Abstract
This study presents a foam sandwich structure reinforced with carbon fiber columns (FSS-CFC), which exhibits strong mechanical and sound insulation properties. The FSS-CFC consists of two face-sheets and a polyvinyl chloride (PVC) core containing multiple CFC cylinders arranged in a periodic array. The sound transmission loss (STL) measured in acoustic tube experiments closely aligns with the finite element simulation results, validating the reliability of the present research. Through characteristic analyses, the study reveals the sound insulation mechanism of FSS-CFC, identifying three distinct sound insulation dips caused by the standing wave resonance of the core, column-driven same-direction bending vibrations, and column-constrained opposite-direction bending vibrations in the sheets. It is also demonstrated that the sound insulation performance of FSS-CFC is insensitive to hydrostatic pressure changes. Finally, the FSS-CFC is optimized by the genetic algorithm in MATLAB and COMSOL. The optimized FSS-CFC displays good improvements in both mechanical and acoustic performance compared to the initial structure. The average STL in the frequency of 500 Hz to 25,000 Hz has increased by 3 dB, representing an improvement of approximately 25%. The sound insulation mechanism in FSS-CFC could provide valuable insights for the development of a pressure-resistant acoustic structure for use on deep-water vehicles.
1. Introduction
Due to the strong absorption effects of seawater on electromagnetic waves, underwater communication and detection primarily rely on acoustic waves. But, the quality of these works is significantly interfered with by underwater noise. Additionally, the noise generated has adverse impacts on marine ecosystems during underwater operations. Therefore, the design of underwater sound insulation structures is important in areas such as underwater acoustics engineering [1,2], noise reduction [3,4,5], and environmental protection [6,7]. Among various solutions, composite sandwich structures have garnered widespread applications in the isolation of noise due to their light weight, high strength, and customizable core [8,9,10]. The primary principle of sound insulation relies on the impedance mismatch between different materials, which leads to the reflection of sound energy and thus enhances STL.
Early research on homogeneous multilayer structures focused mainly on theoretical studies [11,12,13,14], demonstrating their potential for achieving a good sound insulation performance. However, these structures often suffer from a limited load-bearing capacity due to the core material, which restricts their practical application. As a result, there has been increasing interest in adding lightweight reinforcements such as pyramid [15,16,17,18], honeycomb [19,20], hourglass [21,22], X-shaped [23] and chiral lattice [24,25] reinforcements into the core layer to enhance their mechanical properties. Although the reinforcements can improve the mechanical performances of these structures, they also provides a path for sound waves, leading to a decrease in STL [26]. Theoretically, there are two main approaches for modeling the reinforcements. One method involves formulating the governing vibroacoustic equation for the reinforcement, where the force is transmitted at the interface between the reinforcement and panel [26]. The second approach treats the reinforcement as an equivalent spring, transferring the force between the upper and lower panels [27,28]. Both methods are combined with Fourier transforms, space harmonics, and the principle of virtual work to solve the vibration equation [29,30,31]. Moosavimehr et al. [32] demonstrated that the truss lattice provides s significantly higher STL compared to the honeycomb lattice for structures of equal mass. Arunkumar et al. [33] showed that embedding polyurethane foam within lattice cores leads to an improvement in sound insulation performance. Wang et al. [34] developed a hybrid structure combining the pyramidal truss and membrane-type metamaterials, achieving a balance of mechanical and acoustic properties. Lin et al. [35] proposed a design of integrating an intermediate thin plate and mass blocks within orthogonal stiffeners, and achieved a structure with enhanced STL in specific frequency range. The above studies prove that the lattice-reinforced sandwich structures offer excellent design flexibility. They can be tailored with various reinforcement types and core combinations to meet specific application requirements.
For sound insulation analyses on underwater structures, Wang et al. [36] stated that the transmission coefficient of chiral honeycomb structures is significantly lower than that of square honeycombs. Based on density-based topology optimization, Wang et al. [37] designed an underwater sound insulation structure that exhibits a good low-frequency sound insulation performance. Underwater sound insulation structures should also consider hydrostatic pressure compared with air. It is generally difficult for conventional sound insulation structures to work properly in deep water [38]. To solve this problem, Wang et al. [39] designed a rubber–steel–rubber structure that achieved an average STL of 10 dB in the frequency range of 2000 Hz to 10,000 Hz under a pressure of 3 MPa. Based on topology optimization, Zhao et al. [40] developed an underwater sound-insulating and load-bearing metamaterial, gaining an average STL of 14.78 dB within the range of 20 Hz to 3000 Hz under 1 MPa pressure. Similarly, Wang et al. [41] created a chiral metamaterial capable of isolating over 95% of acoustic energy across a wide frequency range of 1000 Hz to 5000 Hz, and its sound insulation performance remained stable under low hydrostatic pressure.
In summary, sandwich structures with reinforcement exhibit strong sound insulation performances. However, most existing studies have been conducted in air, with limited focus on their performance in underwater environments. Although there are a few structures that demonstrate effective low-frequency sound insulation underwater, their insulation capability tends to diminish as the hydrostatic pressure increases. Furthermore, these designs are relatively complex, which can further hinder their practical implementation in high-pressure underwater settings. Thus, this paper presents a PVC foam sandwich structure reinforced with carbon fiber columns (FSS-CFC). The STL of the sample is measured by using an acoustic propagation experiment based on the pulse tube method. The experimental result shows a good agreement with the simulation in COMSOL. To further study the sound insulation mechanism of FSS-CFC, parameter analyses are performed. Finally, the structure is optimized by using a genetic algorithm.
This paper is believed to make the following contributions. First, the FSS-CFC consisting of two face-sheets and a PVC core containing multiple CFC cylinders is proposed and prepared for the first time. The experimental data obtained from the acoustic tube test can be used as a reference for future research. Second, the sound insulation performance of FSS-CFC is insensitive to hydrostatic pressure. Third, the FSS-CFC exhibits three distinct sound insulation dips, and the causes and factors influencing these dips are analyzed. Furthermore, the dimensions of the FSS-CFC are optimized, and the optimized FSS-CFC has enhanced mechanical and acoustic performance compared to the initial structure.
