Offshore Submerged Aquaculture Flow-Net Interaction Simulation: A Numerical Approach for the Hydrodynamic Characteristics of Nets Produced from Different Materials
Abstract
1. Introduction
2. Numerical Model
2.1. Governing Equations
2.2. Solution Methodology
2.3. Model Validation
3. Numerical Simulations
3.1. Model Parameters
3.2. Net Structure
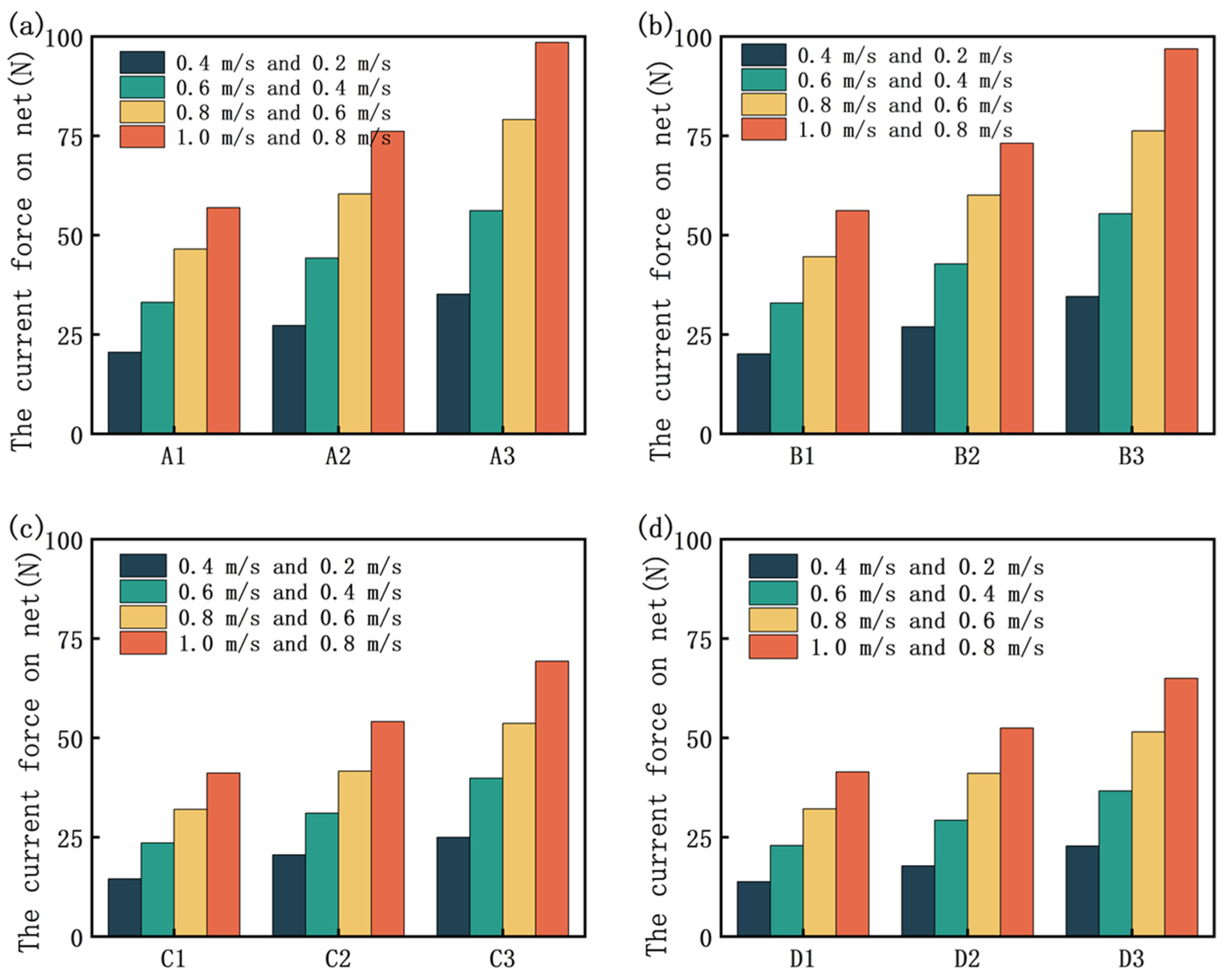
3.3. Current Force Analysis of Nets
3.4. Effect of Netting Wire Diameter on Hydrodynamic Properties of Nets
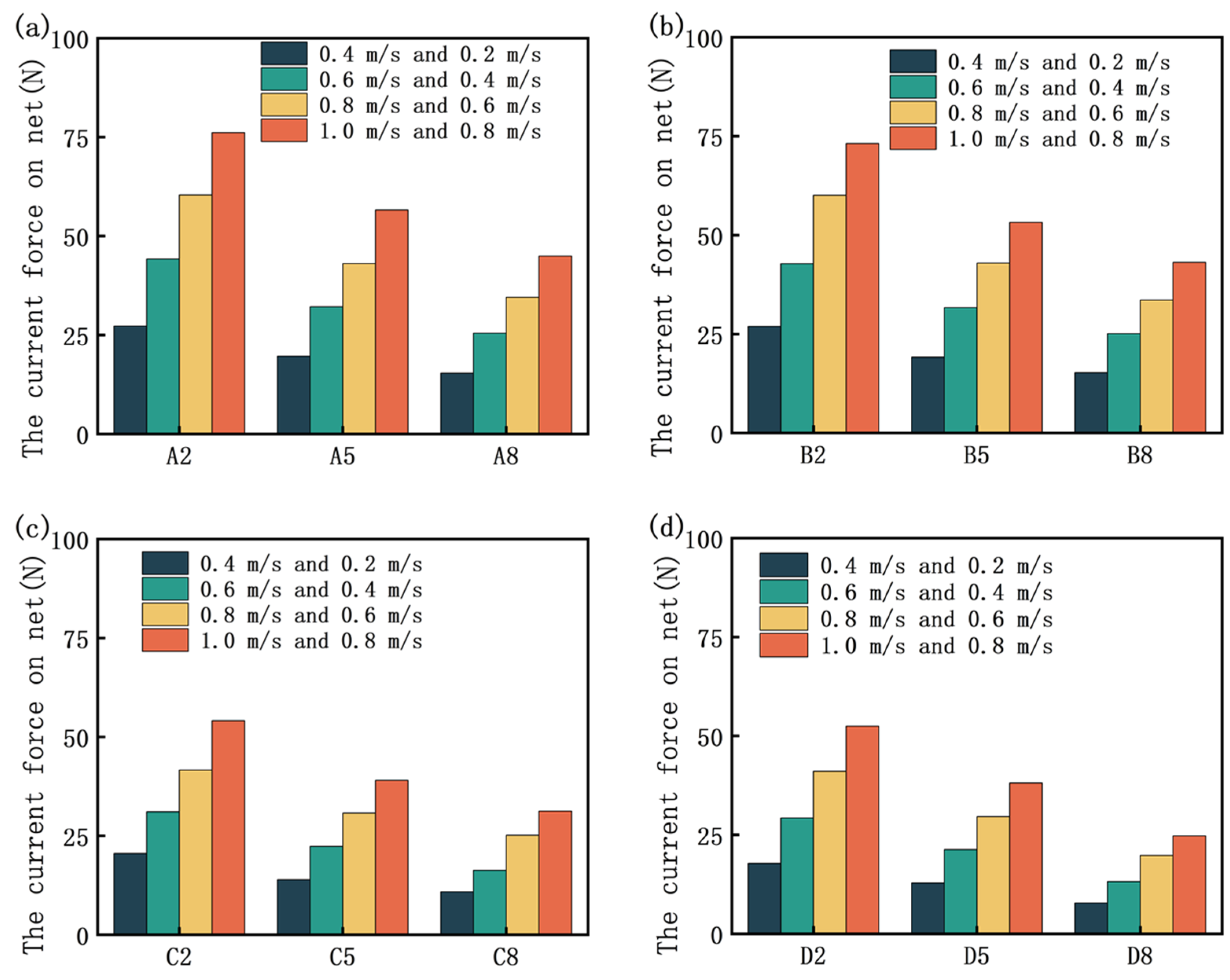
3.5. Effect of Mesh Size on Hydrodynamic Properties of Nets
3.6. Effect of Drag Coefficient on Hydrodynamic Properties of Nets
4. Analysis of Impact of Net Material Properties
5. Conclusions
- (1)
- The value of the current force acting on the net is directly proportional to the flow velocity. The nets made of alloys experience greater current forces compared to nets made of polymer materials. The Cu-Zn alloy net of type 25 mm × 3.2 mm (mesh size × diameter) experiences the greatest current force among the four materials when the flow velocity is 1.0 m/s. The PET net of the same type experiences a current force at a flow velocity of 1.0 m/s that is 27 times that of 0.2 m/s, which is the highest among the four types of material nets. Under the condition of a uniform flow field with a flow velocity of 1.0 m/s, the alloy nets generally experience a larger current force, and the growth rate of the current force on the nets made of PET or UHMWPE is greater than those of the alloy nets.
