You are currently viewing a new version of our website. To view the old version click .
Journal of Marine Science and Engineering
  • Article
  • Open Access

26 January 2025

Offshore Submerged Aquaculture Flow-Net Interaction Simulation: A Numerical Approach for the Hydrodynamic Characteristics of Nets Produced from Different Materials

,
,
,
,
and
1
Fuzhou Institute of Oceanography, Minjiang University, Fuzhou 350121, China
2
Fujian Engineering Research Center of Safety Control for Ship Intelligent Navigation, College of Physics & Electronic Information Engineering, Minjiang University, Fuzhou 350121, China
3
School of Mechanical Engineering and Automation, Fuzhou University, Fuzhou 350116, China
*
Authors to whom correspondence should be addressed.
This article belongs to the Section Ocean Engineering

Abstract

The mechanical and hydrodynamic characteristics of single-piece nets are key to the design and optimization of offshore aquaculture net cages. A numerical approach for offshore submerged aquaculture net materials based on the Morison equations and finite element is proposed, simulating the hydrodynamic characteristics of single-piece nets under varying parameters such as wire diameter, mesh size, and flow velocity, and simulating the impact of marine organism attachment on nets by modifying the drag coefficient. The simulation results of nets made from materials such as Copper–Zinc Alloy (Cu-Zn), Zinc–Aluminum Alloy (Zn-Al), Semi-Rigid Polyethylene Terephthalate (PET), and Ultra-High Molecular Weight Polyethylene (UHMWPE) are compared, which provides a theoretical basis for optimizing design parameters and selecting materials for nets based on force conditions and hydrodynamic characteristics. The simulation results indicate that the current force on the net is positively correlated with flow velocity; the maximum displacement of the net is also positively correlated with the flow rate. Compared to other materials, the Cu-Zn net is subjected to the greatest water flow force, while the UHMWPE net experiences the greatest displacement; the larger the diameter of the netting twine, the greater the current force on the net; the mesh size is inversely related to the current force on the net. With increasing drag coefficient, both the maximum displacement of the net and the current force experiences increase, and UHMWPE material nets are more sensitive to increases in the drag coefficient, which indicates a greater impact from the attachment of marine organisms. The density and elastic modulus of the netting material affect the rate of increase in force on the net. The research results can provide a basis for further research on material selection and design of deep-sea aquaculture nets.

1. Introduction

The study of hydrodynamic characteristics of nets made of different materials, in order to compare and analyze the performance of nets made of different materials in marine aquaculture, will provide a basis for the innovation of net materials in marine engineering. Net materials are an indispensable key part of marine aquaculture cages. They must withstand the erosion of seawater, attachment of microorganisms, and impacts from various marine organisms, while also ensuring sufficient permeability and durability to maintain the stability of the aquaculture environment and the healthy growth of aquaculture organisms [1,2]. With the continuous progress of science and technology and the rapid development of deep-sea aquaculture models, stricter standards were proposed for the performance of fishing materials. The research and application of new high-performance fiber rope net materials are important. Therefore, net materials have always been a hot topic in the field of marine aquaculture engineering.
Conventional net materials often use Polyethylene (PE) and Polyamide (PA), among which PE nets boast lower density, affordability, and superior resistance to chemical degradation; PA nets are highly durable and resistant to abrasion [3]. However, these net materials, when exposed to the natural environment for extended periods and subjected to intense ultraviolet radiation, gradually age and lose strength, failing to adequately meet the production needs of offshore aquaculture [4].
Ultra-High Molecular Weight Polyethylene (UHMWPE) is a gradually emerging high-performance material, widely used in the fishery sector due to its excellent comprehensive properties.
