Experimental Study on Optimization of Gravel Packing Parameters for Sand Control in Unconsolidated Sandstone Reservoirs
Abstract
1. Introduction
2. Experiment Methodology
2.1. Experiment Apparatus
2.2. Experiment Materials
2.3. Experiment Procedure
- (1)
- According to the blending scheme, 200 g of synthetic reservoir sand was prepared and thoroughly mixed. A laser particle-size analyzer was used to ensure that the median grain size and grain-size distribution curve matched the target reservoir-sand characteristics, thereby ensuring the validity of the experimental data.
- (2)
- Depending on the experimental conditions, a metal mesh screen was installed, or gravel of different particle sizes was packed. The packing density was controlled by adjusting the mass of gravel. After the sand-control unit was assembled, it was mounted at the designated position and connected to the flow lines.
- (3)
- Experimental fluid (water or oil) was injected into the sand-mixing unit to check for leaks. The stirrer was then switched on, and the premixed sand was added through the sand-injection port until the vessel was filled, after which the port was closed. The system was evacuated for 15 min.
- (4)
- The data-acquisition software was started, and the pump was set to an injection rate of 100 mL/min. The outlet valve was opened to initiate the experiment, while pressure data were recorded in real time, and produced fluids were collected. The pressure difference between the two ends of the sand-control unit, monitored by the data-acquisition system, increases with the severity of plugging. Based on the measured pressure difference, the permeability of the sand-control unit under unidirectional flow can be calculated using Darcy’s law as follows:
- (5)
- After 60 min, when the pressure had become relatively stable, the experiment was stopped. The discharge valve was opened, the sand-control unit was removed, and sand invasion into the screen and gravel pack was visually examined.
- (6)
- The produced fluids and the sand that passed through the sand-retention medium were collected, dried, and weighed. A laser particle-size analyzer was then used to measure the maximum grain size and median grain size of the produced sand. According to the industry standard SY/T 5183-2024 [38], the sand-retention performance of the medium was evaluated using the “one-in-ten thousand” criterion, i.e., the cumulative sand production must not exceed 0.3‰ of the produced liquid volume.