- (2)
- The increment trend of current force experienced by the nets of the four materials increases with the same pattern, with the maximum increment in current force occurring when the flow velocity is raised to 1.0 m/s. The alloy net, when the wire diameter is 4.0 mm, experiences a greater increment in current force with the increase in flow velocity compared to the nets with wire diameters of 2.5 mm and 3.2 mm. The current force on the net is negatively correlated with the mesh size. When the mesh size is further increased from 35 mm to 45 mm, the reduction for the UHMWPE net is less compared to the other materials, with only a 12.6% decrease. The drag coefficient has a minimal impact on the deformation of alloy nets, but it has a more noticeable effect on the deformation of UHMWPE nets. When the drag coefficient is increased from 0.2 to 0.4, the enhancement in the force growth rate is the most significant.
- (3)
- When the material density is 3000 kg/m3, the growth rate of the current force is the highest, at 4.18%. When the material density is 5000 kg/m3, the change in elastic modulus has the greatest impact on the growth rate of the net current force, and increasing the elastic modulus increases the growth rate of the net current force by 2.09%. And when the material density is 10,000 kg/m3, the increase in elastic modulus actually reduces the growth rate of the current force on the net; as the elastic modulus increases, the growth rate of the current force on the net is paradoxically decreased by 0.18%.
Author Contributions
Funding
Institutional Review Board Statement
Informed Consent Statement
Data Availability Statement
Conflicts of Interest
References
- Zheng, Z.Q.; Wan, R.; Chang, Z.Y.; Chi, M.T. The dynamic characteristic of aquaculture net cage considering flexible twine damaged. IOP Conf. Ser. Mater. Sci. Eng. 2019, 658, 12018. [Google Scholar] [CrossRef]
- Liu, H.Y.; Wang, S.M.; Yuan, T.P.; Huang, X.H. Study on the Material Mechanical Properties of Aquaculture Net Cage. IOP Conf. Ser. Mater. Sci. Eng. 2020, 774, 12028. [Google Scholar] [CrossRef]
- Sala, A.; Lucchetti, A.; Buglioni, G. The change in physical properties of some nylon (PA) netting samples before and after use. Fish. Res. 2004, 69, 181–188. [Google Scholar] [CrossRef]
- Kalantzi, I.; Zeri, C.; Catsiki, V.; Tsangaris, C.; Strogyloudi, E.; Kaberi, H.; Vergopoulos, N.; Tsapakis, M. Assessment of the use of copper alloy aquaculture nets: Potential impacts on the marine environment and on the farmed fish. Aquaculture 2016, 465, 209–222. [Google Scholar] [CrossRef]
- Wang, M.Y.; Li, W.H. Application of dyneema on trawlingin the east china sea. Hi-Tech Fiber Appl. 2000, 4, 33–37. [Google Scholar]
- Herrmann, B.; Wienbeck, H.; Stepputtis, D.; Krag, L.A.; Feekings, J.; Moderhak, W. Size selection in codends made of thin-twined Dyneema netting compared to standard codends: A case study with cod, plaice and flounder. Fish. Res. 2015, 167, 82–91. [Google Scholar] [CrossRef]
