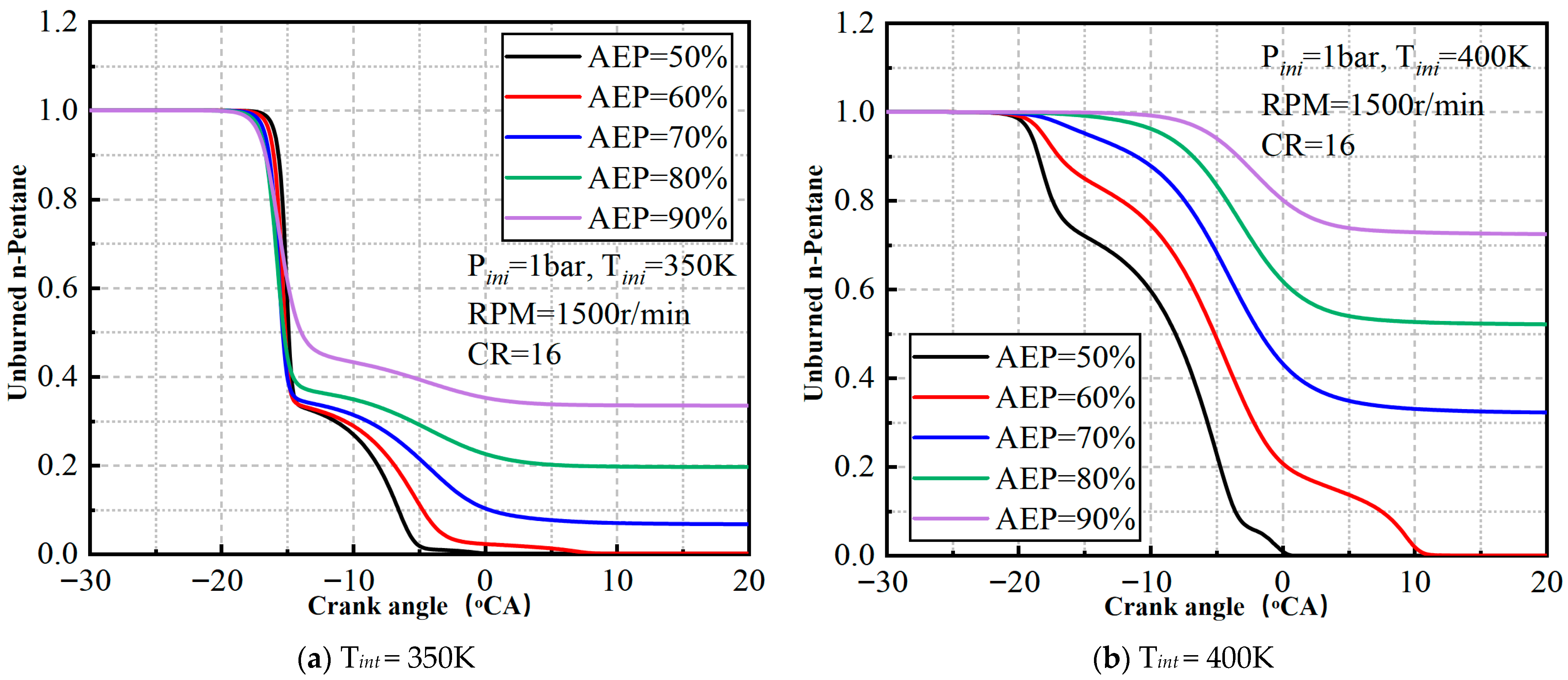
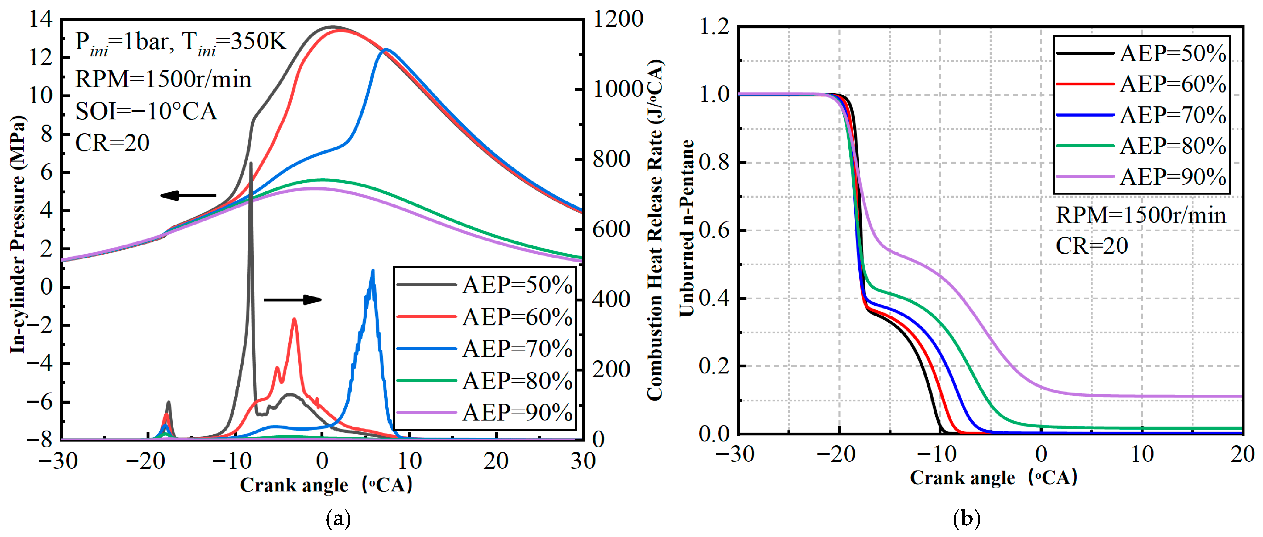
3.2. Effects of AEP on Combustion Characteristics at Various Compression Ratios (CRs)
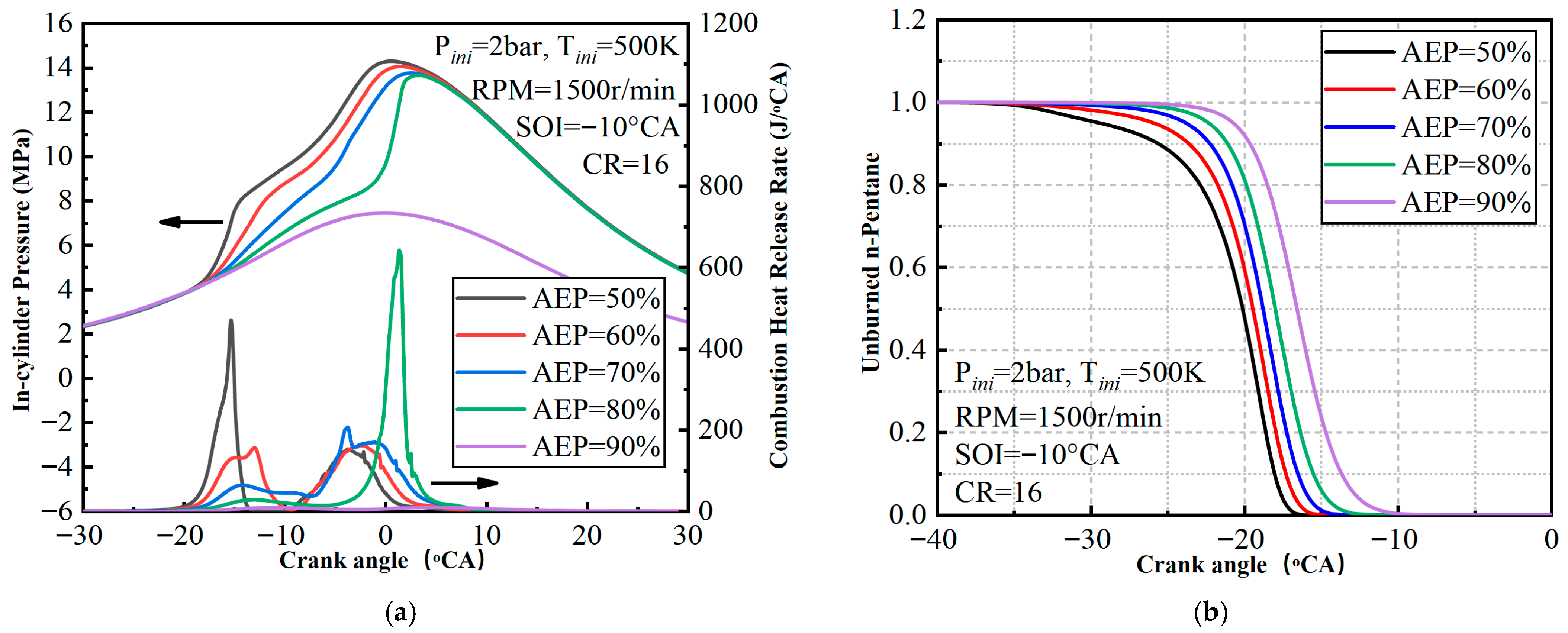
3.3. Analysis of the Impact of Intake Boundary Conditions Under Various AEPs
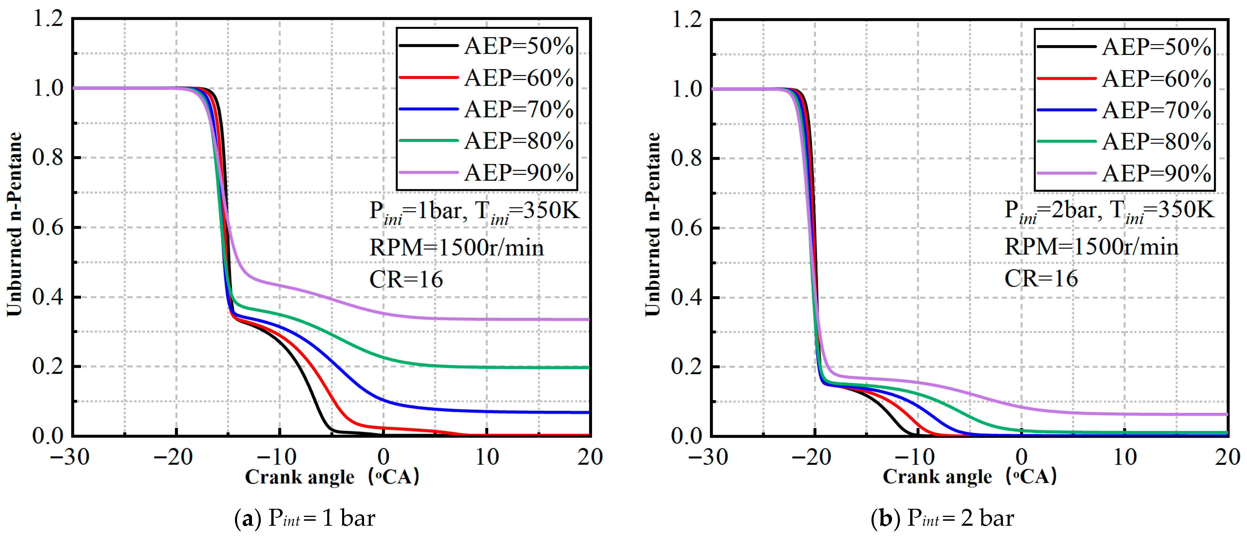
3.3.1. Analysis of the Impact of Intake Boosting on Combustion Characteristics
3.3.2. Analysis of the Impact of Intake Air Heating on Combustion Characteristics
3.3.3. Synergistic Effect of Intake Turbocharging and Intake Heating on Enhancing AEPs
4. Conclusions
- (1)
- Under the thermally active conditions generated by n-heptane compression ignition, ammonia fuel can achieve stable ignition and efficient combustion. The combustion characteristics of direct ammonia