Research on Time–Frequency Joint Equalization Algorithm for Underwater Acoustic FBMC/OQAM Systems
Abstract
1. Introduction
2. Underwater Acoustics FBMC/OQAM System Model
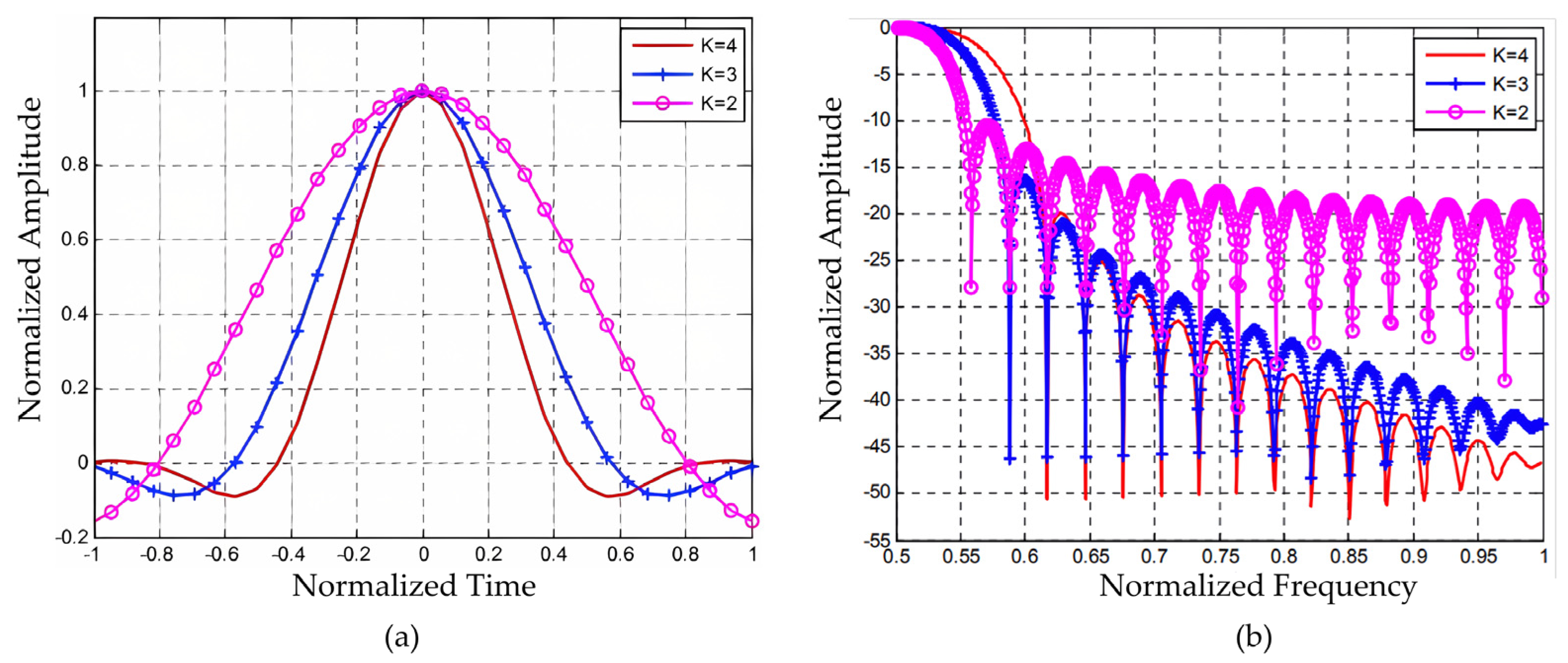
2.1. Design of Prototype Pulses
2.2. Offset Quadrature Amplitude Modulation
2.3. FBMC System Rapid Implementation
3. FBMC Channel Equalization Algorithm Based on Joint Time–Frequency Processing
3.1. Frequency-Domain MMSE Pre-Equalization
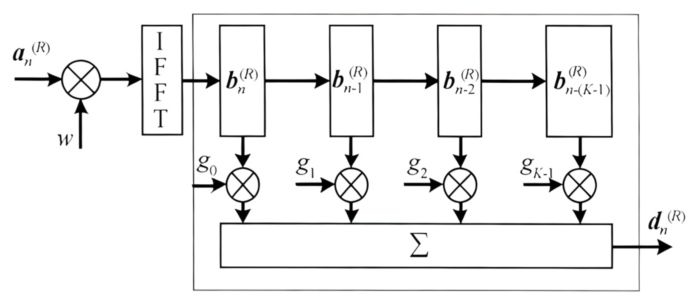
3.2. Time-Domain Equalization Algorithm
- (1)
- Algorithm initialization: The filter coefficient vector is , and the inverse correlation matrix is , where is a small positive number, usually ranging from 0.01 to 0.1, to avoid matrix singularity.