2. Experimental Procedure
2.1. Description of the Structure
As shown in Figure 1a, the FSS-CFC consists of two face-sheets and a PVC core containing multiple CFC cylinders arranged in a periodic array. Figure 1b shows a top view of the structure and highlights two modeling approaches: the acoustic tube model (indicated by a blue circle) and the single cell model (indicated by a red square). The acoustic tube model, with a diameter of 56 mm, includes four CFC cylinders, while the single cell model is a cuboid structure containing only one CFC. The acoustic tube model is used to simulate acoustic tube experiments, while the single cell model is used for a comparative analysis with the acoustic tube model and to study specific sound absorption characteristics. Figure 1c displays a side view, showing dimensions such as CFC distance, L = 30 mm, CFC cylinder diameter, Dr = 5 mm, core thickness, Hc = 40 mm, and face-sheet thickness, Hm = 5 mm. The material parameters of the FSS-CFC are given in Table 1.
Figure 1.
Description of the FSS-CFC: (a) schematic, (b) acoustic tube model and single cell model, (c) dimensional parameters, and (d) sample of FSS-CFC.
Table 1.
Material properties of components of the FSS-CFC sample.
2.2. Pulse Tube Method
The pulse tube method was used to measure the STL of FSS-CFC sample. The measuring device used for the pulse tube method is shown in Figure 2. The bottom of the pulse tube was equipped with a transducer for both transmitting and receiving acoustic signals. The tube was filled with water and the top of the tube was a standard reflector. The interior of the pulse tube was filled with water, and the top portion contained air as a standard reflector, causing no transmission of sound waves. The transducer was connected to the computer measurement system, which comprised various components. These included a signal generator, power amplifier, electronic switch, band-pass filter, signal collector, and computer for data processing and visualization. The tube was 5000 mm in height and 57 mm in diameter. Before the experiment, the tube was filled with water and stabilized for 48 h, and the sample was immersed in water for 24 h to ensure it was fully wetted.
Figure 2.
(a) Actual pulse tube. (b) Schematic diagram of the pulse tube method measuring system.
First, when no sample was placed in the tube, the transducer emitted sound waves through the computer, signal generator, and power amplifier. The signal collector recorded the electrical signals corresponding to the sound pulses reflected by the standard reflector. These recorded signals were processed using discrete Fourier transform through the electronic switch, band-pass filter, signal collector, and computer. This processing resulted in the voltage amplitude Vi of the incident sound pressure.
Next, the sample was placed in the tube, 1800 mm from the transducer and 3200 mm from the air. As the sound waves passed through the sample, two electrical signals were received by the transducer due to the different paths of the sound waves. The first signal was generated when the sound waves are reflected by the surface of sample. When the sound waves pass through the sample, they were first transmitted, then reflected by the air, and subsequently transmitted through the sample again, generating the second signal. Using the same signal processing method as before, the voltage amplitude Vt corresponding to the transmitted sound pulse was measured. Since the transmitted wave passed through the sample twice, the transmission coefficient of the sample can be expressed as follows.
Therefore, the sound transmission loss can be expressed as
3. Results and Discussion
3.1. Verification Analyses
To verify the accuracy of the experimental results, the STL of FSS-CFC is calculated by the finite element method in COMSOL 6.2. Figure 3a represents the simulation model of FSS-CFC in the acoustic tube, and Figure 3b is the simulation model of the single cell structure. In both models, from bottom to top, the layers are a Perfectly Matched Layer (PML), water (incident sound wave domain), FSS-CFC, water (transmitted sound wave domain), and another PML. An incident sound wave with an amplitude of 1 Pa drives the FSS-CFC from the water domain below, producing a transmitted wave after passing through the structure. The PML simulates an infinitely large water domain with no sound wave reflection. The boundary conditions of the two models are different. In the acoustic tube simulation model, the displacement around the boundaries is set to zero to simulate the acoustic tube boundaries in the experiment. In the single cell structure simulation model, Floquet boundary conditions are applied around the boundaries to simulate the infinite FSS-CFC. In the numerical simulations, a hexahedral swept mesh is employed to ensure a high accuracy in capturing the structural response. The maximum mesh size is 3 mm which is less than one-sixth of the wavelength. To effectively analyze the sound insulation characteristics of the FSS-CFC while ensuring computational efficiency, the simulation frequency range is set from 2000 Hz to 25,000 Hz with a step size of 200 Hz.
Figure 3.
Finite element model and mesh: (a) acoustic tube model and (b) single cell model. (c) Comparison of two models and experiment.
As can be seen in Figure 3c, there are some differences in the sound insulation dips (SIDs). The single cell model employs Floquet boundary conditions, which constrain the number of vibration modes. In contrast, the experiment and acoustic tube model has more complex boundary conditions, leading to additional vibration modes and, consequently, more SIDs in the STL curve. Specifically, the acoustic tube model exhibits four distinct SIDs, while the single cell model shows only two. To explore these differences, Figure 4 illustrates the displacement at the SIDs for both models. Two SIDs at 17,000 Hz and approximately 21,000 Hz are caused by the resonance of the PVC core and the bending vibration in the sheets (as discussed in Section 3.2) in both models. The additional two SIDs in the acoustic tube model are caused by differences in the boundary conditions and model configuration. In the acoustic tube model, the SID at 11,600 Hz is induced by additional sheet bending vibration, and the SID at 19,000 Hz is caused by the higher-order resonance of the PVC core. Overall, the STL results show similar trends in the finite element model and experiment. The average sound transmission loss STLave for the acoustic tube model, single cell model, and experimental results are 9.5 dB, 11.0 dB, and 10.3 dB, respectively, indicating close agreement among the three approaches. Thus, the effectiveness of the present analyses is proved. Considering the fact that the mesh number and computation time for the acoustic tube model are significantly higher than those for the single cell model, the subsequent characteristic analyses will adopt the single cell model.
Figure 4.
Displacement of acoustic tube model and single cell model in SIDs.
3.2. Characteristic Analyses
This section primarily investigates the effects of various parameters on the STL of FSS-CFC and elucidates its intrinsic sound insulation mechanism. Due to the inherent complexity of modeling anisotropic behavior and to facilitate a clearer understanding of the sound insulation mechanism, both the face-sheet and the CFC are assumed to behave as isotropic materials. The Young’s modulus and Poisson’s ratio of the face sheet are set to 20 GPa and 0.3, respectively, while those of the CFC are set to 110 GPa and 0.3. The frequency range for the calculation spans from 500 Hz to 25,000 Hz, with a step of 200 Hz.
