A Passive Time Reversal Method with a Metamodel for Underwater Source Localization
Abstract
1. Introduction
2. Passive Time Reversal Method with Metamodel
2.1. The Framework of Passive Time Reversal Method with Metamodel
2.2. Data Preprocessing
2.3. Division of Preprocessed Data
2.4. Metamodel Construction
2.5. Passive Time Reversal Focusing and Localization
3. Simulations
3.1. Simulation Model
3.2. Main Results
3.2.1. Effect of Ocean Environment Parameter Mismatches
3.2.2. Effect of the SNR
4. Experiments
4.1. Experimental Dataset
4.2. Main Results of Source Localization Experiments
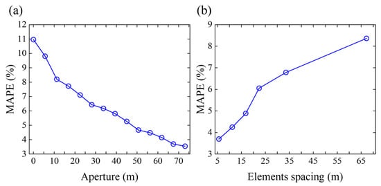
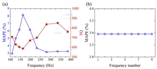
4.3. Effect of Frequency and Array Parameters
5. Conclusions
Author Contributions
Funding
Data Availability Statement
Conflicts of Interest
References
- Hu, Z.; Huang, J.; Xu, P.; Nan, M.; Lou, K.; Li, G. Underwater Acoustic Source Localization via Kernel Extreme Learning Machine. Front. Phys. 2021, 9, 653875. [Google Scholar] [CrossRef]
 - Liu, K.W.; Huang, C.J.; Too, G.P.; Shen, Z.Y.; Sun, Y.D. Underwater Sound Source Localization Based on Passive Time-Reversal Mirror and Ray Theory. Sensors 2022, 22, 2420. [Google Scholar] [CrossRef] [PubMed]
 - Dowling, D.R.; Sabra, K.G. Acoustic Remote Sensing. Annu. Rev. Fluid Mech. 2015, 47, 221–243. [Google Scholar] [CrossRef]
 - Rossing, T. Springer Handbook of Acoustics; Springer Science & Business Media: New York, NY, USA, 2007. [Google Scholar]
 - Bianco, M.J.; Gerstoft, P.; Traer, J.; Ozanich, E.; Roch, M.A.; Gannot, S.; Deledalle, C.A. Machine learning in acoustics: Theory and applications. J. Acoust. Soc. Am. 2019, 146, 3590. [Google Scholar] [CrossRef] [PubMed]
 - Carter, G.C. Passive ranging errors due to receiving hydrophone position uncertainty. J. Acoust. Soc. Am. 1979, 65, 528–530. [Google Scholar] [CrossRef]
 - Ferguson, B.G.; Lo, K.W. Passive ranging errors due to multipath distortion of deterministic transient signals with application to the localization of small arms fire. J. Acoust. Soc. Am. 2002, 111 Pt 1, 117–128. [Google Scholar] [CrossRef]
 - Kulkarni, S.; Thakur, A.; Soni, S.; Hiwale, A.; Belsare, M.H.; Raj, A.A.B. A Comprehensive Review of Direction of Arrival (DoA) Estimation Techniques and Algorithms. J. Electron. Electr. Eng. 2025, 4, 138–186. [Google Scholar] [CrossRef]
 - Van Veen, B.D.; Buckley, K.M. Beamforming: A versatile approach to spatial filtering. IEEE ASSP Mag. 1988, 5, 4–24. [Google Scholar] [CrossRef]
 - Karaman, M.; Pai-Chi, L.; O’Donnell, M. Synthetic aperture imaging for small scale systems. IEEE Trans. Ultrason. Ferroelectr. Freq. Control 1995, 42, 429–442. [Google Scholar] [CrossRef]
 - Johnson, D.H. The application of spectral estimation methods to bearing estimation problems. Proc. IEEE 1982, 70, 1018–1028. [Google Scholar] [CrossRef]
 - Schmidt, R. Multiple emitter location and signal parameter estimation. IEEE Trans. Antennas Propag. 1986, 34, 276–280. [Google Scholar] [CrossRef]
 - Baggeroer, A.B.; Kuperman, W.A.; Mikhalevsky, P.N. An overview of matched field methods in ocean acoustics. IEEE J. Ocean. Eng. 1993, 18, 401–424. [Google Scholar] [CrossRef]
 - Bucker, H.P. Use of calculated sound fields and matched-field detection to locate sound sources in shallow water. J. Acoust. Soc. Am. 1976, 59, 368–373. [Google Scholar] [CrossRef]
 - Yonak, S.H.; Dowling, D.R. Parametric dependencies for photoacoustic leak localization. J. Acoust. Soc. Am. 2002, 112, 145–155. [Google Scholar] [CrossRef] [PubMed]
 - Gerstoft, P. Inversion of seismoacoustic data using genetic algorithms and a posteriori probability distributions. J. Acoust. Soc. Am. 1994, 95, 770–782. [Google Scholar] [CrossRef]
