Integrated Geophysical, Isotopic, and Hydrochemical Approach to Studying Freshwater–Saline Water Interaction in Coastal Wetland at Punta Rasa Nature Reserve, Argentina
Abstract
1. Introduction
2. Materials and Methods
2.1. Study Area
2.2. Geophysics Surveys
2.3. Hydrochemistry and Isotope (2H, 18O, and 222Rn) Measurements
3. Results
3.1. Geophysics Data
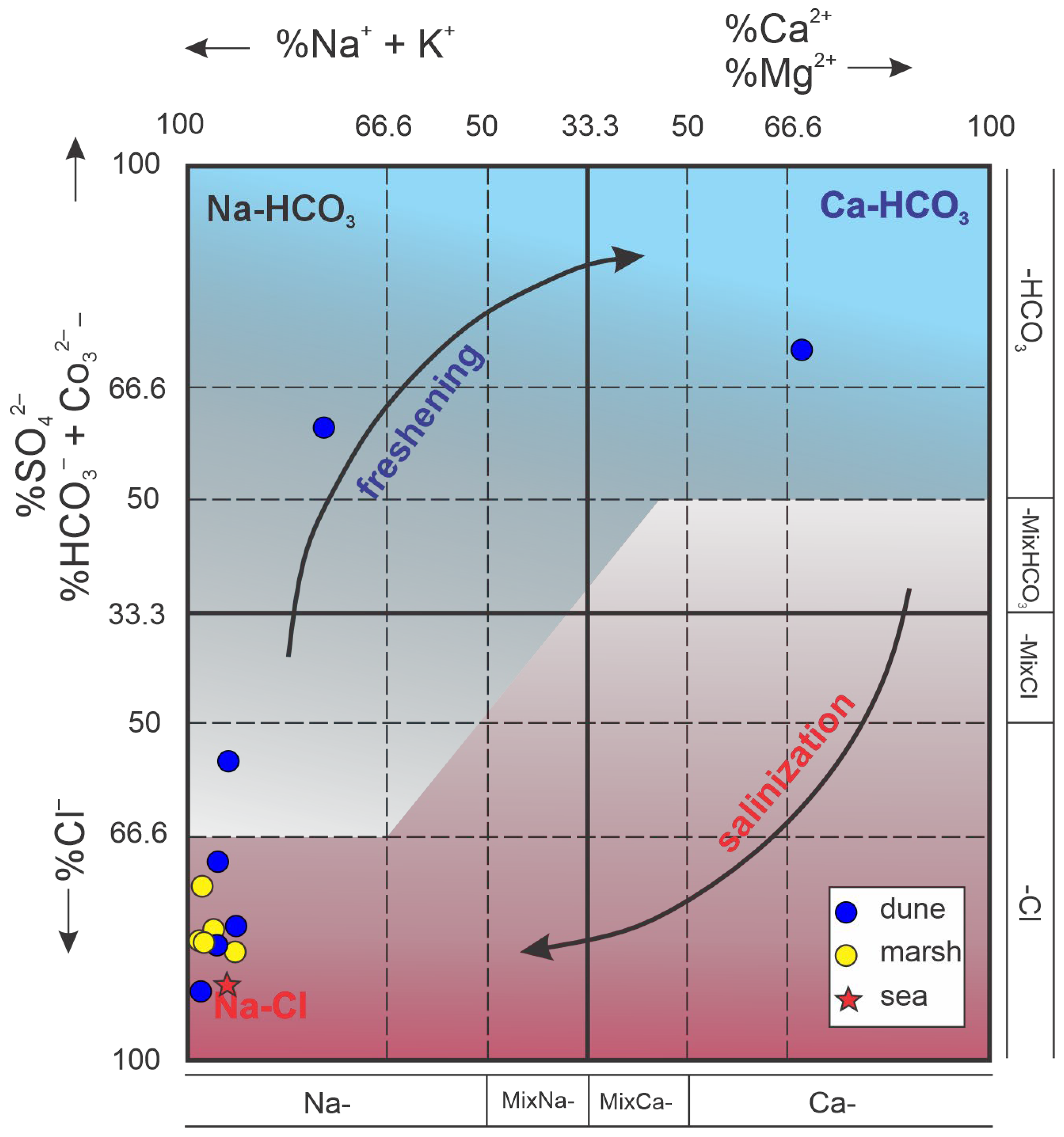
3.2. Hydrochemistry and Isotopes
4. Discussion
4.1. Location and Extent of the Freshwater–Saline Water Interface
4.2. Freshwater–Saline Water Interaction and Mixing Water Processes
4.3. Environmental Implications of Freshwater–Saline Water Interaction
5. Conclusions
Author Contributions
Funding
Data Availability Statement
Acknowledgments
Conflicts of Interest
Abbreviations
| EC | Electrical Conductivity |
| ETR | Electrical Resistivity Tomography |
| SW | Seawater |
References
- Costanza, R.; Arge, R.; de Groot, R.; Farber, S.; Grasso, M.; Hannon, B.; Limburg, K.; Naeem, S.; Oneill, R.V.; Paruelo, J.; et al. The value of the world’s ecosystem services and natural capital. Nature 1997, 387, 253–260. [Google Scholar] [CrossRef]
- Hemond, H.F.; Nuttle, W.K.; Burke, R.W.; Stolzenbach, K.D. Surface Infiltration in Salt Marshes: Theory, Measurement, and Bio-geochemical Implications. Water Resour. Res. 1984, 20, 591–600. [Google Scholar] [CrossRef]
- Nuttle, W.K.; Harvey, J.W. Fluxes of water and solute in a coastal wetland sediment. l. The contribution of regional groundwater discharge. J. Hydrol. 1995, 164, 89–107. [Google Scholar] [CrossRef]
- Wilson, A.M.; Shanahan, M.; Smith, E.M. Salt marshes as groundwater buffers for development: A survey of South Carolina salt marsh basins. Front. Water 2021, 3, 770819. [Google Scholar] [CrossRef]
- Carol, E.; Sanci, R.; Tanjal, C.; Acosta, R.; Galliari, J. Use of hydrochemical and isotopic signatures to trace hydrological connectivity in Northern Patagonian marshes. Sci. Total Environ. 2025, 996, 180193. [Google Scholar] [CrossRef]