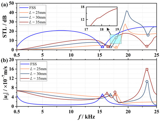
3.2.1. Effects of CFC Distance
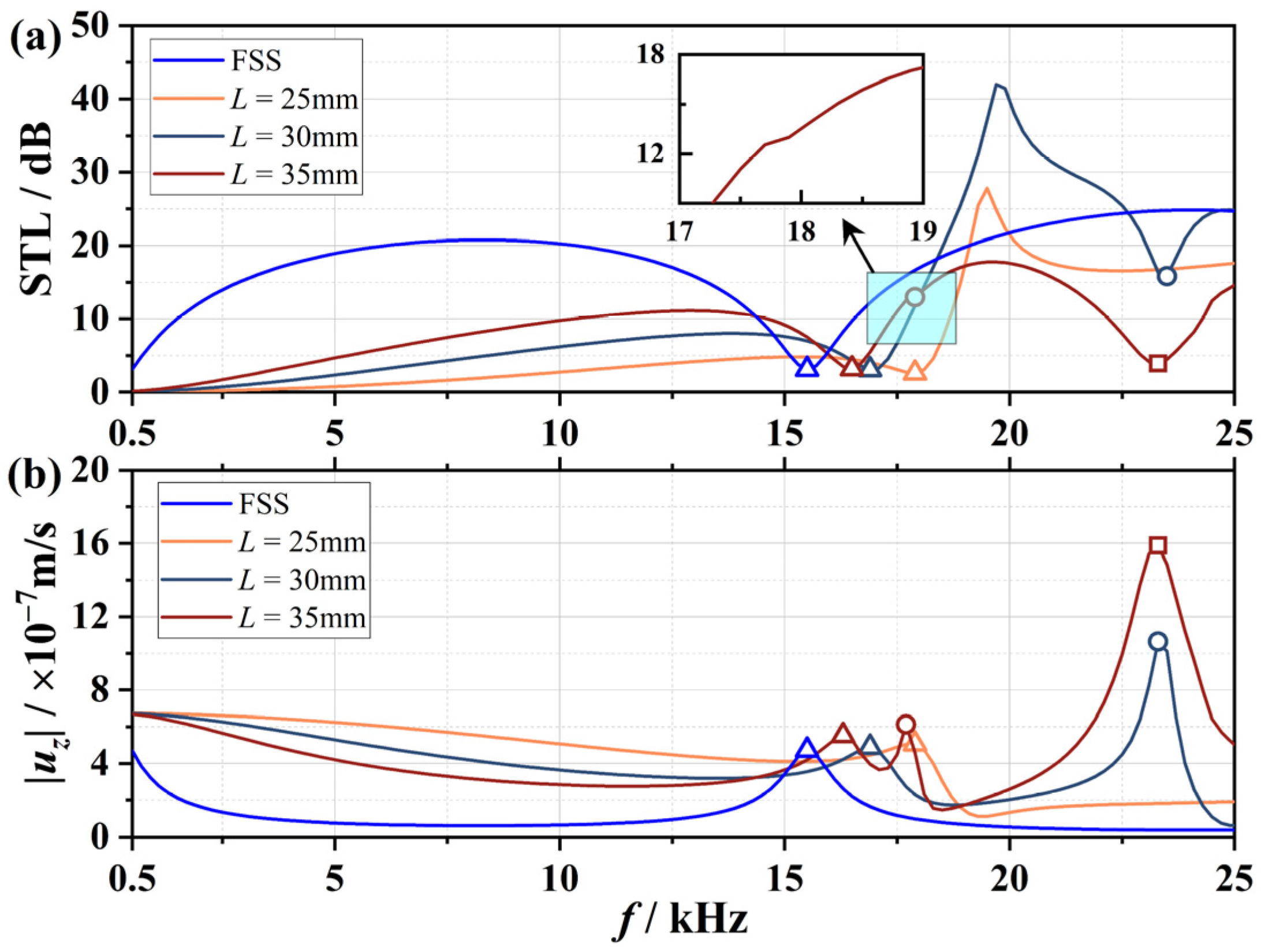
This subsection analyzes the effects of CFC distance L on STL, with the help of a comparison of the results with those of the FSS. The FSS is equivalent to a case where the CFC distance approaches infinity. Figure 5a illustrates the STL for CFC distances of L = 25 mm, 30 mm, and 35 mm.
Figure 5.
(a) STL and (b) |uz| for different CFC distances.
As seen in Figure 5a, the STL curve of the FSS-CFC exhibits three SIDs. The SIDs are identified and preliminarily labeled as SID-A, SID-B, and SID-C, corresponding to the symbols “△”, “○”, and “□”, respectively. Notably, three SIDs are observed only for L = 35 mm, while the cases of FSS and L = 25 mm lack SID-B and SID-C, and the case L = 30 mm lacks SID-C. To explain this phenomenon, Figure 5b presents the average z-direction velocity amplitude |uz| at the interface between the transmissive sheet and water. Peaks in |uz| correspond to the SIDs in Figure 5a, indicating that |uz| is inversely correlated with the STL. Furthermore, Figure 6 illustrate the displacement and sound pressure isosurfaces at SID-A and SID-B. For the FSS where L = 25 mm and 30 mm, SID-B is not observed, and the frequency of 23,500 Hz is shown instead in Figure 6. From Figure 6, the SID-A is primarily caused by standing wave resonance (SWR) in the PVC core, with a frequency of f = 15,500 Hz, satisfying the first-order standing wave resonance formula , where is the longitudinal wave velocity of the PVC core, and E, ρ, υ are the Young’s modulus, density, and Poisson’s ratio of the PVC core. As the CFC distance decreases, the constraint of the PVC core is strengthened, shifting the frequency of SID-A to higher values. In addition, the vibration mode of FSS-CFC approaches that of FSS. SID-B is primarily attributed to the bending vibration in the transmissive sheet, where a greater vibration displacement radiates more acoustic energy outward. However, if the CFC distance is too small, the sheet is excessively constrained and SID-B is suppressed. Similarly, when the CFC distance is too large, as in the FSS case, an insufficient z-direction constraint prevents the bending vibration from generating SID-B.
Figure 6.
Displacement and sound pressure isosurfaces in the transmissive water region at SID-A and SID-B.