Wang et al. [5] conducted comparative tests between Dyneema nets (a type of UHMWPE fiber) and PE nets in the East China Sea, and the results proved the excellent performance of Dyneema nets. Herrmann et al. [6] conducted an experimental comparison between PE nets and Dyneema nets, showing that Dyneema nets performed better. Based on the Herrmann’s study, Sterling et al. [7] added High-Strength Polyethylene nets for comparison and found that Dyneema nets had superior hydrodynamic performance. Hu et al. [8] conducted numerical studies on the internal and external flow fields of UHMWPE net cages, analyzing their flow characteristics in practical applications, and providing theoretical support for the design of more efficient deep-sea fishing equipment. Compared to PE nets, UHMWPE nets with the same breaking strength have a mesh diameter reduced by 50% to 60%, and compared to PA nets, the reduction is 40% to 50%. It is evident that UHMWPE nets can effectively reduce underwater resistance and enhance the ability to withstand wind and waves. Currently, UHMWPE material nets are widely used in large deep-sea cages and other aquaculture equipment [9,10,11].
Semi-Rigid Polyethylene Terephthalate (PET) has a smooth surface, high crystallinity, excellent comprehensive properties, excellent physical and mechanical properties, and is cheaper than nylon [12,13]. Due to its high mechanical strength, excellent creep resistance, low water absorption, and wear resistance, PET material can be used to make high-performance fishing nets such as semi-rigid hexagonal nets. Currently, semi-rigid PET hexagonal nets are widely applied in aquaculture facilities such as gravity aquaculture fence, the “Sentinel” marine aquaculture platform, and the “Genghai No.1” marine aquaculture platform, achieving commendable results [14].
The metal alloy net has good wear resistance and strong corrosion resistance, making it a common material in fisheries. Compared to nylon materials, the service life of metal alloys is longer [15], and metal alloy materials have no negative impact on marine life and are more environmentally friendly [16].
Furthermore, the hydrodynamic characteristics of nets made from different materials are a hot research topic in offshore aquaculture equipment systems. The currently popular numerical simulation methods are finite element method and lumped mass method [17]. Patursson [18] used the theoretical framework of porous media to characterize the structural characteristics of net materials, and combined with experimental data from water tanks, quantitatively analyzed and calibrated the resistance parameters within the porous media model. Drach et al. [19] analyzed the stress situation of the connection part of metal diamond nets under static loading based on finite element and a contact algorithm. Tang et al. [20] studied the effect of fishing net mesh size on floating platforms and found that higher mesh sizes can provide better drag coefficients, higher bending stiffness, and higher fracture strength. The study of hydrodynamic characteristics of mesh clothing involves multiple aspects, including the resistance performance and motion changes in nets. The hydrodynamic characteristics of a net mainly focus on its resistance, lift, and motion changes under the action of water flow [21,22,23]. Liu [24] used ABAQUS to study the relationship between wave forces on Zinc–Aluminum Alloy net chains and wave period, wave height, mesh size, and netting twine diameter, providing reference for the selection and development of net cage materials. Xu et al. [25] proposed a unidirectional coupling method for the model, mesh, and flow field. Simplifying the mesh division of the model can improve computational efficiency, optimize mesh design, and enhance its performance in practical applications. Chen et al. [26] established a fluid structure coupling model between fluid and metal woven mesh clothing based on a CFD model using ABAQUS software and analyzed the stress characteristics of metal mesh clothing under the action of water flow. Therefore, introducing numerical simulation methods for the design optimization and material selection of deep-sea aquaculture net cages can significantly improve research efficiency. Suitable materials can be selected based on the stress characteristics under different flow velocity conditions to improve the stability and durability of the net cages.
In this paper, Copper–Zinc Alloy (Cu-Zn), Zinc–Aluminum Alloy (Zn-Al), PET, and UHMWPE are taken as the research objects. A numerical approach for offshore submerged aquaculture net materials is proposed. Based on the principle of finite element and the Morison equations, several net models of these materials are established through numerical simulation. And the influence of marine organism attachment on the net was simulated by changing drag coefficients. The force situation, hydrodynamic characteristics, resistance coefficient characteristics, and optimization of material parameters of these models are studied, providing a theoretical basis for further enriching the selection of mesh materials.
The subsequent organization of the paper is as follows: Section 2 introduces the numerical model for the submerged net and performs solution verification; Section 3 conducts a comparative analysis of the forces under different conditions for the four different materials through numerical simulations; Section 4 analyzes the impact of different net material properties on the performance of the net; and Section 5 provides a summary of this paper.