2.4. Experiment Scheme
3. Results
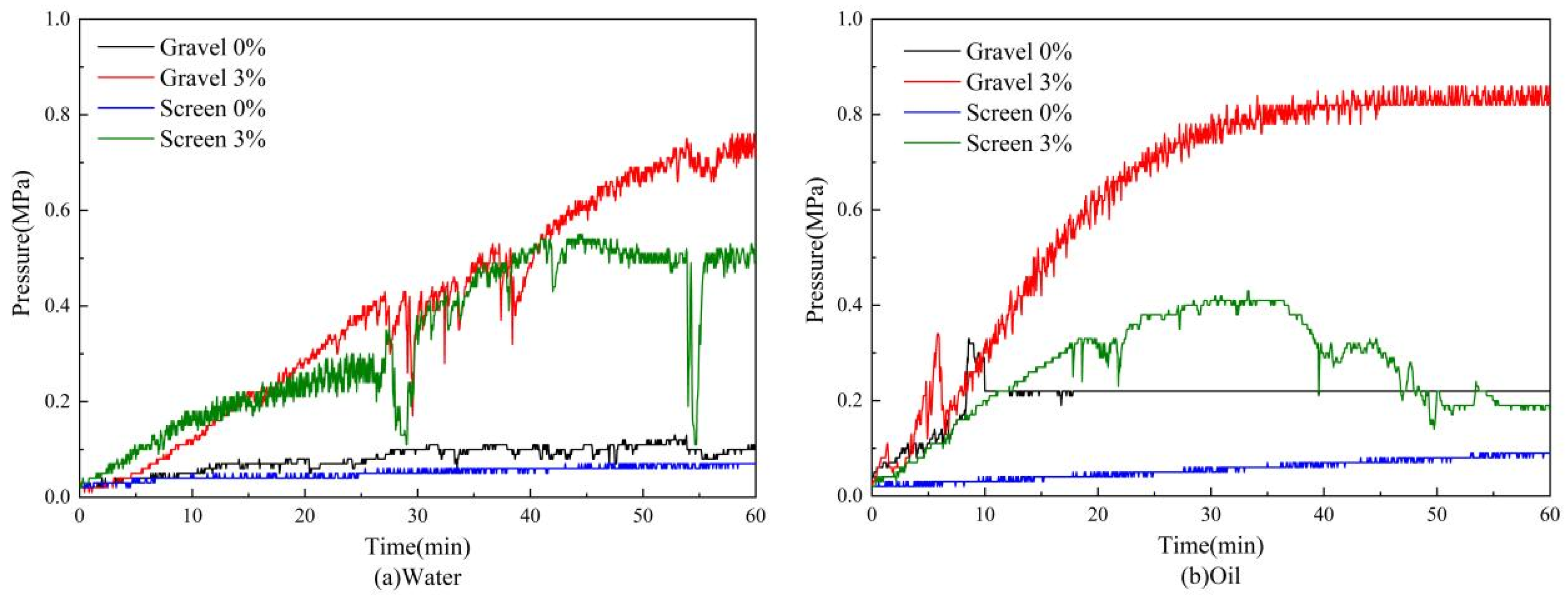
3.1. Comparison Between Screen and Gravel Packing
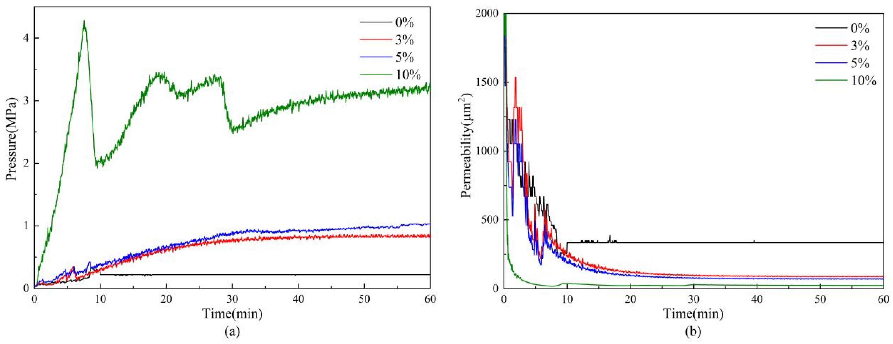
3.2. Influence of Gravel Size on Gravel Packing
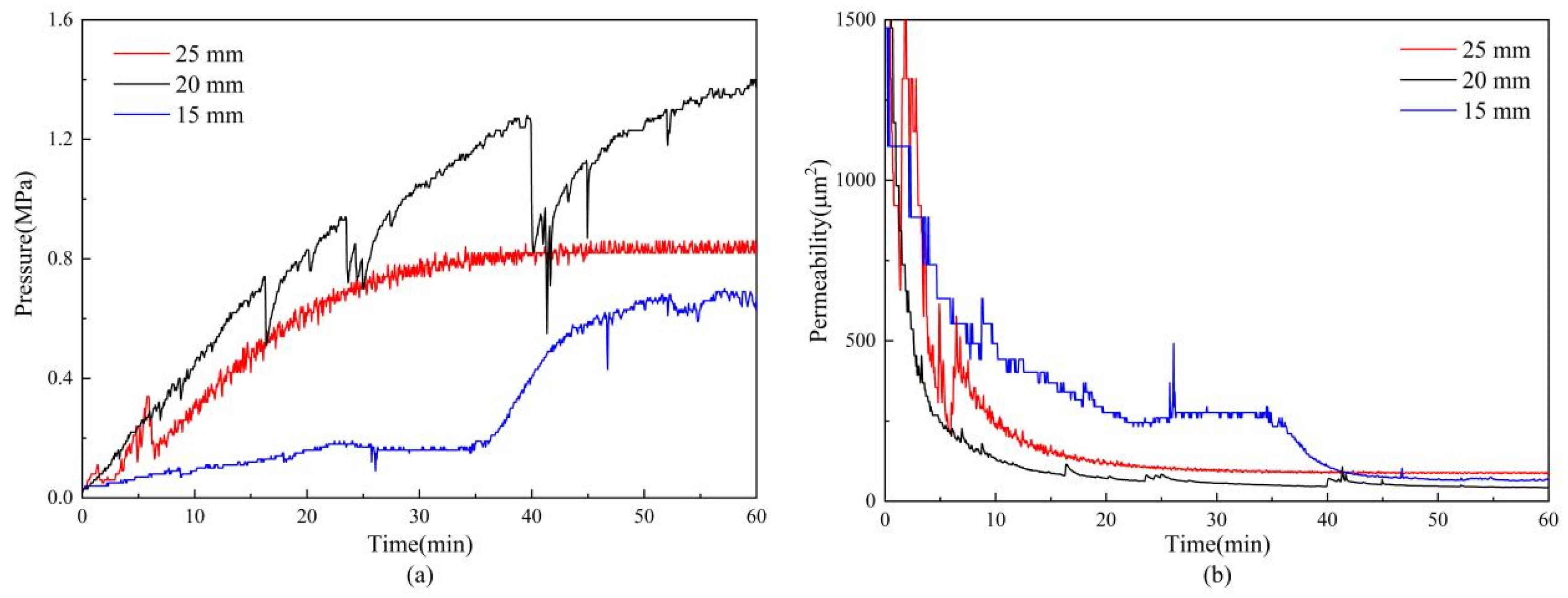
3.3. Influence of Packing Thickness on Gravel Packing
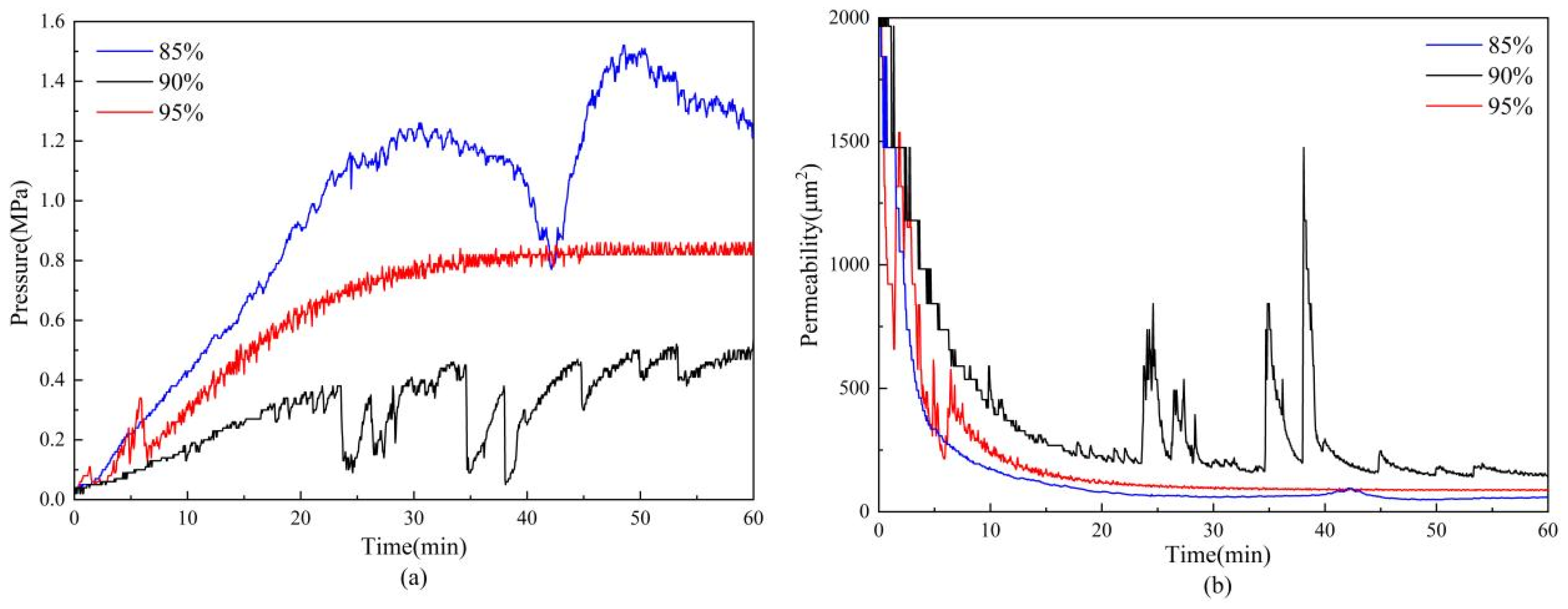
3.4. Influence of Packing Density on Gravel Packing
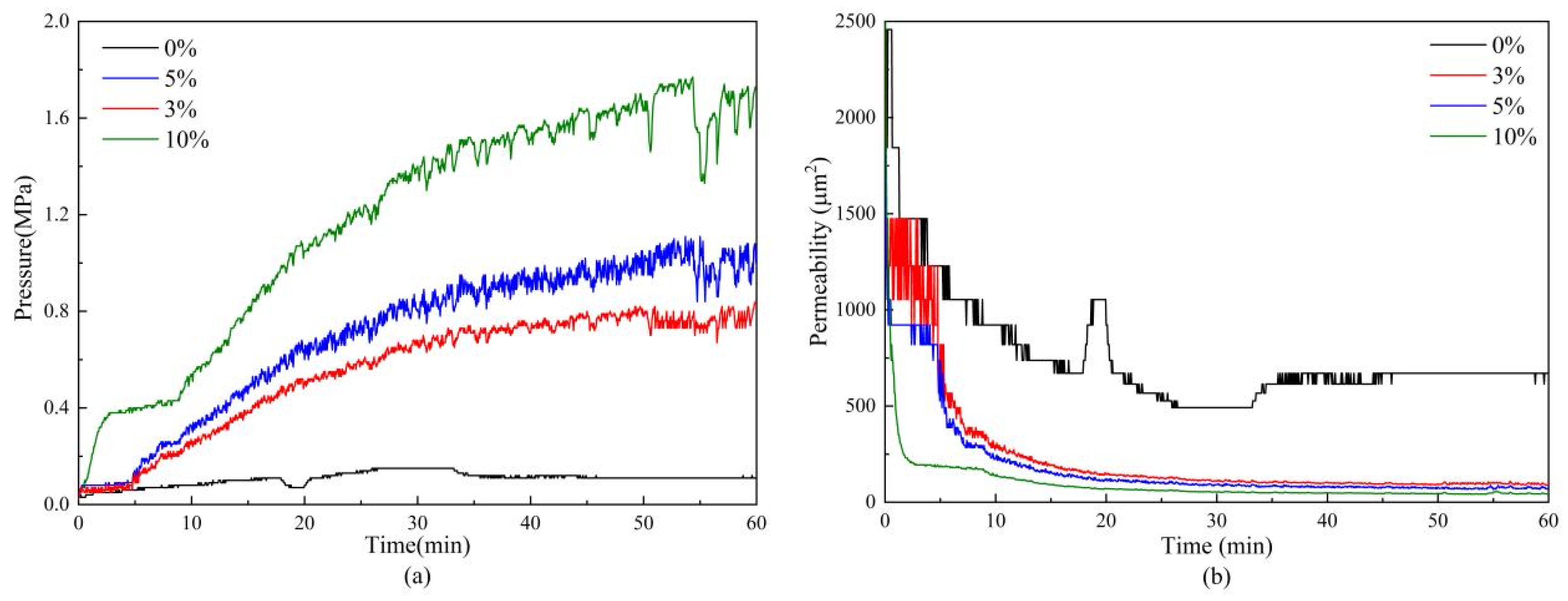
3.5. Influence of Reservoir Clay Content on Gravel Packing
3.6. Numerical Verification and Mechanistic Interpretation
3.6.1. Numerical Method
3.6.2. Model Description
3.6.3. Analysis of Reservoir-Sand Migration Results
4. Discussion
5. Conclusions
- (1)
- Under long-term operation, the pressure-difference curve of the gravel pack follows a “rise–then–stabilize” pattern, indicating the formation of a stable bridging structure and a multistage filtration zone. The time to reach stable production is 38.1% shorter than for the screen, showing higher late-time stability and adaptability. Under clay-bearing conditions, screens are more prone to fine-sand breakthrough. After a stable bridge forms in the gravel pack, the controlled sand production is reduced by 74.4% compared with the screen.