injection compression ignition closely resemble those of conventional diesel combustion. The direct-injection method facilitates ammonia diffusion combustion, yielding high combustion and thermal efficiencies while minimizing unburned ammonia emissions.
- (2)
- An analysis of the impact of AEPs on combustion characteristics reveals that as the AEP increases, the ammonia ignition and combustion characteristics are markedly affected. At an AEP of 70%, significant misfire occurs, attributed to ammonia’s strong resistance to auto-ignition and its high evaporation latent heat.
- (3)
- Elevating the compression ratio has a profound effect on ammonia ignition and combustion performance, with notable changes in ammonia’s combustion characteristics and heat release patterns observed across different CRs. Increasing the compression ratio effectively raises the proportion of ammonia fuel; at a compression ratio of 20, a 70% ammonia fuel ratio can achieve stable ignition and efficient combustion.
- (4)
- Increasing intake pressure or temperature alone does not effectively enhance the AEP. This is because elevated intake pressure increases in-cylinder working fluid density, diminishing the thermal atmosphere generated by n-heptane combustion, while increased intake temperature reduces the intake air volume, impacting n-heptane ignition and combustion efficiency and similarly weakening the in-cylinder thermal atmosphere. The results indicate that combining intake boosting and heating can effectively increase the AEP, further reducing carbon emissions from ammonia-fueled engines.
