Flow Control-Based Aerodynamic Enhancement of Vertical Axis Wind Turbines for Offshore Renewable Energy Deployment
Abstract
1. Introduction
- A CFD simulation framework based on the TSST transition model is established to evaluate the aerodynamic performance of VAWTs with flow control designs.
- Three blade configurations are proposed, including the Gurney flap (GF), the leading-edge suction control (Suc), and the combination of both (Suc + GF), and their effects under various TSR conditions are analyzed.
- An orthogonal experimental design is applied to optimize key geometric parameters of the control devices.
- The aerodynamic performance, load characteristics, and unsteady flow behavior of each configuration are comprehensively assessed through multiple diagnostics.
2. Computational Models and Methods
2.1. Geometric Model of VAWT
2.2. Aerodynamic Parameters
2.3. Computational Domain and Mesh Generation
2.4. Turbulence Models and Computational Methods
3. Reliability Verification
3.1. Mesh Independence
3.2. Time Step Independence
3.3. Revolution Independence
3.4. Comparison with Experimental Values
4. Orthogonal Experimental Design
4.1. Design of Suction and Gurney Flap Geometric Configurations
4.2. Range Analysis of OED
4.3. Optimal Combined Blade Geometry Model
5. Performance Analysis of Optimal Blade
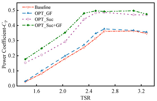
5.1. Power Characteristic
5.2. Load Characteristics
5.2.1. Torque Coefficient of Single Blade
5.2.2. Torque Coefficient of Rotor
5.2.3. Force Coefficient of Single Blade
5.3. Flow Characteristics
5.3.1. Q Criterion Analysis
5.3.2. Relative Velocity Vector Field Analysis of a Single Blade
6. Conclusions
- (i)
- Based on CFD simulations and orthogonal experimental design, the optimal set of composite control parameters was determined: suction slot located at 0.05 c with a width of 0.03 c, and gurney flap height and width set to 1.5% c and 0.1 hG, respectively.
- (ii)
- The Suc + GF configuration significantly enhances wind energy capture at low TSRs and maintains strong adaptability and aerodynamic stability at higher TSRs. Compared to the Baseline model and other single-control strategies (suction or gurney flap), it achieves the highest increase in power coefficient across the entire TSR range, with an average improvement of 67.24%.
- (iii)
- Load analysis indicates that Suc + GF improves torque output across all TSR conditions, particularly in enhancing torque peaks and valley recovery. It also increases the mean aerodynamic load in the upwind region and suppresses load fluctuations, contributing to improving operational stability of the rotor.
- (iv)
- Flow field analysis reveals that leading-edge suction effectively delays flow separation, while the gurney flap improves the aerodynamic characteristics of the downwind region. Their synergistic interaction optimizes wake structures and enhances energy capture efficiency. These improvements offer theoretical and technical guidance for the stable operation of VAWTs in deep-sea environments and are especially relevant for offshore applications, where strong turbulence induced by coupled wind–wave conditions poses severe challenges to rotor stability and efficiency.
- (v)
- It should be noted that the present study is limited to two-dimensional simulations under idealized inflow conditions. Future studies with high-fidelity 3D modeling and experimental validation are required to further confirm the scalability and offshore applicability of the Suc + GF strategy.
7. Future Work
- (i)
- In this paper, suction was applied continuously throughout the rotor rotation. In future studies, azimuth-selective suction strategies, where suction is activated only within specific azimuthal angle ranges, can be investigated to further optimize performance.
- (ii)
- Explore alternative Gurney flap placements, including arrangements on the inner side of the rotor.
- (iii)
- In the future, wind tunnel experiments will be carried out to confirm the effect of the Suc + GF model studied in this paper.
- (iv)
- Extend the aerodynamic analysis to offshore-specific challenges such as wind–wave coupling, salt-induced erosion, cyclic load fatigue, and vibration mitigation through unsteady flow diagnostics.
- (v)
- Integrate parametric optimization with offshore operational conditions by linking airfoil selection to turbulence resistance, coupling operational parameters (θ, ω) with IEC wind–wave spectra, and connecting flap geometry to cyclic load reduction. Future work will also include inlet boundary conditions based on IEC turbulence profiles, representative marine air temperatures, surface roughness models for salt spray erosion, and validation with experiments under saline environments.