- Sterling, D.; Balash, C. Engineering and catching performance of five netting materials in commercial prawn-trawl systems. Fish. Res. 2017, 193, 223–231. [Google Scholar] [CrossRef]
- Hu, Y.Y.; Zhao, H.S.; Shi, W.; Bi, C.W.; Li, X. Numerical Study on Internal and External Flow Fields of the UHMWPE Cage. J. Mar. Sci. Eng. 2023, 11, 1881. [Google Scholar] [CrossRef]
- Zhang, B.; Nian, X.Z.; Jin, F.N.; Xia, Z.C.; Fan, H.L. Failure analyses of flexible Ultra-High Molecular Weight Polyethylene (UHMWPE) fiber reinforced anti-blast wall under explosion. Compos. Struct. 2018, 184, 759–774. [Google Scholar] [CrossRef]
- Zhao, H.S.; Hu, Y.Y.; Bi, C.W.; Li, X. Numerical study on hydrodynamic behaviors of and flow field around UHMWPE plane nets. Aquac. Eng. 2024, 106, 102397. [Google Scholar] [CrossRef]
- Pundhir, N.; Pathak, H.; Zafar, S. Ballistic impact performance of ultra-high molecular weight polyethylene (UHMWPE) composite armour. Sādhanā 2021, 46, 194. [Google Scholar] [CrossRef]
- Thomsen, T.B.; Almdal, K.; Meyer, A.S. Significance of poly(ethylene terephthalate) (PET) substrate crystallinity on enzymatic degradation. New Biotechnol. 2023, 78, 162–172. [Google Scholar] [CrossRef] [PubMed]
- Rashwan, O.; Koroneos, Z.; Townsend, T.G.; Caputo, M.P.; Bylone, R.J.; Wodrig, B.; Cantor, K. Extrusion and characterization of recycled polyethylene terephthalate (rPET) filaments compounded with chain extender and impact modifiers for material-extrusion additive manufacturing. Sci. Rep. 2023, 13, 16041. [Google Scholar] [CrossRef] [PubMed]
- Shi, J.G.; Yu, W.W.; Lu, B.C.; Cheng, S.Q. Development status and prospect of Chinese deep-sea cage. J. Fish. China 2021, 45, 992–1005. [Google Scholar]
- Ayer, N.; Martin, S.; Dwyer, R.L.; Gace, L.; Laurin, L. Environmental performance of copper-alloy Net-pens: Life cycle assessment of Atlantic salmon grow-out in copper-alloy and nylon net-pens. Aquaculture 2016, 453, 93–103. [Google Scholar] [CrossRef]
- Yigit, M.; Celikkol, B.; Bulut, M.; Dwyer, R.; Decew, J.; Ozalp, B.; Yilmaz, S.; Kaya, H.; Kizilkaya, B.; Hisar, O.; et al. Monitoring of trace metals, biochemical composition and growth of Axillary seabream (Pagellus acarne Risso, 1827) in offshore Copper alloy net cage. Mediterr. Mar. Sci. 2016, 17, 396–403. [Google Scholar] [CrossRef][Green Version]
- Gui, F.K.; Zhu, H.J.; Feng, D.J. Research progress on hydrodynamic characteristics of marine aquaculture netting. Fish. Mod. 2019, 46, 9–14. [Google Scholar]
- Patursson, Ø.; Swift, M.R.; Tsukrov, I.; Simonsen, K.; Baldwin, K.; Fredriksson, D.W.; Celikkol, B. Development of a porous media model with application to flow through and around a net panel. Ocean Eng. 2010, 37, 314–324. [Google Scholar] [CrossRef]
- Drach, A.; Tsukrov, I.; DeCew, J.; Celikkol, B. Engineering procedures for design and analysis of submersible fish cages with copper netting for exposed marine environment. Aquac. Eng. Int. J. 2016, 70, 1–14. [Google Scholar] [CrossRef]
