Influence Mechanism of Well Location and Near-Well Secondary Hydrates on Gas Production of Class 1S Hydrate Reservoirs
Abstract
1. Introduction
2. Geological Background
3. Model Construction
3.1. Model Description
3.2. Production Modes
3.3. Model Verification
4. Results and Discussions
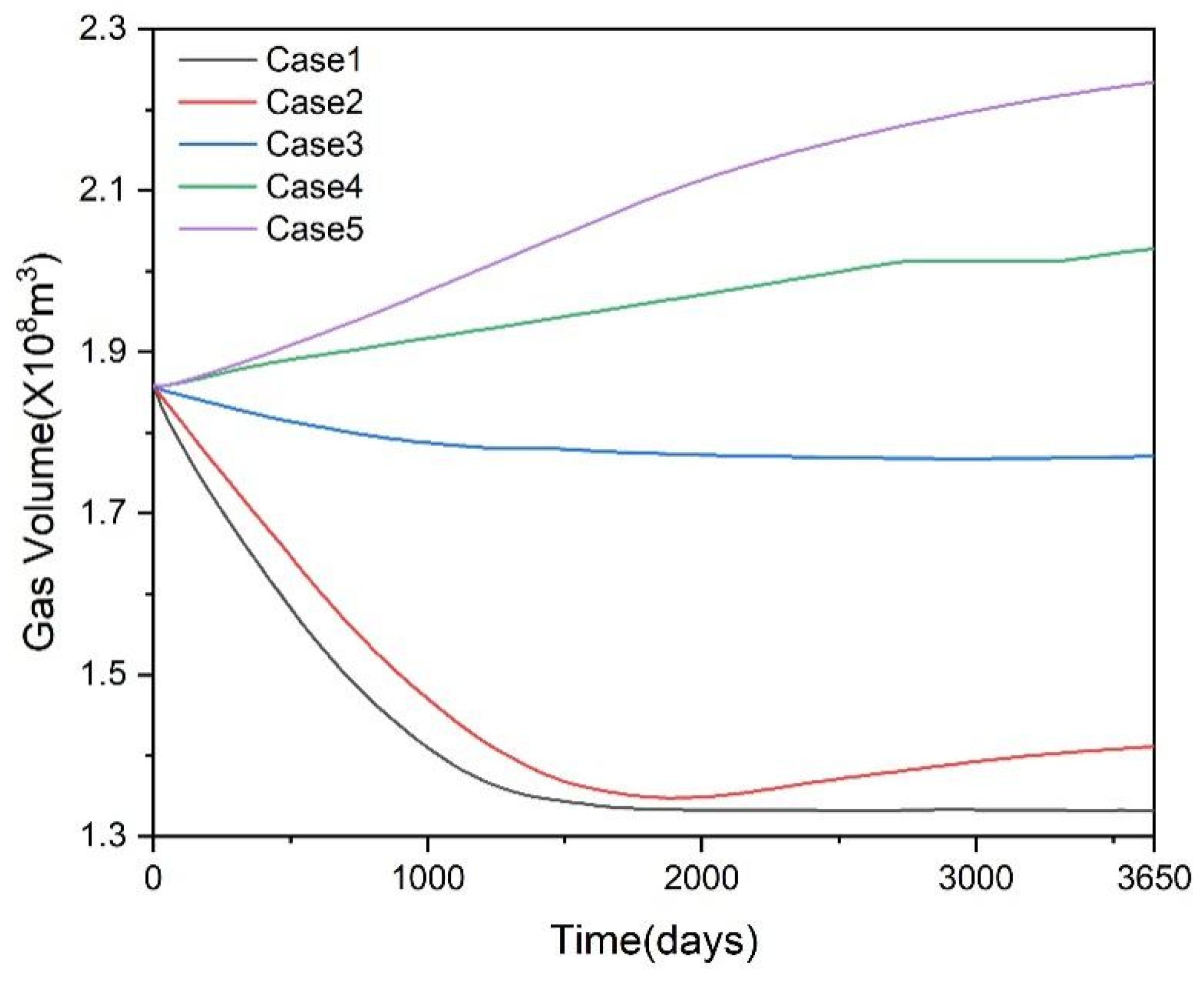
4.1. Production Characteristic
4.2. Evolution of Hydrate Distribution
4.3. Effect of Wellbore Pressure on Results
5. Conclusions
- (1)
- The formation mechanism of Class 1S hydrate deposits involves: a robust deep gas supply system, a gas chimney-dominated transport system, and the hydrate storage system within stable domains coupled with the sealing effect of the caprock.