 - Jackson, D.R.; Dowling, D.R. Phase conjugation in underwater acoustics. J. Acoust. Soc. Am. 1991, 89, 171–181. [Google Scholar] [CrossRef]
 - Kuperman, W.A.; Hodgkiss, W.S.; Song, H.C.; Akal, T.; Ferla, C.; Jackson, D.R. Phase conjugation in the ocean: Experimental demonstration of an acoustic time-reversal mirror. J. Acoust. Soc. Am. 1998, 103, 25–40. [Google Scholar] [CrossRef]
 - Song, H.C.; Kuperman, W.A.; Hodgkiss, W.S. A time-reversal mirror with variable range focusing. J. Acoust. Soc. Am. 1998, 103, 3234–3240. [Google Scholar] [CrossRef]
 - Fink, M.; Prada, C. Acoustic time-reversal mirrors. Inverse Probl. 2001, 17, R1–R38. [Google Scholar] [CrossRef]
 - Kim, J.S.; Song, H.C.; Kuperman, W.A. Adaptive time-reversal mirror. J. Acoust. Soc. Am. 2001, 109 Pt 1, 1817–1825. [Google Scholar] [CrossRef]
 - Walker, S.C.; Roux, P.; Kuperman, W.A. Synchronized time-reversal focusing with application to remote imaging from a distant virtual source array. J. Acoust. Soc. Am. 2009, 125, 3828–3834. [Google Scholar] [CrossRef] [PubMed]
 - Zhang, T.; Yang, K.; Ma, Y. Matched-field localization using a virtual time-reversal processing method in shallow water. Chin. Sci. Bull. 2011, 56, 743–748. [Google Scholar] [CrossRef]
 - Tan, T.W.; Godin, O.A.; Brown, M.G.; Zabotin, N.A. Characterizing the seabed in the Straits of Florida by using acoustic noise interferometry and time warping. J. Acoust. Soc. Am. 2019, 146, 2321. [Google Scholar] [CrossRef]
 - Fu, Y.; Yu, Z. A Low SNR and Fast Passive Location Algorithm Based on Virtual Time Reversal. IEEE Access 2021, 9, 29303–29311. [Google Scholar] [CrossRef]
 - Godin, O.A.; Uzhansky, E.M.; Tan, T.; Katsnelson, B.G.; Tan, D.Y.; Renucci, T.; Voyer, A.; McMullin, R.M. Acoustic characterization of the seabed with a single-element time-reversal mirror. Appl. Acoust. 2023, 210, 109442. [Google Scholar] [CrossRef]
 - Im, S.; Lee, J.W.; Han, T.; Ohm, W.S. A single-channel virtual receiving array using a time-reversal chaotic cavity. J. Acoust. Soc. Am. 2023, 154, 1401–1412. [Google Scholar] [CrossRef]
 - Niu, H.; Ozanich, E.; Gerstoft, P. Ship localization in Santa Barbara Channel using machine learning classifiers. J. Acoust. Soc. Am. 2017, 142, EL455–EL460. [Google Scholar] [CrossRef]
 - Niu, H.; Reeves, E.; Gerstoft, P. Source localization in an ocean waveguide using supervised machine learning. J. Acoust. Soc. Am. 2017, 142, 1176–1188. [Google Scholar] [CrossRef]
 - Diniz, P.; Calazan, R. Integrating modeled environmental variability into neural network training for underwater source localization. J. Acoust. Soc. Am. 2023, 153, 3201. [Google Scholar] [CrossRef]
 - Ferguson, E.L.; Williams, S.B.; Jin, C.T. In Sound source localization in a multipath environment using convolutional neural networks. In Proceedings of the 2018 IEEE International Conference on Acoustics, Speech and Signal Processing (ICASSP), Calgary, AB, Canada, 15–20 April 2018; pp. 2386–2390. [Google Scholar]
 - Chen, R.; Schmidt, H. Model-based convolutional neural network approach to underwater source-range estimation. J. Acoust. Soc. Am. 2021, 149, 405–420. [Google Scholar] [CrossRef]
 - Wang, Y.; Peng, H. Underwater acoustic source localization using generalized regression neural network. J. Acoust. Soc. Am. 2018, 143, 2321–2331. [Google Scholar] [CrossRef] [PubMed]
 - Huang, Z.; Xu, J.; Gong, Z.; Wang, H.; Yan, Y. Source localization using deep neural networks in a shallow water environment. J. Acoust. Soc. Am. 2018, 143, 2922–2932. [Google Scholar] [CrossRef] [PubMed]