Author Contributions
Funding
Data Availability Statement
Conflicts of Interest
Correction Statement
Abbreviations
| VAWT | Vertical Axis Wind Turbine |
| HAWT | Horizontal Axis Wind Turbine |
| CFD | Computational Fluid Dynamics |
| AFC | Active Flow Control |
| PFC | Passive Flow Control |
| TSR | Tip Speed Ratio |
| URANS | Unsteady Reynolds-Averaged Navier–Stokes |
| TSST | Four-equation Transition SST model |
| Suc | Suction |
| GF | Gurney Flap |
| Suc + GF | Suction and Gurney Flap |
References
- Dinh, Q.V.; Doan, Q.V.; Ngo-Duc, T.; Dinh, V.N.; Duc, N.D. Offshore wind resource in the context of global climate change over a tropical area. Appl. Appl. Energy 2022, 308, 118369. [Google Scholar] [CrossRef]
- Chen, M.; Huang, W.; Ali, S. Asymmetric linkages between wind energy and ecological sustainability: Evidence from quantile estimation. Environ. Dev. 2023, 45, 100798. [Google Scholar] [CrossRef]
- Du, Z.; Dai, Z.; Yang, Z.; Zhan, C.; Chen, W.; Cao, M.; Thanh, H.V.; Soltanian, M.R. Exploring hydrogen geologic storage in China for future energy: Opportunities and challenges. Renew. Sustain. Energy Rev. 2024, 196, 114366. [Google Scholar] [CrossRef]
- Msigwa, G.; Ighalo, J.O.; Yap, P.S. Considerations on environmental, economic, and energy impacts of wind energy generation: Projections towards sustainability initiatives. Sci. Total Environ. 2022, 849, 157755. [Google Scholar] [CrossRef]
- Global Wind Energy Council. Global Wind Report; GWEC: Lisbon, Portugal, 2025. [Google Scholar]
- Sahu, B.K. Wind energy developments and policies in China: A short review. Renew. Sustain. Energy Rev. 2018, 81, 1393–1405. [Google Scholar] [CrossRef]
- Du, R.; Chen, H.; Yu, M.; Li, W.; Niu, D.; Wang, K.; Zhang, Z. 3DTCN-CBAM-LSTM short-term power multi-step prediction model for offshore wind power based on data space and multi-field cluster spatio-temporal correlation. Appl. Energy 2024, 376 Pt A, 124169. [Google Scholar] [CrossRef]
- International Energy Association. Technology Roadmap: China Wind Energy Development Roadmap 2050; IEA: Paris, France, 2021. [Google Scholar]
- Huang, S.; Wu, Q.; Guo, Y.; Rong, F. Optimal active power control based on MPC for DFIG-based wind farm equipped with distributed energy storage systems. Int. J. Electr. Power Energy Syst. 2019, 113, 154–163. [Google Scholar] [CrossRef]
- Hand, B.; Cashman, A. A review on the historical development of the lift-type vertical axis wind turbine: From onshore to offshore floating application. Sustain. Energy Technol. Assess. 2020, 38, 100646. [Google Scholar] [CrossRef]
- Rehman, S.; Rafique, M.M.; Alam, M.M.; Alhems, L.M. Vertical axis wind turbine types, efficiencies, and structural stability-A Review. Wind. Struct. 2019, 29, 15–32. [Google Scholar]
- Santamaría, L.; Oro, J.M.F.; Díaz, K.M.A.; Meana-Fernández, A.; Pereiras, B.; Velarde-Suárez, S. Novel methodology for performance characterization of vertical axis wind turbines (VAWT) prototypes through active driving mode. Energy Convers. Manag. 2022, 258, 115530. [Google Scholar] [CrossRef]
- Wang, X.; Ali, A.; Ke, H.; Huang, B.; Yang, J. Numerical simulation of aerodynamic performance degradation of NACA0012 airfoils under icing conditions for vertical-axis wind turbines. Case Stud. Therm. Eng. 2025, 72, 106433. [Google Scholar] [CrossRef]
- Hand, B.; Kelly, G.; Cashman, A. Aerodynamic design and performance parameters of a lift-type vertical axis wind turbine: A comprehensive review. Renew. Sustain. Energy Rev. 2021, 139, 110699. [Google Scholar] [CrossRef]