- (5)
- This strategy (port injection of n-heptane + direct in-cylinder injection of ammonia) enables stable combustion at medium-to-high average effective pressure (AEP). However, it faces issues such as ignition delay fluctuations, high sensitivity of high AEPs to injection parameters, and the core contradiction between ammonia slip and ignition. Compared with traditional direct diesel injection, this strategy is more suitable for medium-to-high load low-carbon marine propulsion. Optimizing the compression ratio (CR = 20) and intake coupling (2 bar + 500 K) can help manage these contradictions. In the future, it can be further optimized through the use of variable nozzles, pre-chambers, or hydrogen blending (5–10%).
Author Contributions
Funding
Data Availability Statement
Acknowledgments
Conflicts of Interest
References
- The 80nd Session of Its Marine Environment Protection Committee (MEPC 80); International Maritime Organization: London, UK, 2023.
- Mao, Z.; Ma, A.; Zhang, Z. Towards carbon neutrality in shipping: Impact of European Union’s emissions trading system for shipping and China’s response. Ocean Coast. Manag. 2024, 249, 107006. [Google Scholar] [CrossRef]
- Ming, Z.; Liu, B.; Zhang, X.; Wen, M.; Liu, H.; Cui, Y.; Ye, Y.; Wang, C.; Jin, C.; Yusuf, A.A.; et al. Study of methanol spray flame structure and combustion stability mechanisms by optical phenomenology and chemical kinetics. Fuel Process. Technol. 2023, 252, 107947. [Google Scholar] [CrossRef]
- Zhou, X.; Li, T.; Yang, W. Ammonia-hydrogen engine with single ammonia fuel supply. Joule 2025, 9, 101922. [Google Scholar] [CrossRef]
- Zhou, X.; Li, T.; Wang, N.; Wang, X.; Chen, R.; Li, S. Pilot diesel-ignited ammonia dual fuel low-speed marine engines: A comparative analysis of ammonia premixed and high-pressure spray combustion modes with CFD simulation. Renew. Sustain. Energy Rev. 2023, 173, 113108. [Google Scholar] [CrossRef]
- MAN Energy Solutions. MAN B&W Ammonia Engine Development, Version 15: A New Chapter—Ammonia Two-Stroke Engines; MAN Energy Solutions: Mumbai, India, 2024. [Google Scholar]
- Wang, N.; Li, T.; Zhou, X.; Li, S.; Chen, R. Characteristics of high-pressure ammonia spray combustion under diesel-like conditions. Appl. Therm. Eng. 2024, 257, 124335. [Google Scholar] [CrossRef]
- Tian, J.; Zhang, X.; Cui, Z.; Ye, M.; Wang, Y.; Xu, T.; Dong, P. Visualization study on ammonia/diesel dual direct injection combustion characteristics and interaction between sprays. Energy Convers. Manag. 2024, 299, 117857. [Google Scholar] [CrossRef]
- Scharl, V.; Lackovic, T.; Sattelmayer, T. Characterization of ammonia spray combustion and mixture formation under high-pressure, direct injection conditions. Fuel 2023, 333, 126454. [Google Scholar] [CrossRef]
- Zhang, Z.; Long, W.; Dong, P.; Tian, H.; Tian, J.; Li, B.; Wang, Y. Performance characteristics of a two-stroke low speed engine applying ammonia/diesel dual direct injection strategy. Fuel 2023, 332, 126086. [Google Scholar] [CrossRef]
- Mi, S.; Zhang, J.; Shi, Z.; Wu, H.; Zhao, W.; Qian, Y.; Lu, X. Optimization of direct-injection ammonia-diesel dual-fuel combustion under low load and higher ammonia energy ratios. Fuel 2024, 375, 132611. [Google Scholar] [CrossRef]
- Bjørgen, K.O.P.; Emberson, D.R.; Løvås, T. Combustion of liquid ammonia and diesel in a compression ignition engine operated in high-pressure dual fuel mode. Fuel 2024, 360, 130269. [Google Scholar] [CrossRef]