2. Numerical Model

The model is based on in-compressible viscous Newtonian fluids for low Reynolds number flows, with a netting model that is an elastic, non-knitted diamond mesh, and we have not taken into account the impact of environmental factors such as temperature changes and corrosion on the model.

2.1. Governing Equations

The model applies to the buoyancy, drag, and inertia forces, due to the fluid, to the immersed beam elements of the structure. And the model can be established by combining the potential flow theory with the Morison equations. In ABAQUS, a water tank model is established, and the flow velocity in the water tank is set to be uniformly distributed along the water tank direction. The hydrodynamic force acting on the net is calculated by the potential flow theory and then added to the net through the Morison equations, and the simulation results of the hydrodynamic characteristics of the nets are obtained through finite element analysis.
Since the model is submerged in water, its gravity and buoyancy formulas are as follows:
P z = ρ f g V ρ w g V = ρ f ρ w g π d 2 4 l
where Pz is the resultant force of gravity and buoyancy on the net model, N; ρf is the density of the material, kg/m3; ρw is the density of water, kg/m3; v is the flow velocity, m/s; g is the gravitational acceleration, m/s2; d is the diameter of the netting wire’s cross-section, m; l is the total length of the netting wire, m; and V is the volume of the netting, m3.
During the analysis of the model structure, the dynamic implicit analysis method in ABAQUS/Standard is employed. Its advantage lies in its ability to effectively solve smooth nonlinear problems and can accurately and reliably handle issues ranging from simple linear elasticity to complex multi-stage nonlinear analyses [27].
Gignoux [28] used Morison’s equation to describe the current forces acting on the net structure [29]. Since the characteristic length of the netting model is much smaller than the wavelength, it is reasonable for our model to use the Morison equation to calculate the fluid forces on the structure. According to the Morison model, the structure of the net is decomposed into separate netting twines, each of which has its hydrodynamic load calculated using the Morison equation, and these loads are then superimposed. The form of the Morison’s equation can be written as the combination of drag and inertia forces [30,31].
F = F D + F M
where F is the water flow force acting on the net structure per unit length, N; FD is the water flow drag per unit length, N; and FM is the inertial force per unit length, N.
Assuming that the displacement velocity and acceleration of the structure are ignored and the structure is in laminar flow, the equation [28] is given by the following:
F = 1 2 ρ w C D d Δ v f Δ v f + A ρ w π d 2 4 C M a
where CD is the drag coefficient, dimensionless; CM is the fluid inertia coefficient, dimensionless; vf is the velocity of the fluid, m/s; and a is the fluid acceleration, the value is 0 in the model and FM is ignored, m/s2.
The normal water flow resistance and the tangential water flow resistance are the component of the drag force due to the inclination of the object in the flow, and the equation is given by the following:
F n = 1 2 ρ w C n d Δ v fn Δ v fn F t = 1 2 ρ w C t π d Δ v ft Δ v ft
where Fn is the normal water flow resistance per unit length, N; Ft is the tangential water flow resistance per unit length, N; Cn is the tangential drag coefficient, dimensionless; Ct is the normal drag coefficient, dimensionless; vfn is the component of the velocity of the fluid particle relative to the rod within the normal plane of the rod, m/s; and vft is the component of the velocity of the fluid particle relative to the rod within the tangential plane of the rod, m/s.
vft and vfn from Equation (4) are as follows:
Δ v fn = Δ v Δ v t Δ v ft = Δ v · t
and ∆v from Equation (5) is as follows:
Δ v = v f α R v p
where vp is the velocity at any point where the fluid acts on the structure (zero when stationary), m/s; αR is the structural velocity factor, dimensionless; and t is the unit vector in the direction of the rod’s axis, dimensionless.
vf from Equation (6) is as follows:
v f = A c v c + A w v w
where Ac is the amplitude curve of water particle velocity variation over time under water flow conditions, dimensionless; vc is the steady flow velocity, m/s; Aw is the amplitude curve of water particle velocity variation over time under wave conditions, dimensionless; and vw is the wave particle velocity, m/s.
According to the regulations of the China Classification Society, when studying the hydrodynamic characteristics of circular members, the range of values for the drag coefficient CD is from 0.6 to 1.2, and for the inertia force coefficient, CM is from 1.3 to 2.0. When selecting specific values, the drag coefficient CD should not be less than 0.6, and the inertia force coefficient CM should not be less than 1.3. When the Reynolds number is greater than 106, the drag coefficient CD = 0.62 and the inertia force coefficient CM = 1.8 can be selected in accordance with the regulations of ABS for hydrodynamic coefficients [32]. The recommended values from the Chinese Port and Waterway Engineering Specifications are the drag coefficient CD as 1.2 and the inertia force coefficient CM as 2.0 [33].

2.2. Solution Methodology

The model solution is carried out through the ABAQUS software based on the finite element method. Loads are added through the ABAQUS/aqua module, and the analysis process is completed by the ABAQUS/Standard solver. When analyzing the hydrodynamic characteristics of the net model, it is necessary to select the geometric nonlinearity option in the analysis step of the ABAQUS software and use its default convergence criteria. The size of the incremental step is determined based on the mesh division of the model to avoid errors where the analysis results cannot converge during the analysis process. The simulation process is shown in Figure 1.
Figure 1. The flow chart of the numerical simulation procedures.
The net is simulated using a beam element with two nodes, as shown in Figure 2. And its discretized motion equation is given by the following:
M u ¨ + C u ˙ + K u = Q
where M is the quality matrix of model node; C is the damping matrix of the model node; K is the stiffness matrix of the model node; Q is the model node load vector; u ¨ is the acceleration vector of the model node; u ˙ is the velocity vector of the model node; and u is the displacement vector of the model node.
M = e M e = e V e ρ N T N d V C = e C e = e V e η N T N d V K = e K e = e V e B T D B d V Q = e Q e = e V e N T f d V + S e N T T d S
where Me is the mass matrix of unit nodes; Ce is the damping matrix of unit nodes; Ke is the stiffness matrix of unit nodes; Qe is the load vector of unit node; N is the interpolation function matrix; B is the strain matrix; D is the elastic matrix; f is the node load matrix composed of unit volume forces; T is the node load matrix composed of surface forces on the unit; Ve is the unit volume; S is the unit area; ρ is the mass density; and η is the damping coefficient.
Figure 2. Schematic diagram of unit division of net model and flow direction.

2.3. Model Validation

The experimental research results of Liu et al. [26] are used to compare and verify our simulation results, in which the physical parameters in Table 1 were used.
Table 1. Physical parameters of model.
Figure 3 shows a comparison between the experimental and simulation values of the force experienced by the net at velocities of 0.2 m/s, 0.4 m/s, 0.6 m/s, 0.8 m/s, and 1.0 m/s. The simulation results and experimental results both show the same trend as the variation in flow velocity. The difference between the experimental and simulation values is within 1%, which allows for an accurate simulation of the force experienced by the net. Therefore, the model can be used to perform numerical simulations of the forces on different material nets.
Figure 3. Comparison of force on net for experimental value and simulation value.

3. Numerical Simulations

On the basis of the model, we analyze the mechanical characteristics of nets made from the four different materials (Cu-Zn alloy, Zn-Al alloy, PET, and UHMWPE) under various conditions such as flow velocity, mesh size, and wire diameter. This analysis will provide the decision-making basis for marine aquaculture net design.

3.1. Model Parameters

The model applies a water flow direction along the Y-axis, with a flow velocity range of 0.2 m/s to 1.0 m/s. The applied gravitational load is in the negative direction of the Z-axis, with a gravitational acceleration of 9.8 m/s2. The material parameters of the net are shown in Table 2. In the model, the elastic material was chosen to describe the four types of materials.
Table 2. Parameters of Cu-Zn alloy, Zn-Al alloy, PET, and UHMWPE.