- (2)
- Iterative update steps:
3.3. Time–Frequency Joint Equalization
3.3.1. Derivation of the JTFDE Model
- Frequency-domain secondary equalization: perform FFT on 1 to obtain the frequency-domain signal 2, and recalculate the MMSE equalizer coefficients using the updated channel estimation.where is the channel frequency response updated based on the signal after time-domain equalization
- Iterative interference cancellation: Residual interference is gradually eliminated through multiple iterations. The frequency-domain equalization output of the i-th iteration is as follows:The output of the time-domain equalization is until the error converges ().
3.3.2. Algorithm Flow
3.3.3. Complexity Analysis
- Preprocessing function of frequency-domain pre-equalization: The frequency-domain MMSE module first compensates for the main frequency-selective distortion of the channel through efficient FFT/IFFT operations, significantly reducing the degree of signal distortion. This enables a substantial reduction in the residual interference energy that the subsequent time-domain RLS equalizer needs to counteract; so, a shorter filter length L can be adopted. Since its complexity term is O(L2), a moderate reduction in L can significantly decrease the total computation load of the RLS component.
- System-level benefits of convergence speed: The excellent convergence characteristics of the RLS algorithm enable it to require a much shorter training sequence than that of the LMS algorithm in rapidly time-varying channels. In terms of the average overhead for processing an entire data frame, the faster convergence speed of RLS can offset its higher single-point computational load-a feature that is particularly important in practical communication systems adopting frame structures.
- Practical feasibility of parameter selection: Under the system parameters set in this study, the overall complexity of the algorithm is achievable for modern Digital Signal Processors (DSPs) or Field-Programmable Gate Arrays (FPGAs). In addition, this study also provides alternative combinations such as MMSE-LMS, offering flexibility for application scenarios with severely limited computing resources.
4. Simulation and Discussion Analysis
4.1. Simulation Conditions and Parameter Settings