- (2)
- Case 1, located within the gas accumulation zone, is recommended as the priority option to achieve the highest cumulative gas production. Additional production wells may be considered in later stages to enhance recovery rates.
- (3)
- Secondary hydrate formation significantly impacts production in Cases 3, 4, and 5. Measures such as wellbore heating can be employed to minimize secondary hydrate formation around the wellbore.
- (4)
- Geomechanical deformations do exert a certain influence on the results, especially in the three-phase zone. However, the article does not consider geomechanical deformation. This will be a focus of our subsequent work.
Author Contributions
Funding
Data Availability Statement
Acknowledgments
Conflicts of Interest
References
- Sloan, E.D. Fundamental principles and applications of natural gas hydrates. Nature 2003, 426, 353–359. [Google Scholar] [CrossRef]
- Kvenvolden, K.A.; Lorenson, T.D. The global occurrence of natural gas hydrate. Geophys. Monogr. 2001, 124, 87–98. [Google Scholar] [CrossRef]
- Cherskiy, V.P.; Tsarev, V.P.; Nikitin, S.P. Investigation and prediction of conditions of accumulation of gas resource in gas-hydrate pools. Pet. Geol. 1984, 21, 84–89. [Google Scholar]
- Liu, C.L.; Meng, Q.G.; He, X.L.; Li, C.F.; Ye, Y.G.; Lu, Z.Q.; Zhu, Y.H.; Li, Y.H.; Liang, J.Q. Comparison of the characteristics for natural gas hydrate recovered from marine and terrestrial areas in China. J. Geochem. Explor. 2015, 152, 67–74. [Google Scholar] [CrossRef]
- Makogon, Y.F. Natural gas hydrates-a promising source of energy. J. Nat. Gas Sci. Eng. 2010, 2, 49–59. [Google Scholar] [CrossRef]
- Makogon, Y.F.; Holditch, S.A.; Makogon, T.Y. Russian field illustrates gas-hydrate production. Oil Gas J. 2005, 103, 43–50. [Google Scholar]
- Dallimore, S.R.; Uchida, T.; Collett, T.S. Scientific results from JAPAX/JNOC/GSC Mallik 2L-38 gas hydrate research well, Mackenzie Delta, Northwest Territories, Canada. Geol. Surv. Can. Bull. 1999, 544, 295–311. [Google Scholar]
- De Angelis, M.A.; Lilley, M.D.; Baross, J.A. Methane oxidation in deep-sea hydrothermal plumes of the endeavour segment of the Juan de Fuca Ridge. Deep Sea Res. Part I 1993, 40, 1169–1186. [Google Scholar] [CrossRef]
- Chazallon, B.; Rodriguez, C.T.; Ruffine, Y.; Carpentier, Y.; Riboulot, Y. Characterizing the variability of natural gas hydrate composition from a selected site of the Western Black Sea, off Romania. Mar. Pet. Geol. 2020, 124, 104785. [Google Scholar] [CrossRef]
- Klauda, J.B.; Sandler, S.I. Global distribution of methane hydrate in ocean sediment. Energy Fuels 2005, 19, 459–470. [Google Scholar] [CrossRef]
- Takahashi, H.; Yonezawa, T.; Fercho, E. Operation Overview of the 2002 Mallik gas hydrate production research well program at the Mackenzie Delta in the Canadian Arctic. In Proceedings of the Offshore Technology Conference, Houston, TX, USA, 5 May 2003. [Google Scholar] [CrossRef]
- Moridis, G.J.; Collett, T.S.; Dallimore, S.R.; Satoh, T.; Hancock, S.; Weatherill, B. Numerical studies of gas production from several CH4-hydrate zones at the Mallik Site, Mackenzie Delta, Canada. J. Petrol. Sci Eng. 2004, 43, 219–238. [Google Scholar] [CrossRef]