- Li, Y.; Tong, G.; Ma, Y.; Feng, F.; Tagawa, K. Numerical study on aerodynamic performance improvement of the straight-bladed vertical axis wind turbine by using wind concentrators. Renew. Energy 2023, 219 Pt 2, 119545. [Google Scholar] [CrossRef]
- Singh, M.A.; Biswas, A.; Misra, R.D. Investigation of self-starting and high rotor solidity on the performance of a three S1210 blade H-type Darrieus rotor. Renew. Energy 2015, 76, 381–387. [Google Scholar] [CrossRef]
- Saemian, M.; Bergadà, M.J. Active flow control actuators on wind turbines; comprehensive review. Ocean. Eng. 2025, 339 Pt 1, 121991. [Google Scholar] [CrossRef]
- Wang, L.; Alam, M.M.; Rehman, S.; Zhou, Y. Effects of blowing and suction jets on the aerodynamic performance of wind turbine airfoil. Renew. Energy 2022, 196, 52–64. [Google Scholar] [CrossRef]
- Liu, Q.; Miao, W.; Bashir, M.; Xu, Z.; Yu, N.; Luo, S.; Li, C. Aerodynamic and aeroacoustic performance assessment of a vertical axis wind turbine by synergistic effect of blowing and suction. Energy Convers. Manag. 2022, 271, 116289. [Google Scholar] [CrossRef]
- Yang, K.; Zhang, L.; Xu, J. Simulation of aerodynamic performance affected by vortex generators on blunt trailing-edge airfoils. Sci. China Ser. E Technol. Sci. 2010, 53, 1–7. [Google Scholar] [CrossRef]
- Attie, C.; ElCheikh, A.; Nader, J.; Elkhoury, M. Performance Enhancement of a Vertical Axis Wind Turbine using a Slotted Deflective Flap at the Trailing Edge. Energy Convers. Manag. 2022, 273, 116388. [Google Scholar] [CrossRef]
- Karthikeyan, K.; Harish, R. Enhanced aerodynamic performance of NACA4412 airfoil through integrated plasma actuator and Gurney flap flow control. Results Eng. 2025, 25, 103977. [Google Scholar] [CrossRef]
- Chawla, J.S.; Suryanarayanan, S.; Puranik, B.; Sheridan, J.; Falzon, B.G. Efficiency improvement study for small wind turbines through flow control. Sustain. Energy Technol. Assess. 2014, 7, 195–208. [Google Scholar] [CrossRef]
- Wolf, A.; Lutz, T.; Würz, W.; Krämer, E.; Stalnov, O.; Seifert, A. Trailing edge noise reduction of wind turbine blades by active flow control. Wind. Energy 2015, 18, 909–923. [Google Scholar] [CrossRef]
- Wahidi, R.; Bridges, H.D. Effects of Distributed Suction on an Airfoil at Low Reynolds Number. AIAA J. 2012, 50, 523–539. [Google Scholar] [CrossRef]
- Rezaeiha, A.; Montazeri, H.; Blocken, B. Active flow control for power enhancement of vertical axis wind turbines: Leading-edge slot suction. Energy 2019, 189, 116131. [Google Scholar] [CrossRef]
- Vos, E.M. Improvement of Aerodynamic Performance of Vertical Axis Wind Turbines Using Boundary Layer Suction. Master’s Thesis, Eindhoven University of Technology, Eindhoven, The Netherlands, 2019. [Google Scholar]
- Sun, J.; Huang, D. Numerical investigation of boundary layer suction control positions on airfoils for vertical-axis wind turbine. J. Mech. Sci. Technol. 2021, 35, 2903–2914. [Google Scholar] [CrossRef]
- Zhu, H.; Hao, W.; Li, C.; Ding, Q.; Wu, B. A critical study on passive flow control techniques for straight-bladed vertical axis wind turbine. Energy 2018, 165, 12–25. [Google Scholar] [CrossRef]
- Zhu, H.; Hao, W.; Li, C.; Ding, Q. Numerical study of effect of solidity on vertical axis wind turbine with Gurney flap. J. Wind. Eng. Ind. Aerodyn. 2019, 186, 17–31. [Google Scholar] [CrossRef]