 - Lataniotis, C.; Wicaksono, D.; Marelli, S.; Sudret, B. UQLab User Manual—Kriging (Gaussian Process Modeling); Report UQLab-V2.0-105; Chair of Risk, Safety and Uncertainty Quantification, ETH Zurich: Zurich, Switzerland, 2022. [Google Scholar]
 - Luegmair, M.; Dantas, R.; Schneider, F.; Müller, G. Gaussian Process Surrogate Models for Vibroacoustic Simulations; SAE International: Warrendale, PA, USA, 2024. [Google Scholar]
 - Kim, J.S.; Jeong, U.C.; Kim, D.W.; Han, S.Y.; Oh, J.E. Optimization of sirocco fan blade to reduce noise of air purifier using a metamodel and evolutionary algorithm. Appl. Acoust. 2015, 89, 254–266. [Google Scholar] [CrossRef]
 - Du, X.; Fu, Q. Surrogate model-based multi-objective design optimization of vibration suppression effect of acoustic black holes and damping materials on a rectangular plate. Appl. Acoust. 2024, 217, 109837. [Google Scholar] [CrossRef]
 - Aoun, C.G.; Lagadec, L.; Habes, M. An extended modeling approach for marine/deep-sea observatory. In International Conference on Advanced Machine Learning Technologies and Applications; Springer International Publishing: Cham, Switzerland, 2022; pp. 502–514. [Google Scholar]
 - Jenkins, W.F.; Gerstoft, P.; Park, Y. Geoacoustic inversion using Bayesian optimization with a Gaussian process surrogate model. J. Acoust. Soc. Am. 2024, 156, 812–822. [Google Scholar] [CrossRef]
 - Goupy, A. A Spectral Approach of Multi-Scale Metamodelling Applied to Acoustic Propagation. Doctoral Dissertation, Université Paris-Saclay, Gif-sur-Yvette, France, 2021. [Google Scholar]
 - Cheng, L.; Li, M. Underwater source localization based on dynamic weight meta-learning. In Proceedings of the 3rd International Conference on Signal Processing, Computer Networks and Communications, Sanya, China, 22–24 December 2024; pp. 107–112. [Google Scholar]
 - Jenkins, W.F.; Gerstoft, P.; Park, Y. Bayesian optimization with Gaussian process surrogate model for source localization. J. Acoust. Soc. Am. 2023, 154, 1459–1470. [Google Scholar] [CrossRef]
 - Marelli, S.; Sudret, B. UQLab: A framework for uncertainty quantification in Matlab. In Proceedings of the 2nd International Conference on Vulnerability, Risk Analysis and Management (ICVRAM2014), Liverpool, UK, 13–16 July 2014; pp. 2554–2563. [Google Scholar]
 - Godin, O.A.; Katsnelson, B.G.; Qin, J.; Brown, M.G.; Zabotin, N.A.; Zang, X. Application of time reversal to passive acoustic remote sensing of the ocean. Acoust. Phys. 2017, 63, 309–320. [Google Scholar] [CrossRef]
 - Porter, M.B. The KRAKEN Normal Mode Program. Available online: https://oalib-acoustics.org/website_resources/AcousticsToolbox/Kraken.pdf (accessed on 17 April 2025).
 - Murray, J.; Ensberg, D. The SWellEx-96 Experiment. Available online: http://swellex96.ucsd.edu (accessed on 17 April 2025).
 - Nielsen, R.O. Sonar Signal Processing; Artech House Inc.: London, UK, 1991. [Google Scholar]
 


















| Name | |
|---|---|
| EXP | |
| GAUSS | |
| LIN | |
| SPHERICAL | |
| SPLINE | 
| Layer | Parameter | Unit | Default | Lower Bound | Upper Bound | Number | 
|---|---|---|---|---|---|---|
| Water | Depth | m | 216.5 | 206.5 | 226.5 | 21 | 
| Sediment | Thickness | m | 23.5 | 13.5 | 33.5 | 21 | 
| Upper speed | m/s | 1572.3 | 1522.3 | 1622.3 | 11 | |
| Lower speed | m/s | 1593 | 1543 | 1643 | 11 | |
| Density | g/cm3 | 1.76 | 1.56 | 1.96 | 11 | |
| Attenuation | dB/km/Hz | 0.2 | 0.1 | 0.3 | 21 | |
| Mudstone | Thickness | m | 800 | 790 | 810 | 21 | 
| Upper speed | m/s | 1881 | 1831 | 1931 | 11 | |
| Lower speed | m/s | 3245 | 3195 | 3295 | 11 | |
| Density | g/cm3 | 2.06 | 1.86 | 2.26 | 11 | |
| Attenuation | dB/km/Hz | 0.06 | 0.02 | 0.1 | 9 | |
| Seabed | Speed | m/s | 5200 | 5150 | 5250 | 11 | 
| Density | g/cm3 | 2.66 | 2.46 | 2.86 | 11 | |