- (2)
- Low-viscosity oil has a stronger sand-carrying capacity than water, which accelerates both sand production and plugging. Compared with the water phase, the stabilized pressure difference across the sand-control unit increases by 12%, and the pressure curve rises more rapidly.
- (3)
- For the target reservoir characterized by heterogeneous fine sand and low clay content, gravel sizes of approximately 3–6 times the median reservoir-sand grain size provide an optimal compromise between permeability and sand-retention efficiency. If the gravel is too fine, clay and fine sand readily accumulate near the surface, causing a rapid permeability decline. If the gravel is too coarse, pore throats become too wide, and the risk of fine-sand breakthrough increases.
- (4)
- In field applications, it is critical to ensure sufficient packing thickness (≥25 mm) and packing density (90–95%). Insufficient thickness or low packing density leads to pronounced pressure fluctuations and can promote the formation of preferential sand-production channels or severe local plugging.
- (5)
- Clay content is strongly positively correlated with the pressure difference across the gravel pack. High clay content can cause severe coupled plugging by clay and sand, yet the pressure curve ultimately stabilizes, indicating that gravel packs retain a certain adaptability to increasing clay content. At moderate clay contents, slightly reducing the gravel size to about 3–4 times the median reservoir-sand grain size can mitigate clay–sand coupled plugging.
- (6)
- Gravel-pack plugging proceeds through four stages: initiation, surface accumulation, deep filling, and equilibrium. Coarse particles first form a skeletal bridge near the boundary and at the surface; part of the coarse and fine particles then progressively fill medium-to-large pores inside the pack, and the system gradually develops a stable multistage filtration structure. This evolution is consistent with the experimental observation that the pressure difference first increases and then stabilizes, while late-time sand production remains very low.
Author Contributions
Funding
Data Availability Statement
Conflicts of Interest
Appendix A
Appendix A.1. Fluid Control Equation
Appendix A.2. Particle Motion Control Equation
Appendix A.3. Force Between Fluid and Particles
References
- Ying, R.; Zhao, X.; Shi, B.; Wu, L.; Zhang, X.; Jiang, Z.; Guo, X. Experimental study on erosion and wear law of metal screen under spraying condition. J. Mech. 2022, 38, 117–127. [Google Scholar] [CrossRef]
- Shirinabadi, R.; Moarefvaand, P.; Goshtasbi, K.; Ahangari, K. The physical and numerical modeling of sand production and gravel pack in oil wells by designing and manufacturing the machine and presenting a relation estimating sand production rate. J. Min. Sci. 2016, 52, 300–312. [Google Scholar] [CrossRef]
- Ma, S.; Huang, J.; Zhang, F. Reasonable horizontal well producing drawdown determination of the low-permeability unconsolidated sandstone reservoir in western south china sea. Spec. Oil Gas Reserv. 2018, 25, 138–142. [Google Scholar]
- Zhang, Z. An Advanced Sand Control Technology for Heavy Oil Reservoirs. Master’s Thesis, University of Calgary, Calgary, AB, Canada, 2017. [Google Scholar]
- Lin, S.; Lu, Y.; Liu, Z.; Lu, W.; Hu, P. Novel Water-Based Mud for Low-Permeable Reservoir in South China Sea. Energies 2023, 16, 1738. [Google Scholar] [CrossRef]
- Chen, G.; Meng, Y.; Huan, J.; Wang, Y.; Zhang, L.; Xiao, L. Distribution and origin of anomalously high permeability zones in Weizhou formation, Weizhou 12-X oilfield, Weixinan Sag, China. Earth Sci. Inform. 2021, 14, 2003–2015. [Google Scholar] [CrossRef] [PubMed]
- Zhou, B.; Dong, C.; Gan, L.; Liu, Y.; Xu, H.; Li, Q. Experimental simulation and new prediction model of sand control screen erosion performance in weakly consolidated heterogeneous reservoirs. J. Pet. Sci. Eng. 2022, 215, 110587. [Google Scholar] [CrossRef]
- Xin, Y.; Chen, G.; Lei, Y.; Ren, P.; He, Z. Analysis of Sand Production Reasons of Oil Wells in Loose Sandstone Reservoir of XX Oilfield in Bohai Sea. Technol. Superv. Pet. Ind. 2024, 41, 6–11. (In Chinese) [Google Scholar]