- Lesmana, H.; Zhang, Z.; Li, X.; Zhu, M.; Xu, W.; Zhang, D. NH3 as a transport fuel in internal combustion engines: A technical review. J. Energy Resour. Technol. 2019, 141, 070703. [Google Scholar] [CrossRef]
- Gray, J.T., Jr.; Dimitroff, E.; Meckel, N.T.; Quillian, R., Jr. Ammonia fuel-engine compatibility and combustion. SAE Trans. 1967, 75, 785–807. [Google Scholar]
- Hoseinpour, M.; Karami, R.; Salahi, M.M.; Andwari, A.M.; Gharehghani, A.; Garcia, A. Influence of Intake Charge Temperature and EGR Rate on the Combustion and Emission Characteristics of Ammonia/Diesel Dual-Fuel Engine; SAE Technical Paper; SAE International: Warrendale, PA, USA, 2024. [Google Scholar]
- Cameretti, M.C.; De Robbio, R.; Palomba, M. Numerical Investigation on an Injection Strategy Optimization for Dual Fuel Marine Engine Fuelled by Ammonia; SAE Technical Paper No. 2025-24-0013; SAE International: Warrendale, PA, USA, 2025. [Google Scholar]
- Kakoee, A.; Mikulski, M.; Vasudev, A.; Axelsson, M.; Hyvönen, J.; Salahi, M.M.; Andwari, A.M. Start of Injection Influence on In-Cylinder Fuel Distribution, Engine Performance and Emission Characteristic in a RCCI Marine Engine. Energies 2024, 17, 2370. [Google Scholar] [CrossRef]
- Palomba, M.; Salahi, M.M.; Cameretti, M.C.; Andwari, A.M. Enhancing Ammonia Combustion in Heavy-Duty SI Engines: A 3D-CFD Study on Pre-Chamber Ignition, Methane Addition, and Spark Timing Optimization; SAE Technical Paper; SAE International: Warrendale, PA, USA, 2025. [Google Scholar]
- Wang, Y.; Zhou, X.; Liu, L. Feasibility study of hydrogen jet flame ignition of ammonia fuel in marine low speed engine. Int. J. Hydrogen Energy 2023, 48, 327–336. [Google Scholar] [CrossRef]
- Marnellos, G.; Stoukides, M. Ammonia synthesis at atmospheric pressure. Science 1998, 282, 98–100. [Google Scholar] [CrossRef] [PubMed]
- Zhou, L.; Zhong, L.; Liu, Z.; Wei, H. Toward highly-efficient combustion of ammonia–hydrogen engine: Prechamber turbulent jet ignition. Fuel 2023, 352, 129009. [Google Scholar] [CrossRef]
- Wei, F.; Wang, P.; Cao, J.; Long, W.; Dong, D.; Tian, H.; Tian, J.; Zhang, X.; Lu, M. Visualization investigation of jet ignition ammonia-methanol by an ignition chamber fueled H2. Fuel 2023, 349, 128658. [Google Scholar] [CrossRef]
- Liu, L.; Wu, Y.; Wang, Y.; Wu, J.; Fu, S. Exploration of environmentally friendly marine power technology-ammonia/diesel stratified injection. J. Clean. Prod. 2022, 380, 135014. [Google Scholar] [CrossRef]
- Yousefi, A.; Guo, H.; Dev, S.; Liko, B.; Lafrance, S. Effects of ammonia energy fraction and diesel injection timing on combustion and emissions of an ammonia/diesel dual-fuel engine. Fuel 2022, 314, 122723. [Google Scholar] [CrossRef]
- Guo, B.; Ichiyanagi, M.; Kajiki, K.; Aratake, N.; Zheng, Q.; Kodaka, M.; Suzuki, T. Combustion analysis of ammonia fueled high compression ratio SI engine with glow plug and sub-chamber. Int. J. Automot. Eng. 2022, 13, 1–8. [Google Scholar] [CrossRef]
- Liu, X.; Marquez, M.E.; Sanal, S.; Silva, M.; AlRamadan, A.S.; Cenker, E.; Sharma, P.; Magnotti, G.; Turner, J.W.; Im, H.G. Computational assessment of the effects of pre-chamber and piston geometries on the combustion characteristics of an optical pre-chamber engine. Fuel 2023, 341, 127659. [Google Scholar] [CrossRef]
- Babayev, R.; Im, H.G.; Andersson, A.; Johansson, B. Hydrogen double compression-expansion engine (H2DCEE): A sustainable internal combustion engine with 60%+ brake thermal efficiency potential at 45 bar BMEP. Energy Convers. Manag. 2022, 264, 115698. [Google Scholar] [CrossRef]