4.2. Performance Analysis of Time–Frequency Joint Equalization Algorithm
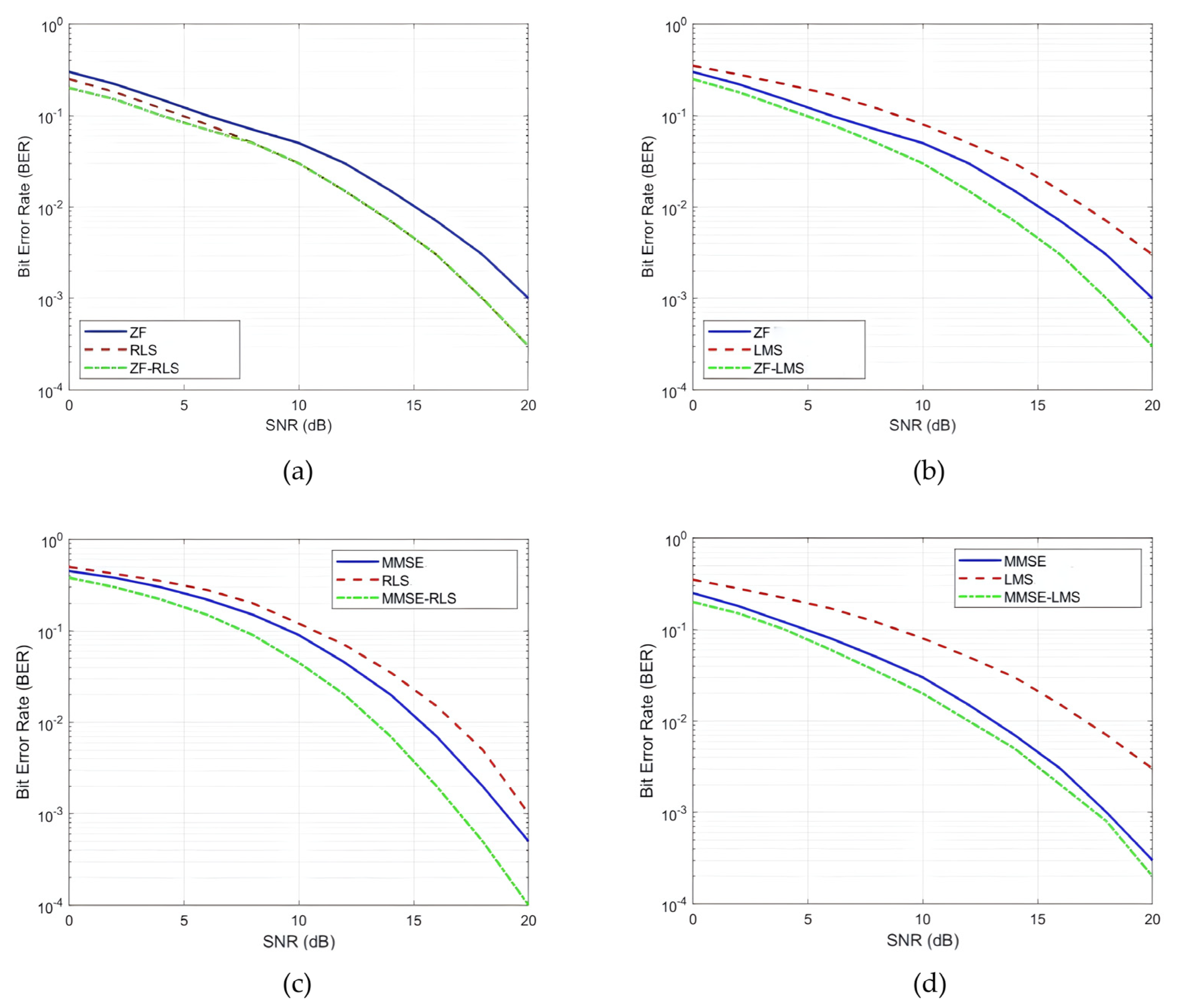
4.2.1. Algorithm Performance Comparison
4.2.2. The Impact of Modulation Schemes on Performance
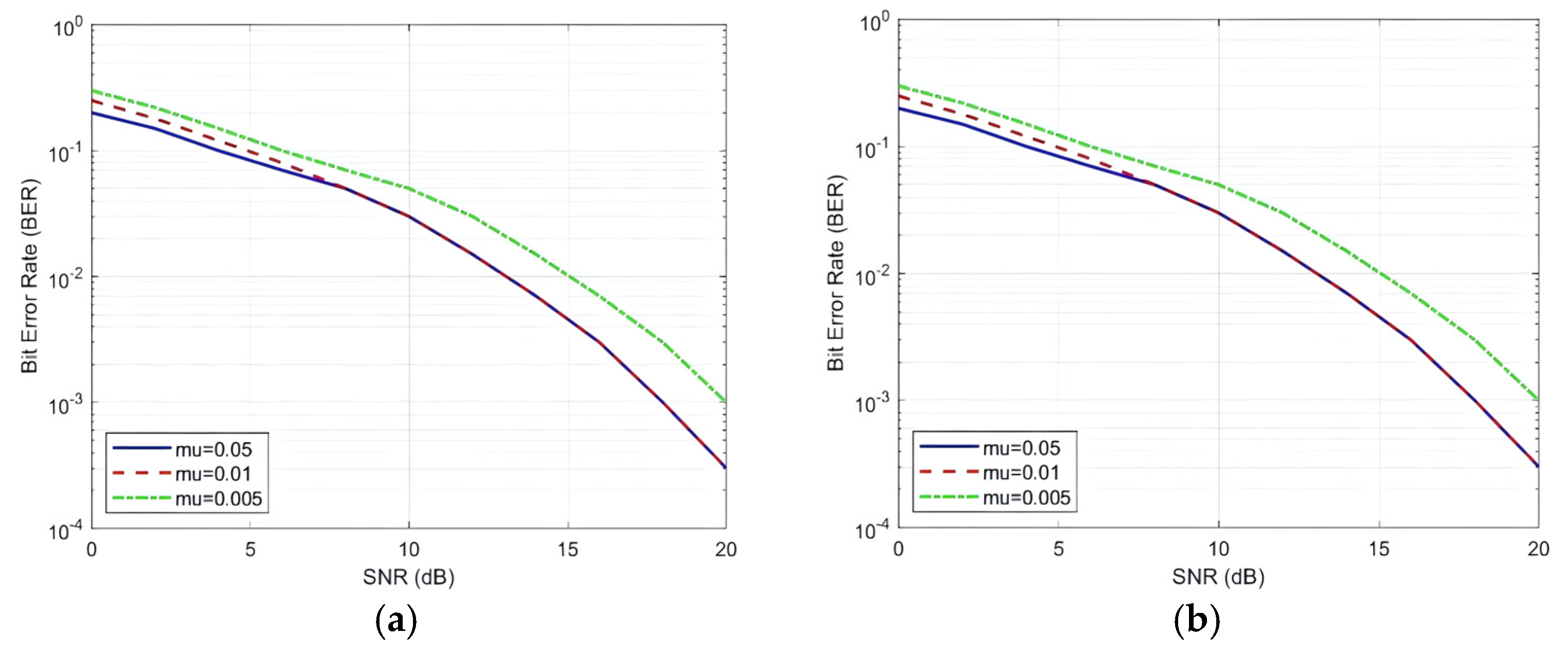
4.2.3. Parameter Optimization Analysis
4.2.4. Time-Varying Channel Tracking Performance
5. Conclusions
Author Contributions
Funding
Data Availability Statement
Conflicts of Interest
References
- Ma, Y.; Zhang, Q.; Wang, H. 6G: Ubiquitously extending to the vast underwater world of the oceans. Engineering 2022, 8, 12–17. [Google Scholar] [CrossRef]
- Hilal, A.S. and Al-Kindi, M.J. Design of filter bank for multicarrier (FBMC). Int. J. Sci. Eng. Res. 2020, 11, 608–616. [Google Scholar]
- Song, Z. Performance evaluation of prototype filter-based FBMC/OQAM system for wireless communications. In Proceedings of the 2024 4th Asia-Pacific Conference on Communications Technology and Computer Science (ACCTCS), Shenyang, China, 24–26 February 2024; IEEE: New York, NY, USA, 2024; pp. 776–779. [Google Scholar]
- Kadhem, O.F.; Jamel, T.M.; Khazaal, H.F. An Overview for Channel Equalization Techniques in Filter Bank. In Proceedings of the 2023 Second International Conference on Advanced Computer Applications (ACA), Maysan, Iraq, 27–28 February 2023; IEEE: New York, NY, USA, 2023; pp. 7–12. [Google Scholar]
- Saideh, M.; Dayoub, I.; Berbineau, M. Efficient equalization for FBMC-OQAM under doubly selective channel estimation errors. IEEE Commun. Lett. 2019, 23, 863–866. [Google Scholar] [CrossRef]
- Wang, Y.; Guo, Q.; Xiang, J.; Liu, Y. Doubly selective channel estimation and equalization based on ICI/ISI mitigation for OQAM-FBMC systems. Phys. Commun. 2023, 59, 102120. [Google Scholar] [CrossRef]
- Jing, L.; Zheng, T.; He, C.; Yin, H. Iterative adaptive frequency-domain equalization based on sliding window strategy over time-varying underwater acoustic channels. JASA Express Lett. 2021, 1, 076002. [Google Scholar] [CrossRef] [PubMed]
- Feng, C.; Luo, Y.; Zhang, J.; Li, H. An OFDM-based frequency domain equalization algorithm for underwater acoustic communication with a high channel utilization rate. J. Mar. Sci. Eng. 2023, 11, 415. [Google Scholar] [CrossRef]