- Bianchini, A.; Balduzzi, F.; Di Rosa, D.; Ferrara, G. On the use of gurney flaps for the aerodynamic performance augmentation of Darrieus wind turbines. Energy Convers. Manag. 2019, 184, 402–415. [Google Scholar] [CrossRef]
- Zhu, H.; Hao, W.; Li, C.; Luo, S.; Liu, Q.; Gao, C. Effect of geometric parameters of gurney flap on performance enhancement of straight-bladed vertical axis wind turbine. Renew. Energy 2021, 165, 464–480. [Google Scholar] [CrossRef]
- Syawitri, T.P.; Yao, Y.; Yao, J.; Chandra, B. Geometry optimisation of vertical axis wind turbine with Gurney flap for performance enhancement at low, medium and high ranges of tip speed ratios. Sustain. Energy Technol. Assess. 2022, 49, 101779. [Google Scholar] [CrossRef]
- Castelli, M.R.; Ardizzon, G.; Battisti, L.; Benini, E.; Pavesi, G. Modeling strategy and numerical. validation for a Darrieus vertical axis micro-wind turbine. In Proceedings of the ASME 2010 International Mechanical Engineering Congress and Exposition, Vancouver, BC, Canada, 12–18 November 2010. [Google Scholar]
- Mansoubi, S.; Sadeghi, H.; Ma, Y.; Mohebbi, R. An experimental and numerical investigation into the influence of wind effects on wind turbines with tubular towers. Ocean. Eng. 2024, 313 Pt 3, 119555. [Google Scholar] [CrossRef]
- He, J.; Jin, X.; Xie, S.; Cao, L.; Wang, Y.; Lin, Y.; Wang, N. CFD modeling of varying complexity for aerodynamic analysis of H-vertical axis wind turbines. Renew. Energy 2020, 145, 2658–2670. [Google Scholar] [CrossRef]
- Ou, H.; Miao, W.; Li, C.; Weng, Y.; Yue, M.; Zhang, W.; Xu, Z. Research on multi-physical field coupling characteristics of three-dimensional variable cross-section blade H-type vertical axis wind turbine. Energy Convers. Manag. 2025, 342, 120105. [Google Scholar] [CrossRef]
- Rezaeiha, A.; Montazeri, H.; Blocken, B. On the accuracy of turbulence models for CFD simulations of vertical axis wind turbines. Energy 2019, 180, 838–857. [Google Scholar] [CrossRef]
- Li, C.; Zhu, S.; Xu, Y.L.; Xiao, Y. 2.5D large eddy simulation of vertical axis wind turbine in consideration of high angle of attack flow. Renew. Energy 2013, 51, 317–330. [Google Scholar] [CrossRef]
- Bachant, P.; Wosnik, M. Modeling the near-wake of a vertical-axis cross-flow turbine with 2-D and 3-D RANS. J. Renew. Sustain. Energy 2016, 8, 053311. [Google Scholar] [CrossRef]
- Xu, Z.; Feng, Y.; Zhao, C.; Huo, Y.; Li, S.; Hu, X.; Zhong, Y. Experimental and numerical investigation on aerodynamic performance of a novel disc-shaped wind rotor for the small-scale wind turbine. Energy Convers. Manag. 2018, 175, 173–191. [Google Scholar] [CrossRef]















| Parameter | Value |
|---|---|
| Chord, c [mm] | 85.8 |
| Number of blades, n [-] | 3 |
| Rotor Radius, R [mm] | 515 |
| Blade Height, H [mm] | 1456.4 |
| Swept Area, A [m2] | 1.03 |
| Shaft Diameter, Ds [mm] | 20 |
| Solidity, σ [-] | 0.25 |
| Wind Velocity, V∞ [m/s] | 9 |
| Tip Speed Ratio, λ [-] | 1.43~3.29 |
| Mesh Name | Mesh Size | Mean Cp Value | Rate of Change |
|---|---|---|---|
| N1 | 180,000 | 0.1676 | 140.81% |
| N2 | 470,000 | 0.4036 | 0.97% |
| N3 | 740,000 | 0.4075 | 0.32% |
| N4 | 1,070,000 | 0.4088 | — |
| Factors | Levels | |||
|---|---|---|---|---|
| 1 | 2 | 3 | 4 | |
| A(Ls) | 0.05 c | 0.1 c | 0.2 c | 0.3 c |
| B(Ws) | 0.005 c | 0.01 c | 0.02 c | 0.03 c |
| C(hG) | 0.75% c | 1% c | 1.25% c | 1.5% c |
| D(WG) | 0.05 hG | 0.1 hG | 0.15 hG | 0.2 hG |