- Alp, D.; Parlaktuna, M.; Moridis, G.J. Gas production by depressurization from hypothetical Class 1G and Class 1W hydrate reervoirs. Energy Convers. Manag. 2007, 48, 1864–1879. [Google Scholar] [CrossRef]
- Moridis, G.J.; Kowalsky, M.B.; Pruess, K. Depressurization-induced gas production from Class 1 hydrate deposits. SPE J. Res. Eval. Eng. 2007, 10, 458–481. [Google Scholar] [CrossRef]
- Moridis, G.J.; Sloan, E.D. Gas production potential of disperse low-saturation hydrate accumulations in oceanic sediments. Energy Convers. Manag. 2007, 48, 1834–1849. [Google Scholar] [CrossRef]
- Moridis, G.J.; Collett, T.S.; Boswell, R.; Hancock, S.; Coh, C. Gas Hydrates as a Potential Energy Source: State of Knowledge and Challenges; Springer: Berlin/Heidelberg, Germany, 2013; pp. 977–1033. [Google Scholar] [CrossRef]
- Moridis, G.J.; Collett, T.S.; Pooladi-Darvish, M.; Hancock, S.H.; Santamarina, C.; Boswell, R.; Kneafsey, T.J.; Rutqvist, J.; Kowalsky, M.B.; Reagan, M.T. Challenges, Uncertainties and Issues Facing Gas Production from Hydrate Deposits in Geologic Systems. In Proceedings of the SPE Unconventional Gas Conference, Pittsburgh, PA, USA, 23–25 February 2010. [Google Scholar] [CrossRef]
- Moridis, G.J.; Reagan, M.T. Estimating the upper limit of gas production from Class 2 hydrate accumulations in the permafrost: 1. Concepts, system description, and the production base case. J. Pet. Sci. Eng. 2011, 76, 194–204. [Google Scholar] [CrossRef]
- Ye, H.; Chen, J.; Yao, Y.; Chen, D.; Wu, X.; Li, D.; Zi, M. Gas recovery from low-permeability muddy silt gas hydrate reservoirs by depressurization coupled with hot water injection: Impact of hydro-lock effect. Energy 2025, 316, 134413. [Google Scholar] [CrossRef]
- Ye, H.; Yao, Y.; Chen, D.; Duan, J.; Wu, X.; Li, D.; Zi, M. Hydrate-based CO2 sequestration in post-exploitation natural gas hydrate reservoir: A numerical method considering mixed hydrate. Energy 2025, 336, 138406. [Google Scholar] [CrossRef]
- Qin, F.; Sun, J.; Cao, X.; Mao, P.; Zhang, L.; Lei, G.; Jiang, G.; Ning, F. Numerical simulation on combined production of hydrate and free gas from silty clay reservoir in the South China Sea by depressurization: Formation sealing. Appl. Energy 2025, 377, 124343. [Google Scholar] [CrossRef]
- Li, B.; Sun, Y.; Jiang, S.; Zhang, G.; Feng, J.; Shan, H.; Li, X. Production characteristics and sensitivity analysis on gas hydrate and shallow gas coexistence reservoirs: Focus on gas hydrate formation. Appl. Energy 2025, 386, 125572. [Google Scholar] [CrossRef]
- Yu, L.; Lu, H.; Zhang, L.; Xu, C.; Kuang, Z.; Li, X.; Yu, H.; Wang, Y. Assessment of Gas Production from Complex Hydrate System in Qiongdongnan Basin of South China Sea. Energies 2023, 16, 7447. [Google Scholar] [CrossRef]
- Zhao, Z.X.; Sun, Z.; Wang, Z.F.; Sun, Z.P.; Liu, J.B.; Zhang, C.M. The high-resolution sedimentary filling in Qiongdongnan Basin, northern south China Sea. Mar. Geol. 2015, 361, 11. [Google Scholar] [CrossRef]
- Wei, J.G.; Liang, J.Q.; Lu, J.A.; Zhang, W.; He, Y.L. Characteristics and dynamics of gas hydrate systems in the northwestern South China Sea-Results of the fifth gas hydrate drilling expedition. Mar. Pet. Geol. 2019, 110, 287–298. [Google Scholar] [CrossRef]