- Tang, H.J.; Huang, C.C.; Yang, R.Y. Numerical study of the influence of fishnet mesh size on a floating platform. J. Mar. Sci. Eng. 2020, 8, 343. [Google Scholar] [CrossRef]
- Wu, Q.; You, X.; Huang, L.; Bi, C.; He, S.; Yang, Y.; Wang, G. Hydrodynamic characteristics of rigid net panels for mariculture facilities as determined in flume-tank experiment. Appl. Ocean Res. 2024, 147, 103969. [Google Scholar] [CrossRef]
- Tang, H.; Hu, F.; Xu, L.; Dong, S.; Zhou, C.; Wang, X. Variations in hydrodynamic characteristics of netting panels with various twine materials, knot types, and weave patterns at small attack angles. Sci. Rep. 2019, 9, 1923. [Google Scholar] [CrossRef] [PubMed]
- Thierry, B.N.N.; Tang, H.; Achile, N.P.; Xu, L.; Zhou, C.; Hu, F. Experimental and numerical investigations of the hydrodynamic characteristics, twine deformation, and flow field around the netting structure composed of two types of twine materials for mid water trawls. J. Ocean Univ. China 2021, 20, 1215–1235. [Google Scholar] [CrossRef]
- Liu, H.F. Study on Hydrodynamic Characteristics of Metal Chain Net Under Waves Based on the Abaqus; Dalian Ocean University: Dalian, China, 2018. [Google Scholar]
- Xu, Z.M.; Lin, Z.L.; Xie, B. Research on uni-directional coupling method for flexible nets and flow field based on truss model and porous media model. Ocean Eng. 2022, 40, 51–61. [Google Scholar]
- Liu, H.F.; Chen, C.P.; Zheng, Y.N.; Liang, X.Y. Study of the numerical simulation of characteristics of different flow resistances on a metal chain–link net for aquaculture under currents. Fish. Mod. 2017, 44, 73–79. [Google Scholar]
- Esmail, J.F.; Mohamedmeki, M.Z.; Ajeel, A.E. Using the uniaxial tension test to satisfy the hyperelastic material simulation in ABAQUS. IOP Conf. Ser. Mater. Sci. Eng. 2020, 888, 12065. [Google Scholar] [CrossRef]
- Gignoux, H.; Thompson, L.D.; Messier, R.H. Computational Model of Aquaculture Fin-fish Net-pens. In Proceedings of the International Conference of University of Hawaii Sea Grant College Program, Maui, HI, USA, 23–25 April 1997; pp. 107–129. [Google Scholar]
- Morison, R.E.; Johnson, J.W.; Schaaf, S.A. The Force Exerted by Surface Waves on Piles. Pet. Trans. 1950, 189, 149–154. [Google Scholar] [CrossRef]
- Sarpkaya, T. Mechanics of Wave Forces on Offshore Structures; Van Nostrand Reinhold Company: New York, NY, USA, 1981. [Google Scholar]
- U.S. Army Corps of Engineers. Shore Protection Manual; Coastal Engineering Research Center, Department of the Army: Washington, DC, USA, 1984; 1 and 2.
- Li, L. Dynamic Responses of Floating Fish Cage System in Current and Waves. Master’s Thesis, Shanghai Jiaotong University, Shanghai, China, 2013. [Google Scholar]
- Ministry of Transport Navigation Engineering Survey and Design Institute. Handbook for Design of Sea Harbour; China Communications Press: Beijing, China, 1994.