- Lu, X.; Jiang, Y.; Wei, Y.; Tu, X.; Qu, F. A Lattice-reduction-aided sphere decoder for underwater acoustic FBMC/OQAM communications. IEEE Wirel. Commun. Lett. 2022, 12, 466–470. [Google Scholar] [CrossRef]
- Elghetany, S.E.; Hassaneen, S.; Shaalan, I.E.; Soliman, H.Y. Channel estimation techniques based on intrinsic interference mitigation for FBMC/OQAM systems. Comput. Electr. Eng. 2024, 117, 109244. [Google Scholar] [CrossRef]
- Lai, K.C.; Huang, Y.J.; Chen, C.T.; Lin, C.F. A family of MMSE-based decision feedback equalizers and their properties for FBMC/OQAM systems. IEEE Trans. Veh. Technol. 2019, 68, 2346–2360. [Google Scholar] [CrossRef]
- Lakew, W.; Al-Dweik, A.; Assaf, T. Performance Analysis of OFDM-SIMO Systems with Time-Domain Interleaving. IEEE Commun. Lett. 2024, 29, 323–327. [Google Scholar] [CrossRef]
- Zegrar, S.E.; Arslan, H. Common CP-OFDM transceiver design for low-complexity frequency domain equalization. IEEE Wirel. Commun. Lett. 2022, 11, 1349–1353. [Google Scholar] [CrossRef]
- Tu, X.; Wei, Y.; Qu, F.; Song, A. Low computational complexity RLS-based decision-feedback equalization in underwater acoustic communications. IEEE J. Ocean. Eng. 2024, 49, 1067–1088. [Google Scholar] [CrossRef]
- Zheng, T.; Jing, L.; Long, C.; He, C.; Yin, H. Frequency domain direct adaptive turbo equalization based on block normalized minimum-SER for underwater acoustic communications. Appl. Acoust. 2023, 205, 109266. [Google Scholar] [CrossRef]
- Kadhem, O.F.; Jamel, T.M.; Khazaal, H.F. Equalization methods for Filter Bank Multicarrier OQAM. Wasit J. Eng. Sci. 2023, 11, 106–119. [Google Scholar] [CrossRef]
- Ruigang, H.; Ning, J.; Biao, L.; Jianchun, H.; Shengming, G. A Study of Time Domain Adaptive Decision Feedback MSK Equalization over Time-varying Underwater Acoustic Channel. In Proceedings of the 2021 OES China Ocean Acoustics (COA), Harbin, China, 14–17 July 2021; IEEE: New York, NY, USA, 2021; pp. 591–595. [Google Scholar]
- Han, R.; Jia, N.; Huang, J.; Guo, S. Joint time-frequency domain equalization of MSK signal over underwater acoustic channel. Appl. Acoust. 2022, 189, 108597. [Google Scholar] [CrossRef]
- Wang, H.; Li, X.; Jhaveri, R.H.; Gadekallu, T.R.; Zhu, M.; Ahanger, T.A.; Khowaja, S.A. Sparse Bayesian learning based channel estimation in FBMC/OQAM industrial IoT networks. Comput. Commun. 2021, 176, 40–45. [Google Scholar] [CrossRef]