- Yeh, C.; Moffett, T.; Barry, M.; Hecker, M.; Howell, D.; Green, A.; Gillespie, G.; Hall, C.; McNamee, S. Enhancing sand screen reliability: An innovative, adaptive approach. In Proceedings of the SPE Annual Technical Conference and Exhibition, Florence, Italy, 20–22 September 2010; p. SPE-134492-MS. [Google Scholar]
- Abduljabbar, A.; Mohyaldinn, M.E.; Younis, O.; Alghurabi, A.; Alakbari, F.S. Erosion of sand screens by solid particles: A review of experimental investigations. J. Pet. Explor. Prod. Technol. 2022, 12, 2329–2345. [Google Scholar] [CrossRef]
- Peng, Y.; Fu, G.; Sun, B.; Sun, X.; Chen, J.; Estefen, S.F. Bending Deformation and Ultimate Moment Calculation of Screen Pipes in Offshore Sand Control Completion. J. Mar. Sci. Eng. 2023, 11, 754. [Google Scholar] [CrossRef]
- Gundemoni, B.R.; Jackson, S.R.; Zimmermann-Ptacek, J.; Barth, P.; Idris, K.N.; Yeap, W.J.; Catherine, T.L. Ceramic Sand Screen Design Enhancement Lessons Learnt from Initial Field Installations of through Tubing Applications in Offshore East Malaysia to Improve Well Performance. In Proceedings of the Offshore Technology Conference Asia, Kuala Lumpur, Malaysia, 2–6 November 2020; p. D041S040R004. [Google Scholar]
- Khan, R.; Ya, H.H.; Pao, W.; Khan, A. Erosion–corrosion of 30°, 60°, and 90° carbon steel elbows in a multiphase flow containing sand particles. Materials 2019, 12, 3898. [Google Scholar] [CrossRef]
- Yang, L.; Lin, H.; Zhou, S.; Feng, Z. An Improved Artificial Electric Field Algorithm for Determining the Maximum Length of Gravel Packing in Deep-Water Horizontal Well. J. Mar. Sci. Eng. 2024, 12, 1507. [Google Scholar] [CrossRef]
- Nie, S.; Li, H.; Hu, Z.; Wen, M.; Gao, S.; Zhang, H.; Luo, H.; Zhang, L. A review of the research status and development prospects for gravel packing sand control in horizontal wells. Geoenergy Sci. Eng. 2023, 229, 212152. [Google Scholar] [CrossRef]
- Fucheng, D.; Jingen, D.; Ying, Y.; Lihua, W.; Wei, Y. Gravel pre-packed screen development and filled parameters optimization research. SOCAR Proc. 2012, 4, 20–29. [Google Scholar] [CrossRef]
- Li, Y.; Chen, S.; Wang, X.; Zhang, D.; Liu, S.; Xia, Z. Sand control method optimization of loose sandstone in X oilfield in eastern South China Sea. Chem. Eng. Equip. 2023, 3, 91–92. (In Chinese) [Google Scholar]
- Shi, H.; Dong, C.; Zhan, X.; Liu, C.; Li, L.; Ji, J.; Yu, Y.; Li, Z. Selection Results of Solid Material for Horizontal and Highly-Deviated Well Completion Gravel-Packing: Experiments, Numerical Simulation and Proposal. J. Mar. Sci. Eng. 2024, 12, 1690. [Google Scholar]
- Carlson, J.; Gurley, D.; King, G.; Price-Smith, C.; Waters, F. Sand control: Why and how. Oilfield Rev. 1992, 4, 41–53. [Google Scholar]
- Saucier, R. Considerations in gravel pack design. J. Pet. Technol. 1974, 26, 205–212. [Google Scholar] [CrossRef]
- Zimmermann, J.H.B.; Haftani, M.; Wang, C.; Salimi, M.; Nouri, A. A novel laboratory technique for open-hole gravel-pack design. J. Pet. Sci. Eng. 2022, 215, 110713. [Google Scholar]
- Bigna, Y.; Oyeneyin, M.; Peden, J. Investigation of pore-blocking mechanism in gravel packs in the management and control of fines migration. In Proceedings of the SPE International Conference and Exhibition on Formation Damage Control, Lafayette, LA, USA, 7–10 February 1994; p. SPE-27342-MS. [Google Scholar]
- Liu, Q.; Cui, X.; Zhang, C.; Huang, S. Experimental investigation of suspended particles transport through porous media: Particle and grain size effect. Environ. Technol. 2016, 37, 854–864. [Google Scholar]
- Dong, C.; Zhou, Y.; Chen, Q.; Zhu, C.; Li, Y.; Li, X.; Liu, Y. Effects of fluid flow rate and viscosity on gravel-pack plugging and the optimization of sand-control wells production. Pet. Explor. Dev. 2019, 46, 1251–1259. [Google Scholar] [CrossRef]
- Nguyen, P.; Fitzpatrick, H.; Woodbridge, G.; Reidenbach, V. Analysis of gravel packing using 3-D numerical simulation. In Proceedings of the SPE International Conference and Exhibition on Formation Damage Control, Lafayette, LA, USA, 26–27 February 1992; p. SPE-23792-MS. [Google Scholar]
- Zare-Reisabadi, M.R.; Beidokhti, M.; Kaffash, A.; Bataee, M. Sand production prediction and well completion optimization. Int. J. Pet. Geosci. Eng. 2014, 2, 361–374. [Google Scholar]