Notably, for L = 35 mm, a clear second |uz| peak is observed at 17,900 Hz, and the corresponding SID-B is less pronounced. The magnified view of Figure 5a reveals only a slight fluctuation at this frequency. Because SID-B is primarily induced by the coupled vibration in the CFC columns and the sheets, to focus on the relevant displacement dynamics, Figure 7 illustrates the displacements of the sheet-CFC-sheet at three SIDs for L = 35 mm, while the displacements of the PVC core are omitted for simplicity. The SID-B frequency 17,900 Hz is close to the SID-A frequency 16,300 Hz. It is deduced that the slight fluctuation in STL at the frequency of SID-B resulted from the interference effect of the SWR of SID-A. Specifically, SID-A amplifies the displacement of the incident sheet while suppressing that of the transmissive sheet, weakening SID-B. For L = 30 mm, the same-direction bending vibration (SBV) occurs between the incident and transmissive sheets at SID-B, driven by the longitudinal vibration in the CFC. SID-A is caused by standing wave resonance in the PVC core, leading to an inward contraction of both sheets. In contrast, SID-C arises from the opposite-direction bending vibration (OBV) of both sheets, with the CFC providing a constraining effect, distinguishing it from the mechanism of SID-B.
Figure 7.
Displacements of the sheet–CFC–sheet structure at different SIDs for L = 35 mm with the displacement at SID-B for L = 30 mm included for comparison.
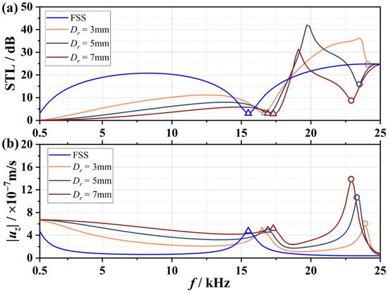
3.2.2. Effects of CFC Diameter
This subsection analyzes the effect of CFC diameter Dr on STL, with FSS serving as the reference case, which can be considered as the case where Dr = 0 mm. From Figure 8, as the CFC diameter increases, the constraint on the PVC core becomes stronger, which causes the SWR of SID-A to shift towards a higher frequency. As shown in Figure 9, SID-B is generated by SBVs in the sheets, which are driven by the longitudinal vibration of CFC. In this case, the mass of the CFC plays a dominant role in the resonance behavior. A larger CFC diameter with a higher mass leads to a lower resonance frequency for SID-B. Furthermore, as the CFC diameter increases, the vibration becomes more pronounced, resulting in a greater outward radiation of sound energy and lower SID-B values. Due to the strong constraint imposed by the CFC, the OBV and SID-C do not appear in the frequency range analyzed.
Figure 8.
(a) STL and (b) |uz| for different CFC diameters.
Figure 9.
Displacement of sheet–CFC–sheet structure and sound pressure isosurfaces in the transmissive water at SID-B for different CFC diameters.
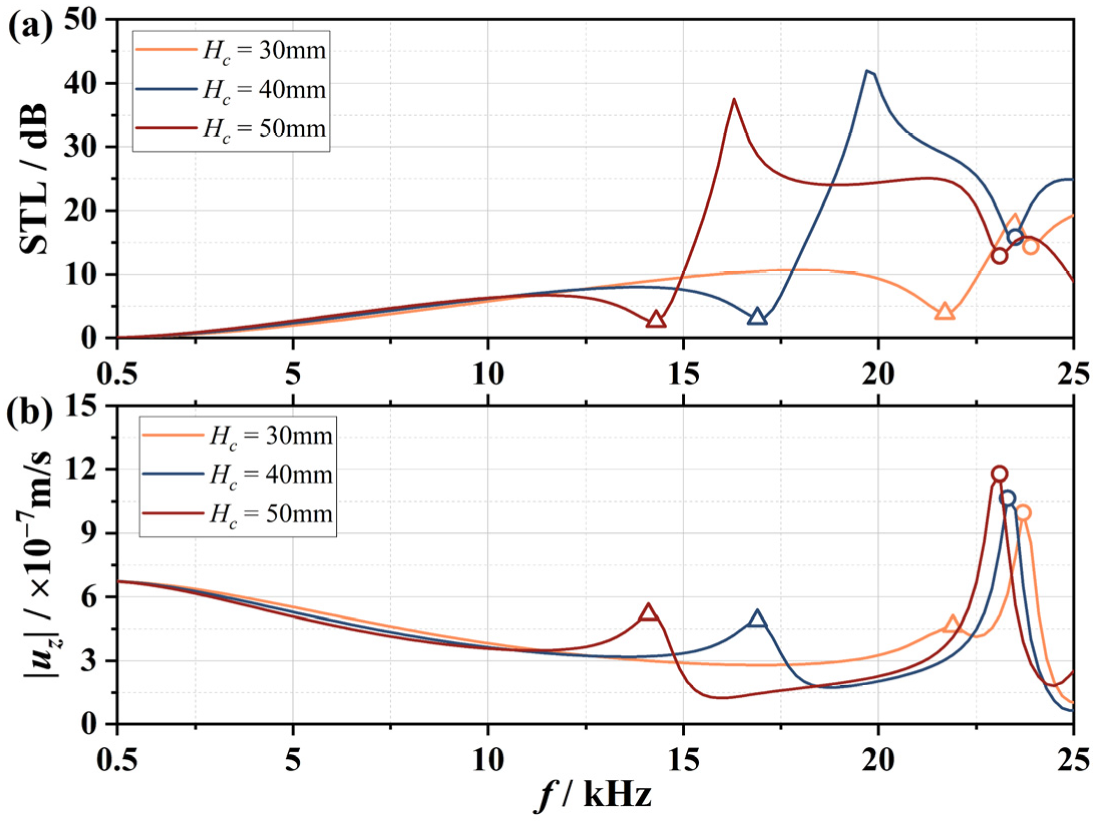
3.2.3. Effects of Core Thickness
This subsection analyzes the effect of core thickness Hc on STL. Figure 10 presents the STL and |uz| for core layers of 30 mm, 40 mm, and 50 mm. SID-A is significantly influenced by the core thickness. According to the formula , the frequency ratios of SID-A for the three thicknesses (21,700:17,100:14,300) are approximately inversely proportional to their thicknesses (1/30:1/40:1/50). For SID-B, the frequency slightly decreases as the core thickness increases. As shown in Figure 11, a larger core thickness implies an increased height of the CFC, leading to a greater mass and reduced stiffness, which lowers the frequency of SID-B. This is similar to the effect of increasing the CFC diameter discussed in Section 3.2.2. However, increasing the core thickness does not significantly alter the CFC’s constraint on the sheets. As a result, the magnitude of the sheets’ SBV remains similar, and the STL values are also relatively consistent.