- Carol, E.S.; Kruse, E.E.; Pousa, J.L.; Roig, A.R. Determination of heterogeneities in the hydraulic properties of a phreatic aquifer from tidal level fluctuations: A case in Argentina. Hydrogeol. J. 2009, 17, 1727–1732. [Google Scholar] [CrossRef]
- Xin, P.; Yuan, L.-R.; Li, L.; Barry, D.A. Tidally driven multiscale pore water flow in a creek-marsh system. Water Resour. Res. 2011, 47, W07534. [Google Scholar] [CrossRef]
- Alvarez, M.; Carol, E.; Dapeña, C. The role of evapotranspiration in the groundwater hydrochemistry of an arid coastal wetland (Península Valdés, Argentina). Sci. Total Environ. 2015, 506, 299–307. [Google Scholar] [CrossRef] [PubMed]
- Guimond, J.; Tamborski, J. Salt marsh hydrogeology: A review. Water 2021, 13, 543. [Google Scholar] [CrossRef]
- Thibodeau, P.M.; Gardner, L.R.; Reeves, H.W. The role of groundwater flow in controlling the 608 spatial distribution of soil salinity and rooted macrophytes in a southeastern salt marsh, USA. Mangroves 609 Salt Marshes 1998, 2, 1–13. [Google Scholar] [CrossRef]
- Gardner, L.R.; Reeves, H.W. Spatial patterns in soil water fluxes along a forest-marsh transect in the southeastern United States. Aquat. Sci. 2002, 64, 141–155. [Google Scholar] [CrossRef]
- Silvestri, S.; Defina, A.; Marani, M. Tidal regime, salinity and salt marsh plant zonation. Estuar. Coast. Shelf Sci. 2005, 62, 119–130. [Google Scholar] [CrossRef]
- Wilson, A.M.; Evans, T.B.; Moore, W.S.; Schutte, C.A.; Joye, S.B. What time scales are important for monitoring tidally influenced submarine groundwater discharge? Insights from a salt marsh. Water Resour. Res. 2015, 51, 4198–4207. [Google Scholar] [CrossRef]
- Wilson, A.M.; Moore, W.S.; Joye, S.B.; Anderson, J.L.; Schutte, C.A. Storm-driven groundwater flow in a salt marsh. Water Resour. Res. 2011, 47, 1–11. [Google Scholar] [CrossRef]
- Alvarez, M.; Carol, E.; Hernández, M.A.; Bouza, P.J. Groundwater dynamic, temperature and salinity response to the tide in Patagonian marshes: Observations on a coastal wetland in San José Gulf, Argentina. J. S. Am. Earth Sci. 2015, 62, 1–11. [Google Scholar] [CrossRef]