3.2. Net Structure

The net model is simulated using two-node truss elements for the mesh wires. In three-dimensional space, each node has three degrees of freedom for displacement and forms a diamond shaped net structure, as shown in Figure 4.
Figure 4. The net model with different mesh sizes (25 mm, 35 mm, 45 mm).
It is essential to set the boundary conditions for the net model, restrict the relative displacement and relative rotation of the four edges of the net, and establish a reference point on each of the four edges.
Couple these reference points with the fixed nodes or surfaces on the upper edge of the net so that the forces on each edge of the mesh can be transmitted to these reference points. Consequently, these four reference points can be set in the history output request to output the reaction forces. In post-processing, the sum of the components of the four reference points along the direction of water flow is the total force.
The assembly situations of all mesh sizes and wire diameter combinations in the model are shown in Table 3. The column labels are different materials of the net, and the row labels are different sizes of the net (diamond mesh; mesh size x diameter), and the table contents are group numbers of different combinations.
Table 3. Grouping situation of each material.

3.3. Current Force Analysis of Nets

Table 4 shows the force performance of the numerical simulations for different material nets under different current velocities. The current force exerted on the net is directly proportional to the current velocity; as the current velocity increases, so does the current force experienced. The nets made of alloy materials are subjected to greater current force compared to those made of polymer materials. In the simulation results of nets made of alloy materials, the current force experienced by the Cu-Zn alloy net is slightly greater than that of the Zn-Al alloy. In the simulation results of nets made of polymer materials, when the mesh size is small, the current force experienced by the PET net is slightly greater than that of UHMWPE.
Table 4. Nets’ current forces of Cu-Zn alloy, Zn-Al alloy, PET, and UHMWPE materials.
To investigate the impact of different materials on the force experienced by the nets, an analysis was conducted using a net model with a mesh cell size of 25 mm and a wire diameter of 3.2 mm. The current force (FA2) experienced by the Cu-Zn alloy net is the greatest among all materials when the current velocity is 1.0 m/s, and it is approximately 23 times greater than that at the current velocity of 0.2 m/s. However, as the current velocity increases, the growth rate of the current force experienced by the Cu-Zn alloy is not the greatest. The current force experienced by the UHMWPE net at a flow rate of 1.0 m/s is 24 times greater than that of 0.2 m/s, and the growth rate is the highest among the four types. Figure 5 shows the percentage differences in the growth rate of the force exerted on the net as the flow velocity increases from 0.2 m/s to 1 m/s. And under a uniform flow field with a velocity of 1.0 m/s, the current force experienced by alloy nets is generally higher. The growth rate of the current force on UHMWPE nets is greater than that on alloy nets, while the growth rate of the current force on PET nets is the smallest.
Figure 5. The current force situation and deformation of the four types of material nets with a mesh size of 25 mm and wire diameter of 3.2 mm.
Figure 6 shows that the all current forces reach a stable state within approximately 1 s. With the increase in current velocity, the increment in current force on the nets of different materials also increases. For alloy nets, the increment exceeds 70 N, and for polymer nets, it exceeds 50 N. During the initial phase of the simulation analysis, the force on the net exhibits a brief period of oscillatory pulsation due to the fact that ABAQUS only supports transient rather than steady-state analysis, leading to such pulsation. As the simulation analysis progresses, the state of force transitions gradually from an unstable to a stable condition. A ramping time option in ABAQUS can simulate the gradual increase in the wave from zero, thus reducing the initial transient effects.
Figure 6. The current force situation of different materials. (a) Cu-Zn alloy; (b) Zn-Au alloy; (c) PET; (d) UHMWPE.

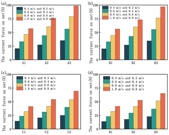
3.4. Effect of Netting Wire Diameter on Hydrodynamic Properties of Nets

To investigate the hydrodynamic characteristics of nets assembled from different materials with varying wire diameters, a net model with a mesh size of 25 mm as the research object is selected. And numerical simulation analyses are conducted for three different wire diameters at 2.5 mm, 3.2 mm, and 4.0 mm, respectively. Figure 7 shows that as the diameter of the netting wires made from the same material increases, the current force exerted on the net also increases. The increment trend of the current force experienced by nets made of four different materials as the current velocity increases is similar, with the maximum increment in current force occurring when the velocity is raised to 1.0 m/s. When the netting wire diameter is 4.0 mm made from the Cu-Zn alloy or Zn-Al alloy, the nets experience a greater increment in current force with the increase in current velocity compared to those with diameters of 2.5 mm and 3.2 mm.
Figure 7. Growth of forces on nets of different materials with different netting wires diameter. (a) A1, A2, A3; (b) B1, B2, B3; (c) C1, C2, C3; (d) D1, D2, D3.
To observe the deformation of the mesh under the action of water flow, a reference point is set at the center of the net. By setting the output of this reference point’s displacement in the history output, the maximum displacement of the unit on the net can be obtained. Figure 8 shows that the nets made of the Cu-Zn alloy and Zn-Al alloy have relatively small deformation, while the nets made of PET and UHMWPE exhibit larger deformations. As the diameter of the netting wire increases, the maximum displacement of deformation for the net also decreases. The Cu-Zn alloy net and Zn-Al alloy net are less affected, while the UHMWPE net is the most affected, with the displacement extreme value decreasing by 3.6 mm. This analysis reveals that different materials exhibit varying sensitivities to the netting wire diameter. When the diameter of the netting wire increases, the structural stability and impact resistance of UHMWPE nets slightly enhance, with a corresponding slight reduction in the extreme difference in displacement. In contrast, nets made of alloys already demonstrate a higher level of impact resistance at smaller wire diameters, with virtually no change in the extreme difference in displacement. The reason why alloys exhibit smaller deformation is related to their relatively high elastic modulus. High Young’s modulus means that the material produces smaller deformation under the same force, which is consistent with the relatively smaller deformation observed in the Cu-Zn alloy mesh in Figure 8.
Figure 8. Displacements of nets with different current velocities. (a) Cu-Zn alloy; (b) Zn-Al alloy; (c) PET; (d) UHMWPE.