Figure 10.
(a) STL and (b) |uz| for different core thicknesses.
Figure 11.
Displacement of sheet–CFC–sheet structure and sound pressure isosurfaces in the transmissive water at SID-B for different core thicknesses.
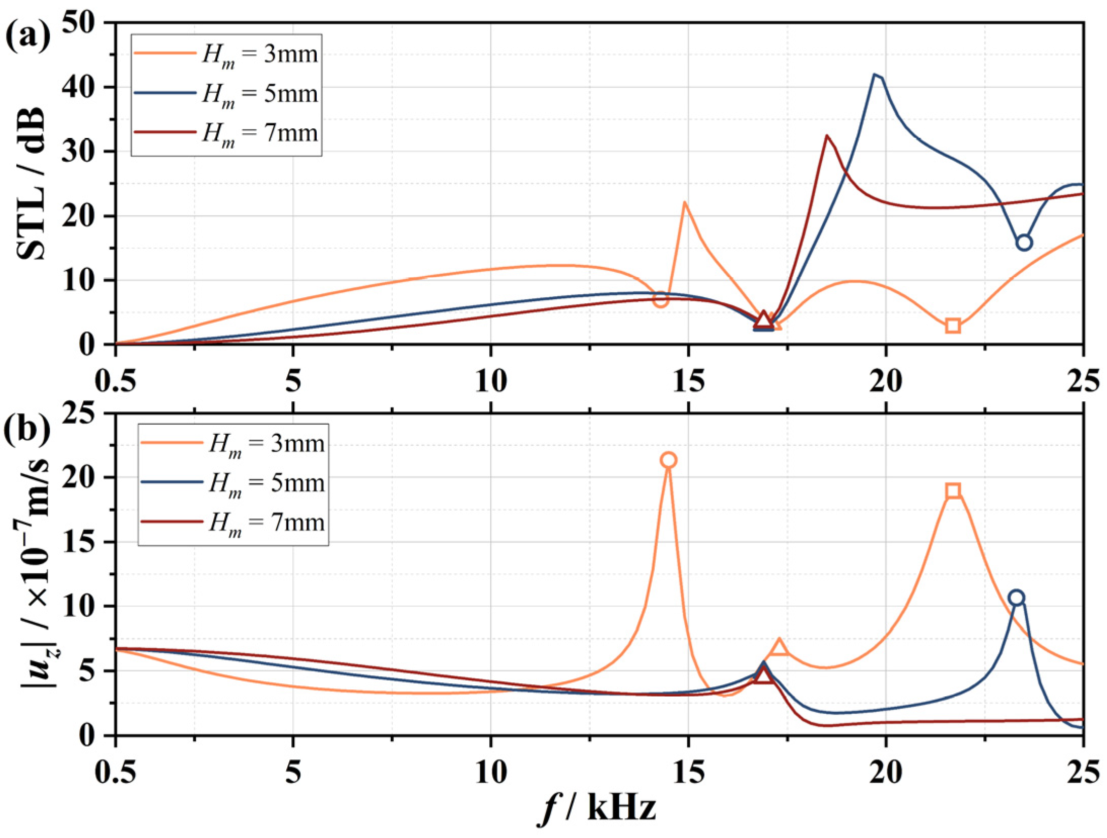
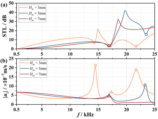
3.2.4. Effects of Sheet Thickness
This subsection analyzes the effect of sheet thickness Hm on STL, with the results shown in Figure 12. From Figure 12a,b, it can be observed that the sheet thickness has little effect on SID-A, as SID-A is primarily caused by the SWR of PVC core, which is independent of the sheet. A thicker sheet does not lead to the generation of SID-B or SID-C. Although thinner sheets offer better low-frequency sound insulation, they generate SID-C after SID-A, causing the STL to be lower than that of thicker sheets. Furthermore, Figure 13 shows the displacement and sound pressure isosurfaces for different panel thicknesses at SID-B and SID-C. Since SID-B is primarily induced by sheet OBV due to the longitudinal vibration of the CFC, a thinner sheet provides weaker constraint on CFC, resulting in a lower SID-B frequency. In contrast, thicker sheets suppress CFC vibrations and do not produce SID-B. SID-C is mainly caused by sheet OBVs under the constraint of the CFC. As the sheet thickness increases, its mass and stiffness increase, making SID-C more likely to occur at a higher frequency. Therefore, the SID-C is only observed at Hm = 3 mm.
Figure 12.
(a) STL and (b) |uz| for different sheet thicknesses.
Figure 13.
Displacement of sheet–CFC–sheet structure and sound pressure isosurfaces in the transmissive water at SID-B and SID-C for different sheet thicknesses.
3.2.5. Effects of Hydrostatic Pressure
The FSS-CFC is designed to withstand hydrostatic pressure, so it is necessary to analyze its sound insulation performance under different hydrostatic pressures. In this analysis, the water region shown in Figure 3b is set as a moving mesh, and the STL is calculated based on the deformed mesh under hydrostatic pressure. The hydrostatic pressure (0–4 MPa) is applied at the interface between the incident sheet and the incident water region. The interface between the transmissive sheet and transmissive water region are set with fixed boundary conditions. Symmetric boundary conditions are applied around the structure, and the acoustic boundary settings remain consistent with those described in Section 3.1.
Figure 14a shows the average displacement s at the interface between the incident sheet and the incident water region. The CFC significantly reduces the impact of hydrostatic pressure, as evidenced by the notable decrease in displacement for the FSS-CFC. Figure 14b,c indicate that, as hydrostatic pressure increases, the STL curve of FSS shifts markedly towards a higher frequency. In contrast, the STL curve of the FSS-CFC exhibits only a slight rightward shift, showing its sound insulation performance remaining virtually unaffected by hydrostatic pressure. This demonstrates that the FSS-CFC possesses resistance to hydrostatic pressure, making its sound insulation performance highly insensitive to pressure.