- Liang, J.Q.; Zhang, W.; Lu, J.A.; Wei, J.G.; Kuang, Z.K.; He, Y.L. Geological occurrence and accumulation mechanism of natural gas hydrates in the eastern Qiongdongnan Basin of the South China Sea: Insights from site GMGS5-W9-2018. Mar. Geol. 2019, 418, 106042. [Google Scholar] [CrossRef]
- Meng, M.M.; Liang, J.Q.; Lu, J.A.; Zhang, W.; Kuang, Z.K.; Fang, Y.X.; He, Y.L.; Deng, W.; Huang, W. Quaternary deep-water sedimentary characteristics and their relationship with the gas hydrate accumulations in the Qiongdongnan Basin, Northwest South China Sea. Deep Sea Res. Part I 2021, 177, 103628. [Google Scholar] [CrossRef]
- Zhang, W.; Liang, J.Q.; Lu, J.A.; Meng, M.M.; He, Y.L.; Deng, W.; Feng, J.X. Characteristics and controlling mechanism of typical leakage gas hydrate reservoir forming system in the Qiongdongnan Basin, northern South China Sea. Nat. Gas Ind. 2020, 40, 90–99, (In Chinese with English Abstract). [Google Scholar] [CrossRef]
- He, Y.L.; Liang, J.Q.; Shi, W.Z.; Kuang, Z.K.; Deng, W.; Wang, R.; Xu, L.T.; Du, H. Influencing factors and accumulation modes of gas hydrate in the South low uplift and its surrounding area of Qiongdongnan Basin. Earth Sci. 2021, 5, 1711–1727, (In Chinese with English Abstract). [Google Scholar] [CrossRef]
- Xie, Y.H.; Zhang, G.C.; Sun, Z.P.; Zeng, Q.; Zhao, Z.; Guo, S. Reservoir forming conditions and key exploration technologies of Lingshui 17-2 giant gas field in deepwater area of Qiongdongnan Basin. Petrol. Res. 2019, 4, 1–18. [Google Scholar] [CrossRef]
- Chen, Z.G.; Jiang, T.; Kuang, Z.G.; Chen, C.; Xiong, P.F.; Chen, Y. Accumulation characteristics of gas hydrate-shallow gas symbiotic system in Qiongdongnan Basin. Earth Sci. 2022, 47, 1619–1634, (In Chinese with English Abstract). [Google Scholar] [CrossRef]
- Huang, W.; Zhang, W.; Liang, J.Q.; Shang, J.J.; Meng, M.M.; Shan, C.C. Comparative study of gas hydrate accumulation system in the Qiongdongnan Basin of the South China Sea and the Ulleung Basin of Korea. J. China Uni. Min. Tech. 2020, 50, 363–380, (In Chinese with English Abstract). [Google Scholar] [CrossRef]
- Huang, S.Z.; Li, F.; Song, P.; Hu, B.; Sun, W.Y. Study on geophysical identification technology of ultra deep water and shallow gas reservoirs in Qiongdongnan Basin. Earth Sci. 2022, 339, 1–11, (In Chinese with English Abstract). [Google Scholar] [CrossRef]
- Xue, K.P.; Liu, Y.; Yu, T.; Yang, L.; Zhao, J.F.; Song, Y.C. Numerical simulation of gas hydrate production in shenhu area using depressurization: The effect of reservoir permeability heterogeneity. Energy 2023, 271, 126948. [Google Scholar] [CrossRef]
- Wei, R.P.; Xia, Y.Q.; Wang, Z.F.; Li, Q.P.; Lv, X.; Leng, S.D.; Zhang, L.X.; Zhang, Y.; Xiao, B.; Yang, S.X.; et al. Long-term numerical simulation of a joint production of gas hydrate and underlying shallow gas through dual horizontal wells in the South China Sea. Appl. Energy 2022, 320, 119235. [Google Scholar] [CrossRef]
- Zhao, E.M.; Hou, J.; Du, Q.J.; Liu, Y.G.; JI, Y.K.; Bai, Y.J. Numerical modeling of gas production from methane hydrate deposits using low-frequency electrical heating assisted depressurization method. Fuel 2021, 290, 120075. [Google Scholar] [CrossRef]
- Gajanayake, S.; Gamage, R.P.; Wanniarachchige, P.; Zhang, D. Quantification of CO2 replacement in methane gas hydrates: A molecular dynamics perspective. J. Nat. Gas Eng. 2022, 98, 104396. [Google Scholar] [CrossRef]