3.5. Effect of Mesh Size on Hydrodynamic Properties of Nets

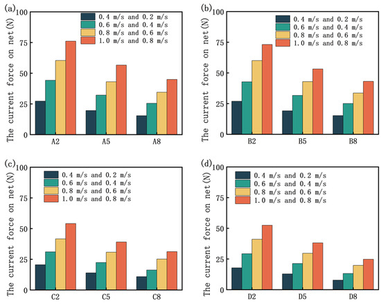
Mesh size, as one of the key parameters in the design of the net, directly affects the current force when water passes through the net and affects the structural stability of the net. A smaller mesh size can provide greater structural rigidity and a more uniform distribution of impact forces, thereby enhancing the integrity and deformation resistance of the net. In marine aquaculture, the mesh size needs to be small enough to prevent fish from escaping, yet large enough to reduce water flow resistance and maintenance costs. Therefore, a reasonable mesh size in the net design process can contribute to the performance of the net.
The impact of mesh size on the force experienced by nets of different materials is studied using a net model with a wire diameter of 3.2 mm. Figure 9 shows that as the mesh size increases, the current force acting on the net decreases. The smaller the mesh size, the greater the number of wires per unit volume, thereby increasing the contact area between the flow and the net, which in turn increases the resistance. In addition, small mesh sizes can also easily lead to a decrease in current velocity, resulting in greater resistance when the current velocity remains constant in a uniform flow field. It is observable that the UHMWPE net and the PET net with smaller dimensions experience less force, making them more suitable for small mesh-sized designs compared to alloy materials.
Figure 9. Growth of forces on nets of different materials with different mesh sizes. (a) A2, A5, A8; (b) B2, B5, B8; (c) C2, C5, C8; (d) D2, D5, D8.
To investigate the impact of force on nets assembled from different materials, a simulation analysis on nets of various mesh sizes is conducted, with the net model having a wire diameter of 3.2 mm as a constant quantity.
Figure 10 shows that when the mesh size is increased from 25 mm to 35 mm, the current force is generally reduced by about 27%. When the mesh size is further increased from 35 mm to 45 mm, the reduction in force for the four materials is relatively lower, with most showing only a reduction of about 20%, while the reduction for the UHMWPE net is less compared to the other materials, with only a 12.6% decrease. Thus, a mesh size of approximately 35 mm is a more reasonable design choice, and the design of larger mesh sizes for the UHMWPE net requires prudent decision-making.
Figure 10. Reduction rate of forces by four materials as mesh size increases (∆F25 comparing A2, B2, C2, D2 with A5, B5, C5, D5; ∆F58: comparing A5, B5, C5, D5 with A8, B8, C8, D8).

3.6. Effect of Drag Coefficient on Hydrodynamic Properties of Nets

Submerged cage nets in the sea faces various complex situations over the long term, especially the issue of marine organism attachment. Marine organisms such as barnacles gradually attach themselves to the surfaces of submerged cage net wires, and as time goes on, they continue to accumulate and thicken. This causes the surface area of the netting wires to increase progressively, which has a significant impact on their performance, leading to a substantial increase in the overall current force experienced by the net.
The drag coefficient is used to characterize different degrees of marine organism fouling, with higher fouling degrees corresponding to larger set drag coefficients. By assigning varying drag coefficients CD to the net structure, the influence of microbial fouling on the net is simulated. Figure 11 shows that the drag coefficient has a relatively small impact on the deformation of Cu-Zn alloy and Zn-Au alloy nets, and a greater impact on the deformation of PET and UHMWPE nets, particularly on the deformation of the UHMWPE net. Figure 12 shows that as the drag coefficient increases, the rate of change in the water flow force experienced by different materials varies. When the drag coefficient is increased from 0.2 to 0.4, the increase in the growth rate of the force experienced by the nets is the most significant. Among the four materials, the UHMWPE net exhibits a slightly larger increase in force growth rate as the drag coefficient increases, and is more sensitive to the enhancement of the drag coefficient.
Figure 11. The effect of drag coefficient on the maximum displacement of the net.
Figure 12. The influence of the drag coefficient on the rate of force increase in the net.