Figure 14.
(a) FSS and FSS-CFC average displacement s under different pressures; the STL of (b) FSS and (c) FSS-CFC under different pressures.
3.3. Optimization of FSS-CFC
In this section, a genetic algorithm (GA) is implemented to optimize the structural and acoustic performance of the FSS-CFC. The previous works [42,43,44] have proven that the GA is a powerful optimization technique inspired by the principles of natural selection and evolution. The processes begin with initializing a population of potential designs, where each “chromosome” encodes certain parameters. A fitness function evaluated the performance of each design, prioritizing those with higher STL and better structural stability. The GA then iteratively improved the population through crossover, combining favorable traits from parent designs, and mutation, introducing random variations to explore novel configurations.
3.3.1. Simplification of FSS-CFC Model
GA optimization requires a significant number of repetitive calculations, making it essential to simplify the unit cell model further. As shown in Figure 15a, due to the FSS-CFC structure exhibiting strong symmetry, an eighth of the FSS-CFC unit is set as simplified model and setting symmetric boundary around its side. The calculation frequency range is 500 Hz to 25,000 Hz in the simplified model, with the step 500 Hz. Figure 15b,c show that the strain ε and STL from both modes are nearly identical. This indicates that the simplified model can significantly reduce computation time while maintaining accuracy, thereby improving the efficiency of the optimization process.
Figure 15.
(a) Single cell model and simplified model; the results of (b) the strain ε and (c) STL for both models.
3.3.2. GA Optimization Process and Parameters
Figure 16 shows a flowchart of GA optimization. The GA optimization is conducted in MATLAB R2023b and the strain and sound insulation are calculated in COMSOL 6.2. The data transfer between MATLAB and COMSOL is facilitated through the COMSOL with MATLAB. First, variables and boundary conditions are defined in MATLAB. The GA is configured with a population size of 80 individuals per generation, ensuring a balanced exploration of the solution space. A crossover fraction of 0.8 is applied to encourage a high degree of genetic diversity through recombination, while a migration fraction of 0.2 allows for the movement of individuals between subpopulations, further promoting diversity and preventing premature convergence. The algorithm runs for a maximum of 200 generations, providing ample opportunity for convergence toward an optimal solution. A constraint tolerance of 1 × 10−6 is used, ensuring that solutions remain within acceptable limits for the imposed constraints. The optimization involved four design variables, CFC distance L, CFC cylinder diameter Dr, core thickness Hc, and face-sheet thickness Hm. The boundary conditions of these four variables are as follows:
Figure 16.
Flowchart of GA optimization.
To improve optimization efficiency, the first entry of the initial population is set as L = 30 mm, Dr = 5 mm, Hc = 40 mm, and Hm = 5 mm. The input variables are set to a simplified model in COMSOL for the calculation. Populations with s not exceeding the initial strain ε0= 0.00275 at 4 MPa are used to calculate the average sound transmission loss STLave within the frequency range of 500 Hz to 25,000 Hz. For populations where ε > ε0, the STLave is set to zero. The calculated STLave values are returned to MATLAB to evaluate fitness. The objective function is
Specifically, the objective function ensures that the optimized FSS-CFC exhibits a mechanical performance superior to its initial value. Within a population with a high mechanical performance, the algorithm iteratively generates offspring with improved sound insulation capabilities. Finally, through iterative processes of crossover and mutation, the optimal fitness value is obtained, representing the final optimization result.
3.3.3. Result of Optimization
Figure 17a illustrates the iterative processes of GA, which undergo a total of 189 iterations before converging to the optimal solution. As shown in Table 2, the optimization results in slight enhancements to the mechanical performance of the structure. The average STL increased by 3 dB, representing an improvement of approximately 25%. From Figure 17b, the optimization results reveal a broader bandwidth with sound insulation exceeding 10 dB and show improved STL in the mid and low frequency range (below 12,000 Hz) compared to the initial structure. This improvement ensures that the FSS-CFC remains robust under the required operational conditions, such as high-pressure underwater environments.
Figure 17.
(a) Iterative scatter diagram of GA. (b) Comparison of STL before and after optimization.
Table 2.
Parameters of the FSS-CFC before and after optimization.
4. Conclusions
This study designs an FSS-CFC with good mechanical and sound insulation properties. The STL obtained from the acoustic tube experiments aligns well with the simulation results. Then, the sound insulation mechanisms of FSS-CFC are revealed through characteristic analyses, showing three distinct SIDs caused by the SWR of the PVC core, column-driven SBVs in the sheets, and column-constrained OBVs in the sheets, respectively. The results under different pressures indicate that the sound insulation performance of FSS-CFC is insensitive to pressure variations and effectively resists the deformation caused by hydrostatic pressure. In addition, the structure is optimized using GA, leading to improvements in both mechanical and acoustic performance compared to the initial FSS-CFC. The average STL after optimized increased by 3 dB.
In summary, the FSS-CFC is suited for use in deep-sea vehicles, underwater communication systems, and marine monitoring platforms, where efficient sound isolation is essential to reduce acoustic interference and ensure operational reliability in high-pressure environments. The design and mechanism of the FSS-CFC provide valuable insights for the development of pressure-resistant acoustic structures for use on deep-water vehicles.
Author Contributions
Conceptualization, Z.Z.; Methodology, K.L., L.W. and W.D.; Validation, K.L., L.W. and W.D.; Formal analysis, J.L.; Investigation, J.L.; Writing—original draft, K.L.; Writing—review & editing, Z.Z. and Y.J.; Supervision, Z.Z., Y.J. and Y.L.; Funding acquisition, Z.Z. and Y.L. All authors have read and agreed to the published version of the manuscript.
Funding
This work was supported by the Open Fund of Key Laboratory of High Performance Ship Technology (Wuhan University of Technology), Ministry of Education (No. gxnc24113004), and National Natural Science Foundation of China [Grand Nos. 52225108 and 52171290].
Institutional Review Board Statement
Not applicable.
Informed Consent Statement
Not applicable.
Data Availability Statement
Data will be made available on request.
Conflicts of Interest
The authors declare that they have no known competing financial interests or personal relationships that could have appeared to influence the work reported in this paper.