| Physical Parameter | Value | Physical Parameter | Value |
|---|---|---|---|
| Net size (cm) | 80 × 80 | g (m/s2) | 9.8 |
| Mesh size (mm) | 25~45 | CD | 1.2 |
| Wire diameter (mm) | 2.5 | CM | 2.0 |
| Distance between net and water surface (m) | 0.15 | Elastic modulus (GPa) | 193 |
| Density (kg/m3) | 2.0 | Poisson’s ratio | 0.3 |
| Net Material | Cu-Zn Alloy | Zn-Al Alloy | UHMWPE | PET |
|---|---|---|---|---|
| Density (kg/m3) | 8500 | 6300 | 970 | 1370 |
| Elastic modulus (GPa) | 145 | 193 | 0.8 | 3.5 |
| Poisson’s ratio | 0.3 | 0.3 | 0.33 | 0.37 |
| Diamond Mesh; Mesh Size × Diameter (mm × mm) | Cu-Zn Alloy (No. A) | Zn-Al Alloy (No. B) | PET (No. C) | UHMWPE (No. D) |
|---|---|---|---|---|
| 25 × 2.5 | A1 | B1 | C1 | D1 |
| 25 × 3.2 | A2 | B2 | C2 | D2 |
| 25 × 4.0 | A3 | B3 | C3 | D3 |
| 35 × 2.5 | A4 | B4 | C4 | D4 |
| 35 × 3.2 | A5 | B5 | C5 | D5 |
| 35 × 4.0 | A6 | B6 | C6 | D6 |
| 45 × 2.5 | A7 | B7 | C7 | D7 |
| 45 × 3.2 | A8 | B8 | C8 | D8 |
| 45 × 4.0 | A9 | B9 | C9 | D9 |
| Velocity of Flow (m/s) | The Force Exerted on a Cu-Zn Alloy Net with a Diamond-Shaped Mesh (N) | ||||||||
| v | FA1 | FA2 | FA3 | FA4 | FA5 | FA6 | FA7 | FA8 | FA9 |
| 0.2 | 7.32 | 9.56 | 12.20 | 5.22 | 6.86 | 8.75 | 4.10 | 5.42 | 6.91 |
| 0.4 | 27.84 | 36.81 | 47.35 | 19.93 | 26.48 | 34.20 | 15.93 | 20.80 | 26.83 |
| 0.6 | 60.93 | 81.05 | 103.51 | 44.04 | 58.63 | 74.14 | 35.52 | 46.28 | 58.63 |
| 0.8 | 107.41 | 141.44 | 182.62 | 76.89 | 101.68 | 129.81 | 60.82 | 80.92 | 102.56 |
| 1.0 | 164.32 | 217.57 | 281.11 | 118.33 | 158.27 | 202.639 | 94.28 | 125.87 | 158,67 |
| Velocity of Flow (m/s) | The Force Exerted on a Zn-Al Alloy Net with a Diamond-Shaped Mesh (N) | ||||||||
| v | FB1 | FB2 | FB3 | FB4 | FB5 | FB6 | FB7 | FB8 | FB9 |
| 0.2 | 7.19 | 9.46 | 12.11 | 5.11 | 6.77 | 8.56 | 4.06 | 5.32 | 6.79 |
| 0.4 | 27.30 | 36.38 | 46.68 | 19.77 | 25.92 | 33.31 | 15.67 | 20.57 | 26.56 |
| 0.6 | 60.21 | 79.15 | 102.08 | 43.02 | 57.59 | 72.96 | 34.30 | 45.66 | 58.39 |
| 0.8 | 104.78 | 139.23 | 178.33 | 74.80 | 100.52 | 127.66 | 60.64 | 79.25 | 103.16 |
| Velocity of Flow (m/s) | The Force Exerted on a PET Alloy Net with a Diamond-Shaped Mesh (N) | ||||||||
| v | FC1 | FC2 | FC3 | FC4 | FC5 | FC6 | FC7 | FC8 | FC9 |
| 0.2 | 5.18 | 6.92 | 8.96 | 3.76 | 5.02 | 6.47 | 2.96 | 3.94 | 5.05 |
| 0.4 | 19.68 | 26.16 | 33.94 | 14.33 | 18.95 | 24.36 | 11.16 | 14.80 | 19.09 |
| 0.6 | 43.23 | 57.22 | 73.80 | 31.24 | 41.32 | 53.03 | 23.65 | 31.06 | 44.13 |
| 0.8 | 75.25 | 98.86 | 127.45 | 54.43 | 72.08 | 92.93 | 43.17 | 56.23 | 72.61 |
| 1.0 | 116.41 | 152.97 | 196.73 | 84.28 | 111.13 | 142.88 | 66.67 | 87.44 | 112.18 |
| Velocity of Flow (m/s) | The Force Exerted on a UHMWPE Alloy Net with a Diamond-Shaped Mesh (N) | ||||||||
| v | FD1 | FD2 | FD3 | FD4 | FD5 | FD6 | FD7 | FD8 | FD9 |
| 0.2 | 4.64 | 6.24 | 8.04 | 3.42 | 4.54 | 5.89 | 2.73 | 3.60 | 4.61 |
| 0.4 | 18.45 | 24.03 | 30.84 | 13.39 | 17.40 | 22.29 | 10.50 | 13.72 | 17.53 |