4. Analysis of Impact of Net Material Properties

To optimize the material properties of the net, the impact of various parameters on the overall mechanical properties of the net material was investigated by adjusting these parameters. The grouping of different material parameters is shown in Table 5. Taking the net model with a mesh size of 25 mm and a wire diameter of 3.2 mm as an example, the force experienced by the net of each parameter was studied under a uniform flow field with a flow velocity of 0.6 m/s.
Table 5. Grouping of materials with different parameters and current force situation.
Table 4 shows that the extreme value of the current force on the net is directly proportional to both the density and the elastic modulus of the net material. As the density and elastic modulus increase, the current force experienced by the net also increases.
Figure 13 shows that when the material density is 2000 kg/m3, the change in elastic modulus has a weak effect on the growth rate of the force on the net, and increasing the elastic modulus only increases the current force on the net by 0.03%. When the material density is 3000 kg/m3, the growth rate of the current force is the highest, at 4.18%. When the material density is 5000 kg/m3, the change in elastic modulus has the greatest impact on the growth rate of the net current force, and increasing the elastic modulus increases the growth rate of the net current force by 2.09%. And when the material density is 10,000 kg/m3, the increase in elastic modulus actually reduces the growth rate of the current force on the net; as the elastic modulus increases, the growth rate of the current force on the net is paradoxically decreased by 0.18%. This indicates that at high densities, the increase in elastic modulus leads to a reduction in the amount of force increment experienced by the net.
Figure 13. The percentage increase in force on each net and the current force curve.
Figure 14 shows that as the density of the net increases, the increment of the current force on the net is gradually decreasing. When the density reaches 10,000 kg/m3, the increase in elastic modulus will decrease the increment of the current force on the net.
Figure 14. Growth amount of current force on each net.

5. Conclusions

An analytical approach for the hydrodynamic characteristics of nets produced from various materials is proposed. A diamond-shaped net with a size of 80 cm × 80 cm is simulated as the structural basis, with the diameters of the netting wires selected as 2.5 mm, 3.2 mm, and 4.0 mm, respectively. Nets with different diameters are assembled in order with mesh sizes of 25 mm, 35 mm, and 45 mm, establishing 36 numerical models by calculating the force conditions of the models under current velocities of 0.2 m/s to 1.0 m/s. The research conclusions of the numerical analysis of the net materials are as follows:
(1)
The value of the current force acting on the net is directly proportional to the flow velocity. The nets made of alloys experience greater current forces compared to nets made of polymer materials. The Cu-Zn alloy net of type 25 mm × 3.2 mm (mesh size × diameter) experiences the greatest current force among the four materials when the flow velocity is 1.0 m/s. The PET net of the same type experiences a current force at a flow velocity of 1.0 m/s that is 27 times that of 0.2 m/s, which is the highest among the four types of material nets. Under the condition of a uniform flow field with a flow velocity of 1.0 m/s, the alloy nets generally experience a larger current force, and the growth rate of the current force on the nets made of PET or UHMWPE is greater than those of the alloy nets.
(2)
The increment trend of current force experienced by the nets of the four materials increases with the same pattern, with the maximum increment in current force occurring when the flow velocity is raised to 1.0 m/s. The alloy net, when the wire diameter is 4.0 mm, experiences a greater increment in current force with the increase in flow velocity compared to the nets with wire diameters of 2.5 mm and 3.2 mm. The current force on the net is negatively correlated with the mesh size. When the mesh size is further increased from 35 mm to 45 mm, the reduction for the UHMWPE net is less compared to the other materials, with only a 12.6% decrease. The drag coefficient has a minimal impact on the deformation of alloy nets, but it has a more noticeable effect on the deformation of UHMWPE nets. When the drag coefficient is increased from 0.2 to 0.4, the enhancement in the force growth rate is the most significant.
(3)
When the material density is 3000 kg/m3, the growth rate of the current force is the highest, at 4.18%. When the material density is 5000 kg/m3, the change in elastic modulus has the greatest impact on the growth rate of the net current force, and increasing the elastic modulus increases the growth rate of the net current force by 2.09%. And when the material density is 10,000 kg/m3, the increase in elastic modulus actually reduces the growth rate of the current force on the net; as the elastic modulus increases, the growth rate of the current force on the net is paradoxically decreased by 0.18%.
In this study, a numerical approach for analyzing the hydrodynamic characteristics of nets with various materials is proposed. And a foundation for the selection and design of nets for marine aquaculture applications is provided by comparative analysis of the four different net materials. As traditional fishing production models evolve, scientific, and technological advancements continue, and the development of offshore aquaculture models accelerates, the industry demands more stringent performance standards for fishery materials. Consequently, investigating the hydrodynamic characteristics of high-performance new materials is of paramount importance for the advancement of sustainable aquaculture practices and the innovation of more efficient and environmentally friendly net designs. The impact of the marine environment on nets, such as biological fouling, corrosion, and fatigue, can be further considered to conduct hydrodynamic analyses, which can then be used to study the prediction of the nets’ service lives.

Author Contributions

Conceptualization, Z.W.; methodology, Z.W. and W.L.; software, W.L.; validation, Z.W. and W.L.; formal analysis, Z.W. and W.L.; resources, Z.W. and W.H.; data curation, W.H.; writing—original draft preparation, W.L.; writing—review and editing, Z.W., H.Q. and F.Z.; visualization, H.C.; project administration, W.H.; funding acquisition, W.H., Z.W. and F.Z. All authors have read and agreed to the published version of the manuscript.