References
- Kim, H.S.; Ma, P.S.; Kim, B.K.; Kim, S.R.; Seo, Y.H. Underwater sound absorption and insulation of elastic micro-perforated plates in impedance tubes. Appl. Acoust. 2022, 197, 108935. [Google Scholar] [CrossRef]
- Dong, H.W.; Zhao, S.D.; Xiang, P.; Wang, B.; Zhang, C.Z.; Cheng, L.; Wang, Y.S.; Fang, D.N. Porous-Solid Metaconverters for Broadband Underwater Sound Absorption and Insulation. Phys. Rev. Appl. 2023, 19, 044074. [Google Scholar] [CrossRef]
- Wu, H.L.; Hao, C.P.; Zhang, H. Underwater broadband sound insulation with chiral spiral structures. AIP Adv. 2020, 10, 125022. [Google Scholar] [CrossRef]
- Jia, Q.; Han, D.H.; Wang, C.; Hu, B.; Wen, J.H.; Yu, D.L. Locally resonant pressure-resistant meta-shell with accordion zero Poisson’s ratio core for sound insulation and sound radiation suppression. Ocean Eng. 2024, 313, 119504. [Google Scholar] [CrossRef]
- Li, Q.; Yang, D.Q. A lightweight AuxHex zero Poisson’s ratio pressure-resistant sandwich cylindrical shell and its load-bearing and sound insulation behaviors: Design, simulation and experiment. Ocean Eng. 2024, 309, 118608. [Google Scholar] [CrossRef]
- Belibassakis, K.; Prospathopoulos, J. A 3d-BEM for underwater propeller noise propagation in the ocean environment including hull scattering effects. Ocean Eng. 2023, 286, 115544. [Google Scholar] [CrossRef]
- Guy, M.A.; Kesour, K.; Vulliez, M.; Gagnon, S.; St-Jacques, J.; Tremblay, R.; Marquis, J.C.G.; Robin, O. Assessment of the effectiveness of ship machinery noise reduction measures using a test platform in a water basin. Ocean Eng. 2024, 313, 119380. [Google Scholar] [CrossRef]
- Sun, X.J.; Jiang, F.C.; Wang, J.D. Acoustic Properties of 316L Stainless Steel Lattice Structures Fabricated via Selective Laser Melting. Metals 2020, 10, 111. [Google Scholar] [CrossRef]
- Guo, K.M.; Jiang, J.; Xu, Y.L. Acoustic Radiation Suppression of a Truss Core Sandwich Panel Using Decentralized Resonant Shunt Damping. J. Vib. Eng. Technol. 2021, 9, 267–277. [Google Scholar] [CrossRef]
- Lin, C.G.; Wen, G.L.; Yin, H.F.; Wang, Z.P.; Liu, J.; Xie, Y.M. Revealing the sound insulation capacities of TPMS sandwich panels. J. Sound. Vib. 2022, 540, 117303. [Google Scholar] [CrossRef]
- Thomson, W.T. Transmission of Elastic Waves through a Stratified Solid Medium. J. Appl. Phys. 1950, 21, 89–93. [Google Scholar] [CrossRef]
- Haskell, N.A. The dispersion of surface waves on multilayered media*. Bull. Seismol. Soc. Am. 1953, 43, 17–34. [Google Scholar] [CrossRef]
- Shaw, R.P.; Bugl, P. Transmission of Plane Waves through Layered Linear Viscoelastic Media. J. Acoust. Soc. Am. 1969, 46, 649–654. [Google Scholar] [CrossRef]
- Cervenka, P.; Challande, P. A new efficient algorithm to compute the exact reflection and transmission factors for plane waves in layered absorbing media (liquids and solids). J. Acoust. Soc. Am. 1991, 89, 1579–1589. [Google Scholar] [CrossRef]
- Fu, T.; Chen, Z.B.; Yu, H.Y.; Zhu, X.Z.; Zhao, Y.Z. Sound transmission loss behavior of sandwich panel with different truss cores under external mean airflow. Aerosp. Sci. Technol. 2019, 86, 714–723. [Google Scholar] [CrossRef]
- Wang, D.W.; Ma, L.; Wang, X.T.; Wen, Z.H.; Glorieux, C. Sound transmission loss of laminated composite sandwich structures with pyramidal truss cores. Compos. Struct. 2019, 220, 19–30. [Google Scholar] [CrossRef]
- Liu, J.; Chen, T.T.; Zhang, Y.H.; Wen, G.L.; Qing, Q.X.; Wang, H.X.; Sedaghati, R.M.; Xie, Y.M. On sound insulation of pyramidal lattice sandwich structure. Compos. Struct. 2019, 208, 385–394. [Google Scholar] [CrossRef]
- Hu, J.Q.; Zhu, S.W.; Wang, B.; Liu, A.K.; Ma, L.; Wu, L.Z.; Zhou, Z.G. Fabrication and compression properties of continuous carbon fiber reinforced polyether ether ketone thermoplastic composite sandwich structures with lattice cores. J. Sandw. Struct. Mater. 2021, 23, 2422–2442. [Google Scholar] [CrossRef]
- Ruzzene, M. Vibration and sound radiation of sandwich beams with honeycomb truss core. J. Sound. Vib. 2004, 277, 741–763. [Google Scholar] [CrossRef]
- Arunkumar, M.P.; Pitchaimani, J.; Gangadharan, K.V.; Babu, M.C.L. Sound transmission loss characteristics of sandwich aircraft panels: Influence of nature of core. J. Sandw. Struct. Mater. 2017, 19, 26–48. [Google Scholar] [CrossRef]
- Guo, Z.K.; Hu, G.B.; Sorokin, V.; Yang, Y.; Tang, L.H. Sound transmission through sandwich plate with hourglass lattice truss core. J. Sandw. Struct. Mater. 2021, 23, 1902–1928. [Google Scholar] [CrossRef]
- Guo, J.J.; Xiao, Y.; Ren, H.; Chen, H.M.; Yu, D.L.; Wen, J.H. Broadband low-frequency sound insulation of double-panel metastructures with a perforated lattice truss-core sandwich plate. Mech. Syst. Signal Process. 2023, 200, 110634. [Google Scholar] [CrossRef]
- Sun, Y.H.; Zhang, G.S.; Lee, H.P.; Zheng, H.; Luo, Z.; Li, F.C. Sound transmission of truss-based X-shaped inertial amplification metamaterial double panels. Int. J. Mech. Sci. 2024, 283, 109669. [Google Scholar] [CrossRef]