| Test | Factors | TSR = 2.64 | ||||
|---|---|---|---|---|---|---|
| A | B | C | D | ΔCT | ΔCp | |
| 1 | 0.05 c | 0.005 c | 0.75%% c | 0.05 hG | 0.007521 | 0.0720442 |
| 2 | 0.05 c | 0.01 c | 1% c | 0.1 hG | 0.009615 | 0.089014 |
| 3 | 0.05 c | 0.02 c | 1.25% c | 0.15 hG | 0.012506 | 0.1127252 |
| 4 | 0.05 c | 0.03 c | 1.5% c | 0.2 hG | 0.015808 | 0.138256 |
| 5 | 0.1 c | 0.005 c | 1% c | 0.15 hG | 0.007787 | 0.0743067 |
| 6 | 0.1 c | 0.01 c | 0.75% c | 0.2 hG | 0.009517 | 0.0871836 |
| 7 | 0.1 c | 0.02 c | 1.5% c | 0.05 hG | 0.012461 | 0.1093133 |
| 8 | 0.1 c | 0.03 c | 1.25% c | 0.1 hG | 0.013809 | 0.121162 |
| 9 | 0.2 c | 0.005 c | 1.25% c | 0.2 hG | 0.004262 | 0.0480684 |
| 10 | 0.2 c | 0.01 c | 1.5% c | 0.15 hG | 0.006741 | 0.0631942 |
| 11 | 0.2 c | 0.02 c | 0.75% c | 0.1 hG | 0.00882 | 0.0859341 |
| 12 | 0.2 c | 0.03 c | 1% c | 0.05 hG | 0.01102 | 0.0972947 |
| 13 | 0.3 c | 0.005 c | 1.5% c | 0.1 hG | 0.001166 | 0.0249283 |
| 14 | 0.3 c | 0.01 c | 1.25% c | 0.05 hG | 0.002502 | 0.0420098 |
| 15 | 0.3 c | 0.02 c | 1% c | 0.2 hG | 0.003268 | 0.0405627 |
| 16 | 0.3 c | 0.03 c | 0.75% c | 0.15 hG | 0.004577 | 0.0456785 |
| TSR = 2.64 | ΔCT | R1i | ΔCp | R2i | ||||||
|---|---|---|---|---|---|---|---|---|---|---|
| Ave1 | Ave2 | Ave3 | Ave4 | Ave1 | Ave2 | Ave3 | Ave4 | |||
| A | 0.0114 | 0.0109 | 0.0077 | 0.0029 | 0.0085 | 0.103 | 0.098 | 0.0736 | 0.0383 | 0.0647 |
| B | 0.0052 | 0.0071 | 0.0093 | 0.0113 | 0.0061 | 0.0548 | 0.0704 | 0.0871 | 0.1006 | 0.0458 |
| C | 0.0076 | 0.0079 | 0.0083 | 0.009 | 0.0014 | 0.0727 | 0.0753 | 0.081 | 0.0839 | 0.0112 |
| D | 0.0084 | 0.0084 | 0.0079 | 0.0082 | 0.0005 | 0.0802 | 0.0803 | 0.074 | 0.0785 | 0.0063 |
Disclaimer/Publisher’s Note: The statements, opinions and data contained in all publications are solely those of the individual author(s) and contributor(s) and not of MDPI and/or the editor(s). MDPI and/or the editor(s) disclaim responsibility for any injury to people or property resulting from any ideas, methods, instructions or products referred to in the content. |
© 2025 by the authors. Licensee MDPI, Basel, Switzerland. This article is an open access article distributed under the terms and conditions of the Creative Commons Attribution (CC BY) license (https://creativecommons.org/licenses/by/4.0/).
Share and Cite
Ou, H.; Zhang, Q.; Li, C.; Lu, D.; Miao, W.; Li, H.; Xu, Z. Flow Control-Based Aerodynamic Enhancement of Vertical Axis Wind Turbines for Offshore Renewable Energy Deployment. J. Mar. Sci. Eng. 2025, 13, 1674. https://doi.org/10.3390/jmse13091674
Ou H, Zhang Q, Li C, Lu D, Miao W, Li H, Xu Z. Flow Control-Based Aerodynamic Enhancement of Vertical Axis Wind Turbines for Offshore Renewable Energy Deployment. Journal of Marine Science and Engineering. 2025; 13(9):1674. https://doi.org/10.3390/jmse13091674
Chicago/Turabian StyleOu, Huahao, Qiang Zhang, Chun Li, Dinghong Lu, Weipao Miao, Huanhuan Li, and Zifei Xu. 2025. "Flow Control-Based Aerodynamic Enhancement of Vertical Axis Wind Turbines for Offshore Renewable Energy Deployment" Journal of Marine Science and Engineering 13, no. 9: 1674. https://doi.org/10.3390/jmse13091674
APA StyleOu, H., Zhang, Q., Li, C., Lu, D., Miao, W., Li, H., & Xu, Z. (2025). Flow Control-Based Aerodynamic Enhancement of Vertical Axis Wind Turbines for Offshore Renewable Energy Deployment. Journal of Marine Science and Engineering, 13(9), 1674. https://doi.org/10.3390/jmse13091674