Funding

This research was funded by the National Natural Science Foundation of China (No. 52172327); the Fujian Science and Technology Major Special Project (No. 2022NZ033023); the Science and Technology Key Project of Fuzhou (Nos. 2022-ZD-021, 2024-ZD-019); the Fuzhou Marine Research Institute’s ‘Top Talents Selection’ Project (No. 2024F04); Fujian Province University-Industry Cooperation Projects (No. 2024H6019); the Fujian Province Natural Science Foundation (Nos. 2022J05236, 2022J01112); the Scientific Research Foundation for the Ph.D., Minjiang University (Nos. MJY19032; MJY23013); the Fujian Province Public Welfare Research Institute Special Project (No. 2024R013008).

Institutional Review Board Statement

Not applicable.

Data Availability Statement

Data are contained within the article.

Conflicts of Interest

The authors declare no conflicts of interest.

References

  1. Zheng, Z.Q.; Wan, R.; Chang, Z.Y.; Chi, M.T. The dynamic characteristic of aquaculture net cage considering flexible twine damaged. IOP Conf. Ser. Mater. Sci. Eng. 2019, 658, 12018. [Google Scholar] [CrossRef]
  2. Liu, H.Y.; Wang, S.M.; Yuan, T.P.; Huang, X.H. Study on the Material Mechanical Properties of Aquaculture Net Cage. IOP Conf. Ser. Mater. Sci. Eng. 2020, 774, 12028. [Google Scholar] [CrossRef]
  3. Sala, A.; Lucchetti, A.; Buglioni, G. The change in physical properties of some nylon (PA) netting samples before and after use. Fish. Res. 2004, 69, 181–188. [Google Scholar] [CrossRef]
  4. Kalantzi, I.; Zeri, C.; Catsiki, V.; Tsangaris, C.; Strogyloudi, E.; Kaberi, H.; Vergopoulos, N.; Tsapakis, M. Assessment of the use of copper alloy aquaculture nets: Potential impacts on the marine environment and on the farmed fish. Aquaculture 2016, 465, 209–222. [Google Scholar] [CrossRef]
  5. Wang, M.Y.; Li, W.H. Application of dyneema on trawlingin the east china sea. Hi-Tech Fiber Appl. 2000, 4, 33–37. [Google Scholar]
  6. Herrmann, B.; Wienbeck, H.; Stepputtis, D.; Krag, L.A.; Feekings, J.; Moderhak, W. Size selection in codends made of thin-twined Dyneema netting compared to standard codends: A case study with cod, plaice and flounder. Fish. Res. 2015, 167, 82–91. [Google Scholar] [CrossRef]
  7. Sterling, D.; Balash, C. Engineering and catching performance of five netting materials in commercial prawn-trawl systems. Fish. Res. 2017, 193, 223–231. [Google Scholar] [CrossRef]
  8. Hu, Y.Y.; Zhao, H.S.; Shi, W.; Bi, C.W.; Li, X. Numerical Study on Internal and External Flow Fields of the UHMWPE Cage. J. Mar. Sci. Eng. 2023, 11, 1881. [Google Scholar] [CrossRef]
  9. Zhang, B.; Nian, X.Z.; Jin, F.N.; Xia, Z.C.; Fan, H.L. Failure analyses of flexible Ultra-High Molecular Weight Polyethylene (UHMWPE) fiber reinforced anti-blast wall under explosion. Compos. Struct. 2018, 184, 759–774. [Google Scholar] [CrossRef]
  10. Zhao, H.S.; Hu, Y.Y.; Bi, C.W.; Li, X. Numerical study on hydrodynamic behaviors of and flow field around UHMWPE plane nets. Aquac. Eng. 2024, 106, 102397. [Google Scholar] [CrossRef]
  11. Pundhir, N.; Pathak, H.; Zafar, S. Ballistic impact performance of ultra-high molecular weight polyethylene (UHMWPE) composite armour. Sādhanā 2021, 46, 194. [Google Scholar] [CrossRef]
  12. Thomsen, T.B.; Almdal, K.; Meyer, A.S. Significance of poly(ethylene terephthalate) (PET) substrate crystallinity on enzymatic degradation. New Biotechnol. 2023, 78, 162–172. [Google Scholar] [CrossRef] [PubMed]
  13. Rashwan, O.; Koroneos, Z.; Townsend, T.G.; Caputo, M.P.; Bylone, R.J.; Wodrig, B.; Cantor, K. Extrusion and characterization of recycled polyethylene terephthalate (rPET) filaments compounded with chain extender and impact modifiers for material-extrusion additive manufacturing. Sci. Rep. 2023, 13, 16041. [Google Scholar] [CrossRef] [PubMed]
  14. Shi, J.G.; Yu, W.W.; Lu, B.C.; Cheng, S.Q. Development status and prospect of Chinese deep-sea cage. J. Fish. China 2021, 45, 992–1005. [Google Scholar]
  15. Ayer, N.; Martin, S.; Dwyer, R.L.; Gace, L.; Laurin, L. Environmental performance of copper-alloy Net-pens: Life cycle assessment of Atlantic salmon grow-out in copper-alloy and nylon net-pens. Aquaculture 2016, 453, 93–103. [Google Scholar] [CrossRef]