- Li, S.X.; Li, S.; Zhang, R.Y.; Li, Q.P.; Pang, W.X. Strategies for gas production from Class 2 hydrate accumulations by depressurization. Fuel 2021, 286, 119380. [Google Scholar] [CrossRef]
- Yang, S.W.; Lang, X.M.; Wang, Y.H.; Wen, Y.G.; Fan, S.S. Numerical simulation of Class 3 hydrate reservoirs exploiting using horizontal well by depressurization and thermal co-stimulation. Energy Convers. Manag. 2014, 77, 298–305. [Google Scholar] [CrossRef]
- Li, S.; Wang, Z.; Li, S.; Wang, X.; Hao, Y. Investigations on performance of hydrate dissociation by depressurization near the quadruple point. J. Nat. Gas Sci. Eng. 2021, 90, 103929. [Google Scholar] [CrossRef]
- Wang, B.; Fan, Z.; Wang, P.; Liu, Y.; Zhao, J.; Song, Y. Analysis of depressurization mode on gas recovery from methane hydrate deposits and the concomitant ice generation. Appl. Energy 2018, 227, 624–633. [Google Scholar] [CrossRef]
- Zhang, Y.; Zhang, P.; Hui, C.; Tian, S.; Zhang, B. Numerical analysis of the geomechanical responses during natural gas hydrate production by multilateral wells. Energy 2023, 269, 126810. [Google Scholar] [CrossRef]
- Meret, S.; Al-Raoush, R.I.; Jung, J.W.; Alshibli, K.A. Comprehensive literature review on CH4-CO2 replacement in microscale porous media. J. Pet. Sci. Eng. 2018, 178, 48–62. [Google Scholar] [CrossRef]
- Liu, Y.; Hou, J.; Chen, Z.; Bai, Y.; Su, H.; Zhao, E.; Li, G. Enhancing hot water flooding in hydrate bearing layers through a novel staged production method. Energy 2021, 217, 119319. [Google Scholar] [CrossRef]
- Zhong, X.; Pan, D.; Zhu, Y.; Wang, Y.; Zhai, L.; Li, X.; Tu, G.; Chen, C. Fracture network stimulation effect on hydrate development by depressurization combined with thermal stimulation using injection-production well patterns. Energy 2021, 228, 120601. [Google Scholar] [CrossRef]
- Uddin, M.; Coombe, D.; Law, D.; Gunter, B. Numerical studies of gas hydrate formation and decomposition in a geological reservoir. In Proceedings of the SPE Gas Technology Symposium, Calgary, AB, Canada, 15 May 2006. [Google Scholar] [CrossRef]
- Gaddipati, M. Code Comparison of Methane Hydrate Reservoir Simulators Using CMG STARS. Ph.D. Thesis, West Virginia University, Morgantown, WV, USA, 2008. [Google Scholar]
- Ajayi, T.; Anderson, B.J.; Seol, Y.; Boswell, R.; Myshakin, E.M. Key aspects of numerical analysis of gas hydrate reservoir performance: Alaska North Slope Prudhoe Bay Unit “L-Pad” hydrate accumulation. J. Nat. Gas Sci. Eng. 2018, 51, 37–43. [Google Scholar] [CrossRef]
- Matsuda, H.; Yamakawa, T.; Sugai, Y.; Sasaki, K. Gas Production from Offshore Methane Hydrate Layer and Seabed Subsidence by Depressurization Method. Engineering 2016, 8, 353–364. [Google Scholar] [CrossRef][Green Version]
- Myshakin, E.M.; Gaddipati, M.; Rose, K.; Anderson, B.J. Numerical simulations of depressurization-induced gas production from gas hydrate reservoirs at the Walker Ridge 313 site, northern Gulf of Mexico. Mar. Pet. Geol. 2012, 34, 169–185. [Google Scholar] [CrossRef]
- Vysniauskas, A.; Bishnoi, P.R. A kinetic study of methane hydrate formation. Chem. Eng. Sci. 1983, 38, 1061–1072. [Google Scholar] [CrossRef]
- Kim, H.C.; Bishnoi, P.R.; Heidemann, R.A.; Rizvi, S.S.H. Kinetics of methane hydrate decomposition. Chem. Eng. Sci. 1987, 42, 1645–1653. [Google Scholar] [CrossRef]