- Al-Dulaimi, M.A.; Cseppentő, B.; Kollár, Z. Comparison of Prototype Filters for FBMC-OQAM Systems. In Proceedings of the 2025 35th International Conference Radioelektronika (RADIOELEKTRONIKA), Hnanice, Czechia, 12–14 May 2025; IEEE: New York, NY, USA, 2025; pp. 1–5. [Google Scholar]
- Mattera, D.; Tanda, M.; Bellanger, M. Performance analysis of some timing offset equalizers for FBMC/OQAM systems. Signal Process. 2015, 108, 167–182. [Google Scholar] [CrossRef]
- Fhima, H.; Chang, B.S.; Zayani, R.; Shaiek, H.; Roviras, D.; Bouallegue, R. Performance of linear and widely linear equalizers for FBMC/OQAM modulation. In Proceedings of the 2018 25th international conference on telecommunications (ICT), Saint-Malo, France, 26–28 June 2018; IEEE: New York, NY, USA, 2018. [Google Scholar]
- Marijanovic, L.; Schwarz, S.; Rupp, M. MMSE equalization for FBMC transmission over doubly-selective channels. In Proceedings of the 2016 International Symposium on Wireless Communication Systems (ISWCS), Poznan, Poland, 20–23 September 2016; IEEE: New York, NY, USA, 2016. [Google Scholar]
- Chen, C.-W.; Maehara, F. An enhanced MMSE subchannel decision feedback equalizer with ICI suppression for FBMC/OQAM systems. In Proceedings of the 2017 International Conference on Computing, Networking and Communications (ICNC), Silicon, VA, USA, 26–29 January 2017; IEEE: New York, NY, USA, 2017. [Google Scholar]
- Hamdan, A.; Hijazi, H.; Ros, L.; Al-Ghouwayel, A.; Siclet, C. Equalization with Time Domain Preprocessing for OFDM and FBMC in Flat Fading Fast Varying Channels. In Proceedings of the 2022 IEEE 6th International Symposium on Telecommunication Technologies (ISTT), Johor Bahru, Malaysia, 14–16 November 2022; IEEE: New York, NY, USA, 2022; pp. 91–96. [Google Scholar]
- Indiarto, M.; Siswono, H. Analysis of Equalizer Performance against Bit Error Rate in Filter Bank Multicarrier System with AWGN and Multipath Channel. Int. J. Comput. Appl. 2021, 183, 21–25. [Google Scholar] [CrossRef]

















| Overlap Factor | Filter Coefficients | |||
|---|---|---|---|---|
| K | H0 | H1 | H2 | H3 |
| 2 | 1 | — | — | |
| 3 | 1 | 0.911438 | 0.411438 | — |
| 4 | 1 | 0.971860 | 0.235147 | |
| −2 | −3/2 | −1 | −1/2 | 0 | 1/2 | 2 | 3/2 | 2 | ||
|---|---|---|---|---|---|---|---|---|---|---|