- Huang, X.C.; Su, Z.W.; Zhang, Z.G.; Hua, H.X. Mechanism of a periodic chiral lattice coating on sound radiation suppression at the strong radiation mode of a stiffened hull plate. Int. J. Mech. Sci. 2020, 175, 105512. [Google Scholar] [CrossRef]
- Spadoni, A.; Ruzzene, M. Structural and acoustic behavior of chiral truss-core beams. J. Vib. Acoust.-Trans. ASME 2006, 128, 616–626. [Google Scholar] [CrossRef]
- Shen, C.; Xin, F.X.; Lu, T.J. Sound transmission across composite laminate sandwiches: Influence of orthogonal stiffeners and laminate layup. Compos. Struct. 2016, 143, 310–316. [Google Scholar] [CrossRef]
- Wang, J.; Lu, T.J.; Woodhouse, J.; Langley, R.S.; Evans, J. Sound transmission through lightweight double-leaf partitions: Theoretical modelling. J. Sound. Vib. 2005, 286, 817–847. [Google Scholar] [CrossRef]
- Wang, D.W.; Ma, L. Sound transmission through composite sandwich plate with pyramidal truss cores. Compos. Struct. 2017, 164, 104–117. [Google Scholar] [CrossRef]
- Li, J.R.; Yang, P.; Li, S. Phononic band gaps by inertial amplification mechanisms in periodic composite sandwich beam with lattice truss cores. Compos. Struct. 2020, 231, 111458. [Google Scholar] [CrossRef]
- Wang, Y.Z.; Ma, L. Improvement in sound insulation performance of pyramidal truss core cylindrical sandwich structure by adding a frame structure. Mech. Adv. Mater. Struct. 2024, 31, 1666–1677. [Google Scholar] [CrossRef]
- Wang, Y.Z.; Ma, L. Sound Insulation Performance of Pyramidal Truss Core Cylindrical Sandwich Structure. Acta Mech. Solida Sin. 2022, 35, 504–517. [Google Scholar] [CrossRef]
- Moosavimehr, S.E.; Phani, A.S. Sound transmission loss characteristics of sandwich panels with a truss lattice core. J. Acoust. Soc. Am. 2017, 141, 2921–2932. [Google Scholar] [CrossRef]
- Arunkumar, M.P.; Pitchaimani, J.; Gangadharan, K.V.; Leninbabu, M.C. Vibro-acoustic response and sound transmission loss characteristics of truss core sandwich panel filled with foam. Aerosp. Sci. Technol. 2018, 78, 1–11. [Google Scholar] [CrossRef]
- Wang, Y.Z.; Ma, L. Sound insulation performance of membrane-type metamaterials combined with pyramidal truss core sandwich structure. Compos. Struct. 2021, 260, 113257. [Google Scholar] [CrossRef]
- Lin, Q.H.; Lin, Q.L.; Wang, Y.H.; Di, G.Q. Sound insulation performance of sandwich structure compounded with a resonant acoustic metamaterial. Compos. Struct. 2021, 273, 114312. [Google Scholar] [CrossRef]
- Wang, C.; Zhao, H.G.; Wang, Y.; Zhong, J.; Yang, H.B.; Yu, D.L.; Wen, J.H. Low-frequency waterborne sound insulation by an acoustic metascreen with a metal chiral structure. Front. Mater. 2022, 9, 1015839. [Google Scholar] [CrossRef]
- Wang, Y.; Zhao, H.G.; Yang, H.B.; Liu, J.W.; Yu, D.L.; Wen, J.H. Topological design of lattice materials with application to underwater sound insulation. Mech. Syst. Signal Process. 2022, 171, 108911. [Google Scholar] [CrossRef]
- Wang, D.W.; Zhang, Q.; Hu, G.K. Low Frequency Waterborne Sound Insulation Based on Sandwich Panels With Quasi-Zero-Stiffness Truss Core. J. Appl. Mech.-Trans. ASME 2023, 90, 031006. [Google Scholar] [CrossRef]
- Zhong, H.B.; Tian, Y.J.; Gao, N.S.; Lu, K.; Wu, J.H. Ultra-thin composite underwater honeycomb-type acoustic metamaterial with broadband sound insulation and high hydrostatic pressure resistance. Compos. Struct. 2021, 277, 114603. [Google Scholar] [CrossRef]
- Zhao, B.H.; Wang, D.W.; Zhou, P.Z.; Liu, X.N.; Hu, G.K. Design of Load-Bearing Materials for Isolation of Low-Frequency Waterborne Sound. Phys. Rev. Appl. 2022, 17, 034065. [Google Scholar] [CrossRef]
- Wang, C.; Zhao, H.G.; Wang, Y.; Zhong, J.; Yu, D.L.; Wen, J.H. Topology optimization of chiral metamaterials with application to underwater sound insulation. Appl. Math. Mech.-Engl. Ed. 2024, 45, 1119–1138. [Google Scholar] [CrossRef]
- Zhou, X.; Zhang, W.; Geng, X.; Xin, F. Broadband sound absorption of micro-perforated sandwich panels with hierarchical honeycomb core at high sound pressure levels. Compos. Struct. 2025, 354, 118794. [Google Scholar] [CrossRef]
- Gu, J.; Zhao, Q.; Yin, B.; Zhou, H.; Qu, S. Lowering the sound transmission loss of impedance-matching structures: Data-driven optimization assisted with a priori knowledge. Mater. Des. 2023, 232, 112091. [Google Scholar] [CrossRef]
- Yang, L.; Wang, P.; Wang, J. Research on evaluation model for vehicle interior sound quality based on an optimized BiLSTM using genetic algorithm. Mech. Syst. Signal Process. 2023, 204, 110827. [Google Scholar] [CrossRef]
Disclaimer/Publisher’s Note: The statements, opinions and data contained in all publications are solely those of the individual author(s) and contributor(s) and not of MDPI and/or the editor(s). MDPI and/or the editor(s) disclaim responsibility for any injury to people or property resulting from any ideas, methods, instructions or products referred to in the content. |
© 2025 by the authors. Licensee MDPI, Basel, Switzerland. This article is an open access article distributed under the terms and conditions of the Creative Commons Attribution (CC BY) license (https://creativecommons.org/licenses/by/4.0/).
