- Gao, J.; Wang, X.; Song, P.; Tian, G.; Ma, C. Review of the backfire occurrences and control strategies for port hydrogen injection internal combustion engines. Fuel 2022, 307, 121553. [Google Scholar] [CrossRef]
- Lee, S.; Hwang, J.; Bae, C. Understanding hydrogen jet dynamics for direct injection hydrogen engines. Int. J. Engine Res. 2023, 24, 4433–4444. [Google Scholar] [CrossRef]
- Wei, F.; Lu, M.; Long, W.; Dong, D.; Dong, P.; Xiao, G.; Tian, J.; Tian, H.; Wang, P. Optical experiment study on Ammonia/Methanol mixture combustion performance induced by methanol jet ignition in a constant volume combustion bomb. Fuel 2023, 352, 129090. [Google Scholar] [CrossRef]
- Dong, D.; Wei, F.; Long, W.; Dong, P.; Tian, H.; Tian, J.; Wang, P.; Lu, M.; Meng, X. Optical investigation of ammonia rich combustion based on methanol jet ignition by means of an ignition chamber. Fuel 2023, 345, 128202. [Google Scholar] [CrossRef]
- Zhang, X.; Tian, J.; Cui, Z.; Xiong, S.; Yin, S.; Wang, Q.; Long, W. Visualization study on the effects of pre-chamber jet ignition and methane addition on the combustion characteristics of ammonia/air mixtures. Fuel 2023, 338, 127204. [Google Scholar] [CrossRef]
- Xu, L.; Bai, X.S. Numerical investigation of engine performance and emission characteristics of an ammo-nia/hydrogen/n-heptane engine under RCCI operating conditions. Flow Turbul. Combust. 2024, 112, 957–974. [Google Scholar] [CrossRef]
- Pan, J.; Tang, R.; Wang, Z.; Gao, J.; Xu, Q.; Shu, G.; Wei, H. An experimental and modeling study on the oxidation of ammonia and n-heptane with JSR. Proc. Combust. Inst. 2023, 39, 477–485. [Google Scholar] [CrossRef]
- Pearsall, T.J.; Garabedian, C.G. Combustion of Anhydrous Ammonia in Diesel Engines; SAE Technical Paper, 670947; SAE International: Warrendale, PA, USA, 1967. [Google Scholar]
- Reiter, A.J.; Kong, S.-C. Combustion and emissions characteristics of compression-ignition engine using dual ammonia-diesel fuel. Fuel 2011, 90, 87–97. [Google Scholar] [CrossRef]
- Niki, Y.; Nitta, Y.; Sekiguchi, H.; Hirata, K. Diesel fuel multiple injection effects on emission characteristics of diesel engine mixed ammonia gas into intake air. J. Eng. Gas Turbines Power 2019, 141, 061020. [Google Scholar] [CrossRef]
- Jin, S.; Wu, B.; Zi, Z.; Yang, P.; Shi, T.; Zhang, J. Effects of fuel injection strategy and ammonia energy ratio on combustion and emissions of ammonia-diesel dual-fuel engine. Fuel 2023, 341, 127668. [Google Scholar] [CrossRef]
- Liu, Z.; Zhou, L.; Zhong, L.; Wei, H. Reactivity controlled turbulent jet ignition (RCTJI) for ammonia engine. Int. J. Hydrogen Energy 2023, 48, 12519–12522. [Google Scholar] [CrossRef]
- Park, C.; Jang, I.; Kim, M.; Park, G.; Kim, Y. Effect of high compression ratio on thermal efficiency and unburned ammonia emissions of a dual-fuel high-pressure direct injection marine ammonia engine. Appl. Therm. Eng. 2025, 261, 125183. [Google Scholar] [CrossRef]
- Liu, X.; Tang, Q.; Im, H.G. Enhancing ammonia engine efficiency through pre-chamber combustion and dual-fuel compression ignition techniques. J. Clean. Prod. 2024, 436, 140622. [Google Scholar] [CrossRef]
- Dong, P.; Chen, S.; Dong, D.; Wei, F.; Lu, M.; Wang, P.; Long, W. Future zero carbon ammonia engine: Fundamental study on the effect of jet ignition system characterized by gasoline ignition chamber. J. Clean. Prod. 2024, 435, 140546. [Google Scholar] [CrossRef]
- Ou, J.; Yang, R.; Yan, Y.; Liu, J.; Liu, Z.; Liu, J. Chemical mechanism development for ammonia/n-heptane blends in dual fuel engines. J. Energy Inst. 2025, 120, 102077. [Google Scholar] [CrossRef]