- Su, Z.; Moridis, G.J.; Zhang, K.; Wu, N. A huff-and-puff production of gas hydrate deposits in Shenhu area of South China Sea through a vertical well. J. Pet. Sci. Eng. 2012, 86–87, 54–61. [Google Scholar] [CrossRef]
- Xiao, C.-W.; Li, X.-S.; Lu, H.-F.; Li, G.; Xu, C.-L.; Qi, R.-R.; Xing, D.-H.; Li, X.; Weng, Y.-F.; Yu, L. Experimental studies and pore-scale modeling of hydrate dissociation kinetics at different depressurization rates in a cubic hydrate simulator. Chem. Eng. J. 2024, 499, 156313. [Google Scholar] [CrossRef]


















| Parameters | Value |
|---|---|
| Rock thermal conductivity (W/m/K) | 3.1 |
| Rock density (kg/m3) | 2600 |
| Perforation section/m | 10 |
| Overburden Layer Thickness/m | 20 |
| Underburden Layer Thickness/m | 20 |
| Gas composition | 100%CH4 |
| HGBL Porosity | 0.4–0.5 |
| HGBL Permeability/mD | 20–50 |
| Well bottom hole pressure/MPa | 10 |
| Initial pressure-1860 m/MPa | 18.9 |
| HGBL Thickness/m | 10 |
| Initial water saturation (Hydrate-bearing Zone) | 0.5 |
| Initial hydrate saturation (Hydrate-bearing Zone) | 0.5 |
| Case 1 (×108 m3) | Error | Case 3 (×107 m3) | Error | |
|---|---|---|---|---|
| 5 m | 1.66976 | 0.034368 | 4.05816 | 0.195039 |
| 2.5 m | 1.64801 | 0.020895 | 3.5422 | 0.0431 |
| 1 m | 1.62977 | 0.009596 | 3.40666 | 0.003186 |
| 0.5 m | 1.61428 | - | 3.39584 | - |
Disclaimer/Publisher’s Note: The statements, opinions and data contained in all publications are solely those of the individual author(s) and contributor(s) and not of MDPI and/or the editor(s). MDPI and/or the editor(s) disclaim responsibility for any injury to people or property resulting from any ideas, methods, instructions or products referred to in the content. |
© 2025 by the authors. Licensee MDPI, Basel, Switzerland. This article is an open access article distributed under the terms and conditions of the Creative Commons Attribution (CC BY) license (https://creativecommons.org/licenses/by/4.0/).
Share and Cite
Li, X.; Xu, C.; Lu, H.; Zhao, Z.; Chen, J.; Nan, L.; Yu, L.; Du, J.; Xiao, C.; Liu, B.; et al. Influence Mechanism of Well Location and Near-Well Secondary Hydrates on Gas Production of Class 1S Hydrate Reservoirs. J. Mar. Sci. Eng. 2025, 13, 2144. https://doi.org/10.3390/jmse13112144
Li X, Xu C, Lu H, Zhao Z, Chen J, Nan L, Yu L, Du J, Xiao C, Liu B, et al. Influence Mechanism of Well Location and Near-Well Secondary Hydrates on Gas Production of Class 1S Hydrate Reservoirs. Journal of Marine Science and Engineering. 2025; 13(11):2144. https://doi.org/10.3390/jmse13112144
Chicago/Turabian StyleLi, Xian, Chenlu Xu, Hongfeng Lu, Zihao Zhao, Jiawang Chen, Liwen Nan, Lu Yu, Jinwen Du, Changwen Xiao, Bo Liu, and et al. 2025. "Influence Mechanism of Well Location and Near-Well Secondary Hydrates on Gas Production of Class 1S Hydrate Reservoirs" Journal of Marine Science and Engineering 13, no. 11: 2144. https://doi.org/10.3390/jmse13112144
APA StyleLi, X., Xu, C., Lu, H., Zhao, Z., Chen, J., Nan, L., Yu, L., Du, J., Xiao, C., Liu, B., & Pan, Z. (2025). Influence Mechanism of Well Location and Near-Well Secondary Hydrates on Gas Production of Class 1S Hydrate Reservoirs. Journal of Marine Science and Engineering, 13(11), 2144. https://doi.org/10.3390/jmse13112144