| 2 | 0 | −0.0006 | −0.0001 | 0 | 0 | 0 | −0.0001 | −0.0006 | 0 | |
| 1 | −0.0054 | −j0.0429 | 0.1250 | j0.2058 | −0.2393 | −j0.2058 | 0.1250 | j0.0429 | −0.0054 | |
| 0 | 0 | 0.0668 | 0.0002 | −0.5644 | 1 | −0.5644 | 0.0002 | 0.0668 | 0 | |
| 1 | −0.0054 | j0.0429 | 0.1250 | −j0.2058 | −0.2393 | j0.2058 | 0.1250 | −j0.0429 | −0.0054 | |
| 2 | 0 | −0.0006 | −0.0001 | 0 | 0 | 0 | −0.0001 | −0.0006 | 0 | |
| Simulation Parameter | Simulation Values |
|---|---|
| Sampling Rate | 128 kHz |
| Number of Subcarriers | 256 |
| Baseband Bandwidth | 6.4 KHz |
| Frequency Range | 12.8 kHz–19.2 kHz |
| Subcarrier Spacing | 25 Hz |
| Constellation Mapping | 4QAM |
| Filter | PHYDYAS (K = 4) |
Disclaimer/Publisher’s Note: The statements, opinions and data contained in all publications are solely those of the individual author(s) and contributor(s) and not of MDPI and/or the editor(s). MDPI and/or the editor(s) disclaim responsibility for any injury to people or property resulting from any ideas, methods, instructions or products referred to in the content. |
© 2025 by the authors. Licensee MDPI, Basel, Switzerland. This article is an open access article distributed under the terms and conditions of the Creative Commons Attribution (CC BY) license (https://creativecommons.org/licenses/by/4.0/).
Share and Cite
Hou, W.; Zhang, M.; Yang, L.; Wang, Y. Research on Time–Frequency Joint Equalization Algorithm for Underwater Acoustic FBMC/OQAM Systems. J. Mar. Sci. Eng. 2025, 13, 1781. https://doi.org/10.3390/jmse13091781
Hou W, Zhang M, Yang L, Wang Y. Research on Time–Frequency Joint Equalization Algorithm for Underwater Acoustic FBMC/OQAM Systems. Journal of Marine Science and Engineering. 2025; 13(9):1781. https://doi.org/10.3390/jmse13091781
Chicago/Turabian StyleHou, Weimin, Ming Zhang, Lin Yang, and Yanxia Wang. 2025. "Research on Time–Frequency Joint Equalization Algorithm for Underwater Acoustic FBMC/OQAM Systems" Journal of Marine Science and Engineering 13, no. 9: 1781. https://doi.org/10.3390/jmse13091781
APA StyleHou, W., Zhang, M., Yang, L., & Wang, Y. (2025). Research on Time–Frequency Joint Equalization Algorithm for Underwater Acoustic FBMC/OQAM Systems. Journal of Marine Science and Engineering, 13(9), 1781. https://doi.org/10.3390/jmse13091781