- Zamani, A.; Maini, B. Flow of dispersed particles through porous media—Deep bed filtration. J. Pet. Sci. Eng. 2009, 69, 71–88. [Google Scholar] [CrossRef]
- Seyed Atashi, S.M.; Goshtasbi, K.; Basirat, R. Fluid properties effects on sand production using discrete element method. J. Chem. Pet. Eng. 2018, 52, 169–179. [Google Scholar]
- Lezhnev, K. Application of discrete element method for modelling sand control systems. In Proceedings of the SPE Russian Petroleum Technology Conference, Moscow, Russia, 15–17 October 2018; p. D033S017R015. [Google Scholar]
- Li, Y.; Li, M.; Qin, G.; Wu, J.; Wang, W. Numerical simulation study on gravel-packing layer damage by integration of innovative experimental observations. In Proceedings of the SPE Canada Heavy Oil Conference, Calgary, Canada, 12–14 June 2012; p. SPE-157927-MS. [Google Scholar]
- Luo, B.; Xiong, Y.; Li, Z.; Qu, Z.; Liu, F.; Guo, T.; Yang, Z.; Shi, Y. Experimental and Numerical Analysis of Particle Migration and Patterning Behavior in a Gravel Pack. Fluid Dyn. Mater. Process. 2022, 19, 911–928. [Google Scholar] [CrossRef]
- Deng, F.; Wen, L.; Li, G.; Fan, B.; Gong, N.; Chen, S. Study of the blocking mechanism in gravel packing based on CFD-DEM. Particuology 2024, 90, 164–178. [Google Scholar] [CrossRef]
- Ma, C.; Dou, Y.; Deng, J.; Hui, C.; Zhao, K.; Feng, Y.; Dou, L. Numerical simulations of sand-screen performance in unconsolidated prepacked gravel screen. Energy Sci. Eng. 2023, 12, 983–1003. [Google Scholar] [CrossRef]
- Deng, J.; Li, P.; Zhou, J.; He, B.; Chen, S.; Wang, L. Sand control optimization applied to moderately sanding wells in offshore loose sandstone reservoirs. Acta Pet. Sin. 2012, 33, 676–680. (In Chinese) [Google Scholar]
- Deng, F.; Shen, X.; Liang, Q.; Wang, L.; Wang, J.; Deng, Z.; Wei, J. The jamming mechanism of sand control screen for the montmorillonite inflation with the water. J. Pet. Explor. Prod. Technol. 2018, 8, 189–194. [Google Scholar] [CrossRef]
- Lou, M.; Yang, X.; Yao, G.; Jiang, P. Relationship between authigenic clay mineral and dessert reservoir—A case study in Weixinan Sag and Wenchang A Sag. Geol. Surv. China 2021, 8, 13–23. (In Chinese) [Google Scholar]
- Alcocer, C.; Toups, M.; Hayatdavoudi, A.; Ghalambor, A.; Okoye, C. The Effect of Temperature on the Size Stability of Conventional and Ceramic Gravel Packs. In Proceedings of the SPE International Conference and Exhibition on Formation Damage Control, Lafayette, LA, USA, 22–23 February 1990; p. SPE-19405-MS. [Google Scholar]
- SY/T 5183-2016; Evaluation Methods for Sand Control Effect of Oil Well. China Industry Standard (Petroleum): Beijing, China, 2024.
- Changyin, D. Sand Control Technology for Oil and Gas Wells; China Petrochemical Press: Beijing, China, 2009; p. 104. (In Chinese) [Google Scholar]
- Peng, X.; Dou, L.; Gao, Q.; Tian, P.; Li, M.; Gao, W. A new gravel pack parameter optimization scheme to reduce the risk of sand production in unconsolidated sandstone reservoirs. Powder Technol. 2025, 465, 121338. [Google Scholar] [CrossRef]
- Feng, S.; Wei, Y.; Zhang, Q.; Wang, T.; A, X.; Xing, Z. The technical parameters of sand control by gravel packing in the Sebei gas field. Nat. Gas Ind. 2009, 29, 89–91+142–143. (In Chinese) [Google Scholar]
- Cao, Y.; Wen, M.; Qiu, H.; Xinjiang, Y.; Zhai, X. Erosion life prediction of metal mesh screen pipes in oil wells based on numerical simulation of discrete particle flow. ACS Omega 2023, 8, 39807–39815. [Google Scholar] [CrossRef]
- Ramezanian, M. An Experimental Study to Investigate the Effect of Temperature and Pressure on a Modified Design of Gravel Packing with Oil Swelling Rubber Particles and Unconventional Rock Properties. Ph.D. Thesis, Texas Tech University, Lubbock, TX, USA, 2020. [Google Scholar]
- Dong, C.; Gao, K.; Dong, S.; Shang, X.; Wu, Y.; Zhong, Y. A new integrated method for comprehensive performance of mechanical sand control screens testing and evaluation. J. Pet. Sci. Eng. 2017, 158, 775–783. [Google Scholar] [CrossRef]
- Matanovic, D.; Cikes, M.; Moslavac, B. Sand Control in Well Construction and Operation; Springer Science & Business Media: Heidelberg/Berlin, Germany, 2012; pp. 54–64. [Google Scholar]