  16. Yigit, M.; Celikkol, B.; Bulut, M.; Dwyer, R.; Decew, J.; Ozalp, B.; Yilmaz, S.; Kaya, H.; Kizilkaya, B.; Hisar, O.; et al. Monitoring of trace metals, biochemical composition and growth of Axillary seabream (Pagellus acarne Risso, 1827) in offshore Copper alloy net cage. Mediterr. Mar. Sci. 2016, 17, 396–403. [Google Scholar] [CrossRef][Green Version]
  17. Gui, F.K.; Zhu, H.J.; Feng, D.J. Research progress on hydrodynamic characteristics of marine aquaculture netting. Fish. Mod. 2019, 46, 9–14. [Google Scholar]
  18. Patursson, Ø.; Swift, M.R.; Tsukrov, I.; Simonsen, K.; Baldwin, K.; Fredriksson, D.W.; Celikkol, B. Development of a porous media model with application to flow through and around a net panel. Ocean Eng. 2010, 37, 314–324. [Google Scholar] [CrossRef]
  19. Drach, A.; Tsukrov, I.; DeCew, J.; Celikkol, B. Engineering procedures for design and analysis of submersible fish cages with copper netting for exposed marine environment. Aquac. Eng. Int. J. 2016, 70, 1–14. [Google Scholar] [CrossRef]
  20. Tang, H.J.; Huang, C.C.; Yang, R.Y. Numerical study of the influence of fishnet mesh size on a floating platform. J. Mar. Sci. Eng. 2020, 8, 343. [Google Scholar] [CrossRef]
  21. Wu, Q.; You, X.; Huang, L.; Bi, C.; He, S.; Yang, Y.; Wang, G. Hydrodynamic characteristics of rigid net panels for mariculture facilities as determined in flume-tank experiment. Appl. Ocean Res. 2024, 147, 103969. [Google Scholar] [CrossRef]
  22. Tang, H.; Hu, F.; Xu, L.; Dong, S.; Zhou, C.; Wang, X. Variations in hydrodynamic characteristics of netting panels with various twine materials, knot types, and weave patterns at small attack angles. Sci. Rep. 2019, 9, 1923. [Google Scholar] [CrossRef] [PubMed]
  23. Thierry, B.N.N.; Tang, H.; Achile, N.P.; Xu, L.; Zhou, C.; Hu, F. Experimental and numerical investigations of the hydrodynamic characteristics, twine deformation, and flow field around the netting structure composed of two types of twine materials for mid water trawls. J. Ocean Univ. China 2021, 20, 1215–1235. [Google Scholar] [CrossRef]
  24. Liu, H.F. Study on Hydrodynamic Characteristics of Metal Chain Net Under Waves Based on the Abaqus; Dalian Ocean University: Dalian, China, 2018. [Google Scholar]
  25. Xu, Z.M.; Lin, Z.L.; Xie, B. Research on uni-directional coupling method for flexible nets and flow field based on truss model and porous media model. Ocean Eng. 2022, 40, 51–61. [Google Scholar]
  26. Liu, H.F.; Chen, C.P.; Zheng, Y.N.; Liang, X.Y. Study of the numerical simulation of characteristics of different flow resistances on a metal chain–link net for aquaculture under currents. Fish. Mod. 2017, 44, 73–79. [Google Scholar]
  27. Esmail, J.F.; Mohamedmeki, M.Z.; Ajeel, A.E. Using the uniaxial tension test to satisfy the hyperelastic material simulation in ABAQUS. IOP Conf. Ser. Mater. Sci. Eng. 2020, 888, 12065. [Google Scholar] [CrossRef]
  28. Gignoux, H.; Thompson, L.D.; Messier, R.H. Computational Model of Aquaculture Fin-fish Net-pens. In Proceedings of the International Conference of University of Hawaii Sea Grant College Program, Maui, HI, USA, 23–25 April 1997; pp. 107–129. [Google Scholar]
  29. Morison, R.E.; Johnson, J.W.; Schaaf, S.A. The Force Exerted by Surface Waves on Piles. Pet. Trans. 1950, 189, 149–154. [Google Scholar] [CrossRef]
  30. Sarpkaya, T. Mechanics of Wave Forces on Offshore Structures; Van Nostrand Reinhold Company: New York, NY, USA, 1981. [Google Scholar]
  31. U.S. Army Corps of Engineers. Shore Protection Manual; Coastal Engineering Research Center, Department of the Army: Washington, DC, USA, 1984; 1 and 2.
  32. Li, L. Dynamic Responses of Floating Fish Cage System in Current and Waves. Master’s Thesis, Shanghai Jiaotong University, Shanghai, China, 2013. [Google Scholar]
  33. Ministry of Transport Navigation Engineering Survey and Design Institute. Handbook for Design of Sea Harbour; China Communications Press: Beijing, China, 1994.
Disclaimer/Publisher’s Note: The statements, opinions and data contained in all publications are solely those of the individual author(s) and contributor(s) and not of MDPI and/or the editor(s). MDPI and/or the editor(s) disclaim responsibility for any injury to people or property resulting from any ideas, methods, instructions or products referred to in the content.

Article Metrics

Citations

Article Access Statistics

Multiple requests from the same IP address are counted as one view.