- Huang, Z.; Wang, H.; Luo, K.; Fan, J. Direct numerical simulation of ammonia/n-heptane dual-fuel combustion under high pressure conditions. Fuel 2024, 367, 131460. [Google Scholar] [CrossRef]
- Meng, Q.; Wang, H.; Huang, Z.; Luo, K.; Fan, J. Direct numerical simulation of ammonia spray combustion ignited by n-heptane flame under high-pressure conditions. Appl. Energy Combust. Sci. 2025, 23, 100343. [Google Scholar] [CrossRef]
- Zhou, Y.; Xu, S.; Xu, L.; Bai, X.-S. Ignition, combustion modes and NO/N2O emissions in ammonia/n-heptane combustion under RCCI engine conditions. Combust. Flame 2025, 280, 114352. [Google Scholar] [CrossRef]
- Xu, L.; Chang, Y.; Treacy, M.; Zhou, Y.; Jia, M.; Bai, X.S. A Skeletal Chemical Kinetic Mechanism for Ammonia/N-Heptane Combustion. Fuel 2023, 331, 125830. [Google Scholar] [CrossRef]
- Chang, Y.; Jia, M.; Wang, P.; Niu, B.; Liu, J. Construction and derivation of a series of skeletal chemical mechanisms for n-alkanes with uniform and decoupling structure based on reaction rate rules. Combust. Flame 2022, 236, 111785. [Google Scholar] [CrossRef]
- Stagni, A.; Cavallotti, C.; Arunthanayothin, S.; Song, Y.; Herbinet, O.; Battin-Leclerc, F.; Faravelli, T. An experimental, theoretical and kinetic-modeling study of the gas-phase oxidation of ammonia. React. Chem. Eng. 2020, 5, 696–711. [Google Scholar] [CrossRef]
- Metcalfe, W.K.; Burke, S.M.; Ahmed, S.S.; Curran, H.J. A Hierarchical and comparative kinetic modeling study of C1 − C2 hydrocarbon and oxygenated fuels. Int. J. Chem. Kinet. 2013, 45, 638–675. [Google Scholar] [CrossRef]
- Song, Y.; Marrodán, L.; Vin, N.; Herbinet, O.; Assaf, E.; Fittschen, C.; Stagni, A.; Faravelli, T.; Alzueta, M.U.; Battin-Leclerc, F. The sensitizing effects of NO2 and NO on methane low temperature oxidation in a jet stirred reactor. Proc. Combust. Inst. 2019, 37, 667–675. [Google Scholar] [CrossRef]
- Faravelli, T.; Frassoldati, A.; Ranzi, E. Kinetic modeling of the interactions between NO and hydrocarbons in the oxidation of hydrocarbons at low temperatures. Combust. Flame 2003, 132, 188–207. [Google Scholar] [CrossRef]
- Frassoldati, A.; Faravelli, T.; Ranzi, E. Kinetic modeling of the interactions between NO and hydrocarbons at high temperature. Combust. Flame 2003, 135, 97–112. [Google Scholar] [CrossRef]
- Han, Z.; Reitz, R.D. Turbulence modeling of internal combustion engines using RNG κ-ε models. Combust. Sci. Technol. 1995, 106, 267–295. [Google Scholar] [CrossRef]
- Dec, J.E.; Reltz, R.D. Comparisons of diesel spray liquid penetration and vapor fuel distributions with in-cylinder optical measurements. J. Eng. Gas Turbines Power 2000, 122, 588–595. [Google Scholar]
- O’Rourke, P.J.; Amsden, A.A. A spray/wall interaction submodel for the KIVA-3 wall film model. J. Engines 2000, 109, 281–298. [Google Scholar]
- Schmidt, D.P.; Rutland, C.J. A new droplet collision algorithm. J. Comput. Phys. 2000, 164, 62–80. [Google Scholar] [CrossRef]
- Han, Z.; Reitz, R.D. A temperature wall function formulation for variable-density turbulent flows with application to engine convective heat transfer modeling. Int. J. Heat Mass Transf. 1997, 40, 613–625. [Google Scholar] [CrossRef]
- Senecal, P.K.; Pomraning, E.; Richards, K.J.; Briggs, T.E.; Choi, C.Y.; McDavid, R.M.; Patterson, M.A. Multi-dimensional modeling of direct-injection diesel spray liquid length and flame lift-off length using cfd and parallel detailed chemistry. J. Engines 2003, 112, 1331–1351. [Google Scholar]