- Gao, K.; Dong, C.; Gao, J.; Zhou, C.; He, H.; Dong, Y. Regularity of permeability loss in gravel-packing layer for sand control during initial production. Oil Drill. Prod. Technol. 2016, 38, 876–881. [Google Scholar]
- Wang, Z.-G.; Li, A.-F.; Zhang, H.-L. Experimental study on the mechanism of gravel packing for gravel packing. J. China Univ. Pet. (Ed. Nat. Sci.) 2000, 24, 49–53. [Google Scholar]
- Dong, C.; Gao, K.; Wang, J.; Zhi, Q. Experimental study on mechanical and chemical combined plugging mechanism of sand control media in heavy oil reservoirs with polymer flooding. J. China Univ. Pet. (Ed. Nat. Sci.) 2016, 40, 104–111. [Google Scholar]
- Sparlin, D.D. Sand and gravel-A study of their permeabilities. In Proceedings of the SPE International Conference and Exhibition on Formation Damage Control, New Orleans, LA, USA, 30 January–1 February 1974; p. SPE-4772-MS. [Google Scholar]
- Cheng, K.; Wang, Y.; Yang, Q. A semi-resolved CFD-DEM model for seepage-induced fine particle migration in gap-graded soils. Comput. Geotech. 2018, 100, 30–51. [Google Scholar] [CrossRef]
- Hu, Z.; Zhang, Y.; Yang, Z. Suffusion-induced deformation and microstructural change of granular soils: A coupled CFD–DEM study. Acta Geotech. 2019, 14, 795–814. [Google Scholar] [CrossRef]
- Goodarzi, M.; Kwok, C.Y.; Tham, L.G. A continuum-discrete model using Darcy’s law: Formulation and verification. Int. J. Numer. Anal. Methods Geomech. 2015, 39, 327–342. [Google Scholar] [CrossRef]
- Boutt, D.; Cook, B.; Williams, J. A coupled fluid–solid model for problems in geomechanics: Application to sand production. Int. J. Numer. Anal. Methods Geomech. 2011, 35, 997–1018. [Google Scholar] [CrossRef]
- Zhu, H.P.; Zhou, Z.Y.; Yang, R.; Yu, A. Discrete particle simulation of particulate systems: Theoretical developments. Chem. Eng. Sci. 2007, 62, 3378–3396. [Google Scholar] [CrossRef]
- Cundall, P.A.; Strack, O.D. A discrete numerical model for granular assemblies. Geotechnique 1979, 29, 47–65. [Google Scholar] [CrossRef]
- Mao, S.; Shang, Z.; Chun, S.; Li, J.; Wu, K. An efficient three-dimensional multiphase particle-in-cell model for proppant transport in the field scale. In Proceedings of the SPE/AAPG/SEG Unconventional Resources Technology Conference, Denver, CO, USA, 22–24 July 2019; p. D023S034R001. [Google Scholar]
- Tsuji, Y.; Kawaguchi, T.; Tanaka, T. Discrete particle simulation of two-dimensional fluidized bed. Powder Technol. 1993, 77, 79–87. [Google Scholar] [CrossRef]
- Ismail, N.I.; Kuang, S.; Yu, A. CFD-DEM study of particle-fluid flow and retention performance of sand screen. Powder Technol. 2021, 378, 410–420. [Google Scholar]
- Chilamkurti, Y.N. Towards Understanding the Heat Transfer Behavior of Dense Granular Media; North Carolina State University: Raleigh, NC, USA, 2019; pp. 43–49. [Google Scholar]
- Deshpande, R.; Antonyuk, S.; Iliev, O. Study of the filter cake formed due to the sedimentation of monodispersed and bidispersed particles using discrete element method–computational fluid dynamics simulations. AIChE J. 2019, 65, 1294–1303. [Google Scholar] [CrossRef]
- Kloss, C.; Goniva, C.; Hager, A.; Amberger, S.; Pirker, S. Models, algorithms and validation for opensource DEM and CFD–DEM. Prog. Comput. Fluid Dyn. Int. J. 2012, 12, 140–152. [Google Scholar]
- Liu, Y.; Wang, L.; Hong, Y.; Yin, Z.-Y. Coupled thermo-hydro-mechanical-chemical modeling of fines migration in hydrate-bearing sediments with CFD-DEM. Can. Geotech. J. 2022, 60, 701–717. [Google Scholar] [CrossRef]
- Song, Y.; Ranjith, P.; Wu, B.; Song, Z. A microscopic study of sand arches and sand skeletons under hydrodynamic force based on the CFD-DEM model. J. Nat. Gas Sci. Eng. 2021, 92, 104017. [Google Scholar] [CrossRef]
- Yang, W.; Wen, Z.; Wei, X. Loose Sandstone Reservoir Gravel Packing Sand Control Technology Research on Parameters Optimization. Sci. Technol. Eng. 2013, 13, 2813–2816+2826. (In Chinese) [Google Scholar]
- Zhu, B.; Tang, H.; Wang, X.; Zhao, F.; Yuan, X. Coupled CFD-DEM simulation of granular LCM bridging in a fracture. Part. Sci. Technol. 2020, 38, 371–380. [Google Scholar] [CrossRef]