| 0.6 | 41.35 | 53.31 | 67.50 | 29.92 | 38.70 | 48.87 | 23.69 | 30.71 | 37.86 |
| 0.8 | 73.48 | 94.37 | 119.01 | 52.98 | 68.35 | 86.08 | 43.50 | 56.20 | 68.36 |
| 1.0 | 114.91 | 147.20 | 185.11 | 83.06 | 106.47 | 134.14 | 68.27 | 93.09 | 112.54 |
| Net Parameters | Net Type | Simulation Results | Net Parameters | Net Type | Simulation Results | ||
|---|---|---|---|---|---|---|---|
| Material Density (kg/m3) | Elastic Modulus (GPa) | No. | Current Force on the Net (N) | Material Density (kg/m3) | Elastic Modulus (GPa) | No. | Current Force on the Net (N) |
| 10,000 | 250 | E11 | 83.30 | 3000 | 250 | E41 | 74.48 |
| 100 | E12 | 81.37 | 100 | E42 | 71.49 | ||
| 50 | E13 | 79.35 | 50 | E43 | 70.00 | ||
| 7000 | 250 | E21 | 81.19 | 2000 | 10 | E51 | 62.00 |
| 100 | E22 | 78.34 | 2 | E52 | 58.46 | ||
| 50 | E23 | 76.73 | 0.5 | E53 | 55.13 | ||
| 5000 | 250 | E31 | 77.69 | 500 | 10 | E61 | 54.00 |
| 100 | E32 | 75.06 | 2 | E62 | 53.00 | ||
| 50 | E33 | 74.02 | 0.5 | E63 | 52.87 | ||
Disclaimer/Publisher’s Note: The statements, opinions and data contained in all publications are solely those of the individual author(s) and contributor(s) and not of MDPI and/or the editor(s). MDPI and/or the editor(s) disclaim responsibility for any injury to people or property resulting from any ideas, methods, instructions or products referred to in the content. |
© 2025 by the authors. Licensee MDPI, Basel, Switzerland. This article is an open access article distributed under the terms and conditions of the Creative Commons Attribution (CC BY) license (https://creativecommons.org/licenses/by/4.0/).
Share and Cite
Wang, Z.; He, W.; Li, W.; Chen, H.; Zhang, F.; Qin, H. Offshore Submerged Aquaculture Flow-Net Interaction Simulation: A Numerical Approach for the Hydrodynamic Characteristics of Nets Produced from Different Materials. J. Mar. Sci. Eng. 2025, 13, 234. https://doi.org/10.3390/jmse13020234
Wang Z, He W, Li W, Chen H, Zhang F, Qin H. Offshore Submerged Aquaculture Flow-Net Interaction Simulation: A Numerical Approach for the Hydrodynamic Characteristics of Nets Produced from Different Materials. Journal of Marine Science and Engineering. 2025; 13(2):234. https://doi.org/10.3390/jmse13020234
Chicago/Turabian StyleWang, Zhiyuan, Wei He, Weiqiang Li, Hongxing Chen, Feng Zhang, and Hongling Qin. 2025. "Offshore Submerged Aquaculture Flow-Net Interaction Simulation: A Numerical Approach for the Hydrodynamic Characteristics of Nets Produced from Different Materials" Journal of Marine Science and Engineering 13, no. 2: 234. https://doi.org/10.3390/jmse13020234
APA StyleWang, Z., He, W., Li, W., Chen, H., Zhang, F., & Qin, H. (2025). Offshore Submerged Aquaculture Flow-Net Interaction Simulation: A Numerical Approach for the Hydrodynamic Characteristics of Nets Produced from Different Materials. Journal of Marine Science and Engineering, 13(2), 234. https://doi.org/10.3390/jmse13020234