| Attenuation | dB/km/Hz | 0.02 | 0.01 | 0.1 | 10 | 
| Condition Name | SNR of Source-To-Array Field (dB) | SNR of Green’s Function (dB) | Sound Propagation Model | 
|---|---|---|---|
| PTR1 | −50:10:10 | none | KRAKEN | 
| PTR2 | −50:10:10 | −50:10:10 | KRAKEN | 
| PTR-MM1 | −50:10:10 | none | Metamodel with a 0.02 km range interval and an 8 m depth interval | 
| PTR-MM2 | −50:10:10 | −50:10:10 | Metamodel with a 0.02 km range interval and an 8 m depth interval | 
| PTR-MM3 | −50:10:10 | −50:10:10 | Metamodel with a 0.01 km range interval and a 4 m depth interval | 
| Equipment | Frequency (Hz) | Depth (m) | 
|---|---|---|
| J-15 | [49,64,79,94,112,130,148,166,201,235,283,338,388] | 54 | 
| J-13 | [109,127,145,163,198,232,280,335,385] | 9 | 
| VLA | Sampling frequency is 1500 Hz | [94.125:5.6:127.88] ∪ [139.12:5.6:212.25] | 
| Dataset | Source Range (m) | Sampling Time | Number of Sources | |
|---|---|---|---|---|
| Dataset 1 | Training set | 5033 to 774 | J131 23:39, 20 s, J132 00:14 | 105 | 
| Validation set | 5030.7 to 774.04 | J131 23:39:01, 4 s, J132 00:14 | 525 | |
| Test set | 5030.7 to 774.04 | J131 23:39:01, 4 s, J132 00:14 | 525 | |
| Dataset 2 | Training set | 774 to 2576.5 | J132 00:14, 20 s, 00:39 | 48 | 
| Validation set | 774.06 to 2568.9 | J132 00:14:01, 4 s, 00:39 | 240 | |
| Test set | 774.06 to 2568.9 | J132 00:14:01, 4 s, 00:39 | 240 | 
| Parameters | Value | Configuration | 
|---|---|---|
| Frequencies of shallow source in Event S5 SWellEx-96 Freq = [109 127 145 163 198 232 280 335 385] Hz | ||
| Frequency | 109:385 | Freq(1): Freq(9) | 
| Frequency number | 1:9 | Freq(1) Freq(1:2) Freq(1:3) Freq(1:4) Freq(1:5) Freq(1:6) Freq(1:7) Freq(1:8) Freq(1:9) | 
| VLA elements Depths in Event S5 SWellEx-96 PVLA = [94.125 99.755 105.38 111.00 116.62 122.25 127.88 139.12 144.74 150.38 155.99 161.62 167.26 172.88 178.49 184.12 189.76 195.38 200.99 206.62 212.25] m | ||
| Aperture | 0:5.6:73.13 m | PVLA(8) PVLA(8:9) PVLA(8:10) PVLA(8:11) PVLA(8:12) PVLA(8:13) PVLA(8:14) PVLA(8:15) PVLA(8:16) PVLA(8:17) PVLA(8:18) PVLA(8:19) PVLA(8:20) PVLA(8:21) | 
| Element spacing | [5.6 11.2 16.8 22.4 33.6 67.2] m | PVLA(8:1:21) PVLA(8:2:21) PVLA(8:3:21) PVLA(8:4:21) PVLA(8:6:21) PVLA(8:12:21) | 
Disclaimer/Publisher’s Note: The statements, opinions and data contained in all publications are solely those of the individual author(s) and contributor(s) and not of MDPI and/or the editor(s). MDPI and/or the editor(s) disclaim responsibility for any injury to people or property resulting from any ideas, methods, instructions or products referred to in the content.  | 
© 2025 by the authors. Licensee MDPI, Basel, Switzerland. This article is an open access article distributed under the terms and conditions of the Creative Commons Attribution (CC BY) license (https://creativecommons.org/licenses/by/4.0/).
Share and Cite
Liu, J.; Li, S. A Passive Time Reversal Method with a Metamodel for Underwater Source Localization. J. Mar. Sci. Eng. 2025, 13, 1082. https://doi.org/10.3390/jmse13061082
Liu J, Li S. A Passive Time Reversal Method with a Metamodel for Underwater Source Localization. Journal of Marine Science and Engineering. 2025; 13(6):1082. https://doi.org/10.3390/jmse13061082
Chicago/Turabian StyleLiu, Jiang, and Sheng Li. 2025. "A Passive Time Reversal Method with a Metamodel for Underwater Source Localization" Journal of Marine Science and Engineering 13, no. 6: 1082. https://doi.org/10.3390/jmse13061082
APA StyleLiu, J., & Li, S. (2025). A Passive Time Reversal Method with a Metamodel for Underwater Source Localization. Journal of Marine Science and Engineering, 13(6), 1082. https://doi.org/10.3390/jmse13061082
        