- Wu, C.-Y. Discrete Element Modelling of Particulate Media; Royal Society of Chemistry: London, UK, 2012; pp. 46–50. [Google Scholar]





















| Sieve Size /Mesh | Particle-Size Range/mm | Blending Ratio, Sample 1/wt% | Blending Ratio, Sample 2/wt% | Blending Ratio, Sample 3/wt% | Blending Ratio, Sample 4/wt% |
|---|---|---|---|---|---|
| 26/40 | 0.707–0.420 | 10 | 10 | 10 | 5 |
| 40/70 | 0.420–0.210 | 15 | 15 | 15 | 15 |
| 70/110 | 0.210–0.134 | 20 | 20 | 20 | 20 |
| 110/160 | 0.134–0.088 | 40 | 40 | 40 | 40 |
| 160/200 | 0.088–0.074 | 15 | 12 | 10 | 10 |
| Clay | / | 0 | 3 | 5 | 10 |
| Test ID | Sand-Control Unit | Gravel Size /Mesh | Packing Thickness/mm | Packing Density/% | Clay Content/% | Test Fluid |
|---|---|---|---|---|---|---|
| W-0 | Metal sintered-mesh screen | / | / | / | 0 | Water |
| W-3 | / | / | / | 3 | Water | |
| O-0 | / | / | / | 0 | Oil | |
| O-3 | / | / | / | 3 | Oil | |
| W16/30-0 | Gravel packing | 16/30 | 25 | 95 | 0 | Water |
| W16/30-3 | 16/30 | 25 | 95 | 3 | Water | |
| W20/40-3 | 20/40 | 25 | 95 | 3 | Water | |
| O16/30-0 | 16/30 | 25 | 95 | 0 | Oil | |
| O16/30-3 | 16/30 | 25 | 95 | 3 | Oil | |
| O10/20-3 | 10/20 | 25 | 95 | 3 | Oil | |
| O20/40-3 | 20/40 | 25 | 95 | 3 | Oil | |
| O30/50-3 | 30/50 | 25 | 95 | 3 | Oil | |
| O-T20-3 | 16/30 | 20 | 95 | 3 | Oil | |
| O-T15-3 | 16/30 | 15 | 95 | 3 | Oil | |
| O-D90-3 | 16/30 | 25 | 90 | 3 | Oil | |
| O-D85-3 | 16/30 | 25 | 85 | 3 | Oil | |
| O16/30-5 | 16/30 | 25 | 95 | 5 | Oil | |
| O16/30-10 | 16/30 | 25 | 95 | 10 | Oil | |
| O20/40-0 | 20/40 | 25 | 95 | 0 | Oil | |
| O20/40-5 | 20/40 | 25 | 95 | 5 | Oil | |
| O20/40-10 | 20/40 | 25 | 95 | 10 | Oil |
| Particle | Property | Value | |
|---|---|---|---|
| Gravel | Diameter/mm | 0.8, 1.2 | |
| Proportion | 40%, 60% | ||
| Poisson’s ratio | 0.25 | ||
| Density/kg/m3 | 2500 | ||
| Shear modulus/Pa | 106 | ||
| Coefficient of restitution | to gravel | 0.36 | |
| to sand | 0.45 | ||
| to wall | 0.3 | ||
| Coefficient of static friction | to gravel | 0.6 | |
| to sand | 0.5 | ||
| to wall | 0.4 | ||
| Coefficient of rolling friction | to gravel | 0.03 | |
| to sand | 0.03 | ||
| to wall | 0.01 | ||
| Sand | Diameter/mm | 0.1, 0.2 | |
| Proportion | 30%, 70% | ||
| Poisson’s ratio | 0.25 | ||
| Density/kg/m3 | 2660 | ||
| Shear modulus/Pa | 2 × 106 | ||
| Coefficient of restitution | to sand | 0.4 | |
| to wall | 0.3 | ||
| Coefficient of static friction | to sand | 0.6 | |
| to wall | 0.4 | ||
| Coefficient of rolling friction | to sand | 0.02 | |
| to wall | 0.01 | ||
Disclaimer/Publisher’s Note: The statements, opinions and data contained in all publications are solely those of the individual author(s) and contributor(s) and not of MDPI and/or the editor(s). MDPI and/or the editor(s) disclaim responsibility for any injury to people or property resulting from any ideas, methods, instructions or products referred to in the content. |
© 2026 by the authors. Licensee MDPI, Basel, Switzerland. This article is an open access article distributed under the terms and conditions of the Creative Commons Attribution (CC BY) license.
Share and Cite
Du, P.; Guo, H.; An, Y.; Zhang, Y. Experimental Study on Optimization of Gravel Packing Parameters for Sand Control in Unconsolidated Sandstone Reservoirs. J. Mar. Sci. Eng. 2026, 14, 139. https://doi.org/10.3390/jmse14020139
Du P, Guo H, An Y, Zhang Y. Experimental Study on Optimization of Gravel Packing Parameters for Sand Control in Unconsolidated Sandstone Reservoirs. Journal of Marine Science and Engineering. 2026; 14(2):139. https://doi.org/10.3390/jmse14020139
Chicago/Turabian StyleDu, Peng, Hairui Guo, Youkeren An, and Yiqun Zhang. 2026. "Experimental Study on Optimization of Gravel Packing Parameters for Sand Control in Unconsolidated Sandstone Reservoirs" Journal of Marine Science and Engineering 14, no. 2: 139. https://doi.org/10.3390/jmse14020139
APA StyleDu, P., Guo, H., An, Y., & Zhang, Y. (2026). Experimental Study on Optimization of Gravel Packing Parameters for Sand Control in Unconsolidated Sandstone Reservoirs. Journal of Marine Science and Engineering, 14(2), 139. https://doi.org/10.3390/jmse14020139