- Maroteaux, F.; Saad, C. Combined mean value engine model and crank angle resolved in-cylinder modeling with NOx emissions model for real-time diesel engine simulations at high engine speed. Energy 2015, 88, 515–527. [Google Scholar] [CrossRef]
- Li, Z.; Wang, Y.; Yin, Z.; Gao, Z.; Wang, Y.; Zhen, X. Parametric study of a single-channel diesel/methanol dual-fuel injector on a diesel engine fueled with directly injected methanol and pilot diesel. Fuel 2021, 302, 121156. [Google Scholar] [CrossRef]






























| Parameter | Value |
|---|---|
| Cylinder diameter | 105 mm |
| Piston stroke | 125 mm |
| Connecting rod length | 210 mm |
| Engine speed | 1500 r/min |
| Indicated Mean Effective Pressure (IMEP) | 12.6 bar |
| Maximum Combustion Pressure (MCP) | 150 bar |
| Compression ratio | 16 |
| Single-engine rated output | 175 kW |
| Intake Valve Closing | −133 °CA |
| Exhaust Valve Closing | −14 °CA |
| Pilot fuel injection timing | −7 °CA |
| Submodel | Parameter Values | Diesel Spray Model | Ammonia Spray Model |
|---|---|---|---|
| KH-model | Size constant B0 | 0.61 | 0.61 |
| Velocity constant C1 | 0.188 | 0.188 | |
| Breakup time constant B1 | 0.1 | 8.0 | |
| RT-model | Breakup time constant Cτ | 1.5 | 0.95 |
| Size constant CRT | 0.5 | 0.4 |
| Physical Model Name | Submodel Settings |
|---|---|
| Turbulence model | RNG k-ε [54] |
| Spray breakup model | KH-RT [55] |
| Drop turbulent dispersion model | Wall Film-O’Rourke [56] |
| Spray collision model | NTC collision [57] |
| Wall heat transfer model | Han and Reitz model [58] |
| Combustion model | SAGE [59] |
| Carbon smoke emission model | Hiroyasu soot [60] |
| NOx formation model | Extended Zeldovich [61] |
| Soot emissions | Hiroyasu soot model |
Disclaimer/Publisher’s Note: The statements, opinions and data contained in all publications are solely those of the individual author(s) and contributor(s) and not of MDPI and/or the editor(s). MDPI and/or the editor(s) disclaim responsibility for any injury to people or property resulting from any ideas, methods, instructions or products referred to in the content. |
© 2026 by the authors. Licensee MDPI, Basel, Switzerland. This article is an open access article distributed under the terms and conditions of the Creative Commons Attribution (CC BY) license.
Share and Cite
Wang, Z.; Zhu, J.; Liu, X.; Huang, J.; Wang, H.; Fu, Z.; Zhong, J. Research on Combustion Characteristics of Ammonia/N-Heptane Dual-Fuel Marine Compression Ignition Direct-Injection Engine. J. Mar. Sci. Eng. 2026, 14, 354. https://doi.org/10.3390/jmse14040354
Wang Z, Zhu J, Liu X, Huang J, Wang H, Fu Z, Zhong J. Research on Combustion Characteristics of Ammonia/N-Heptane Dual-Fuel Marine Compression Ignition Direct-Injection Engine. Journal of Marine Science and Engineering. 2026; 14(4):354. https://doi.org/10.3390/jmse14040354
Chicago/Turabian StyleWang, Zhongcheng, Jie Zhu, Xiaoyu Liu, Jin Huang, Haonan Wang, Zhenqiang Fu, and Jingjun Zhong. 2026. "Research on Combustion Characteristics of Ammonia/N-Heptane Dual-Fuel Marine Compression Ignition Direct-Injection Engine" Journal of Marine Science and Engineering 14, no. 4: 354. https://doi.org/10.3390/jmse14040354
APA StyleWang, Z., Zhu, J., Liu, X., Huang, J., Wang, H., Fu, Z., & Zhong, J. (2026). Research on Combustion Characteristics of Ammonia/N-Heptane Dual-Fuel Marine Compression Ignition Direct-Injection Engine. Journal of Marine Science and Engineering, 14(4), 354. https://doi.org/10.3390/jmse14040354