- Da Lio, C.; Carol, E.; Kruse, E.; Teatini, P.; Tosi, L. Saltwater contamination in the managed low-lying farmland of the Venice coast, Italy: An assessment of vulnerability. Sci. Total Environ. 2015, 533, 356–369. [Google Scholar] [CrossRef]
- Gilfedder, B.S.; Frei, S.; Hofmann, H.; Cartwright, I. Groundwater discharge to wetlands driven by storm and flood events. Quantification using continuous Radon-222 and electrical conductivity measurements and dynamic mass-balance modelling. Geochim. Cosmochim. Acta 2015, 165, 161–177. [Google Scholar] [CrossRef]
- Glaser, C.; Frei, S.; Massmann, G.; Gilfedder, B.S. Tidal creeks as hot-spots for hydrological exchange in a coastal landscape. J. Hydrol. 2021, 597, 126158. [Google Scholar] [CrossRef]
- Carter, E.S.; White, S.M.; Wilson, A.M. Variation in groundwater salinity in a tidal salt marsh basin, North Inlet Estuary, South Carolina. Estuar. Coast. Shelf Sci. 2008, 76, 543–552. [Google Scholar] [CrossRef]
- Goes, B.J.; Oude Essink, G.H.P.; Vernes, R.W.; Sergi, F. Estimating the depth of fresh and brackish groundwater in a predominantly saline region using geophysical and hydrological methods, Zeeland, the Netherlands. Near Surf. Geophys. 2009, 7, 401–412. [Google Scholar] [CrossRef]
- Wrobel, D.M. Characterizing Groundwater Flow Across the Barrier Island-High Marsh Interface. Master’s Thesis, Coastal Carolina University, Conway, SC, USA, 2024. [Google Scholar]
- López, L.; Oreiro, F.; Dragani, W.; Galliari, J.; Cellone, F.; Carol, E. Tidal connectivity modelling in wetlands associated with coastal lagoon of Punta Rasa natural reserve, Argentina. Estuar. Coast. Shelf Sci. 2024, 306, 108898. [Google Scholar] [CrossRef]
- Galliari, M.J.; Tanjal, C.; del Pilar Alvarez, M.; Carol, E. Hydrochemical dynamics of a wetland and costal lagoon associated to the outer limit of the Rio de la Plata estuary. Cont. Shelf Res. 2020, 200, 104109. [Google Scholar] [CrossRef]
- Pasquale Pérez, M.P.; Carol, E.; Santucci, L.; Idaszkin, Y.L. Nutrient dynamics in wetland systems associated with hydrological and anthropogenic variations in the south of Samborombón Bay, Argentina. Sci. Total Environ. 2024, 928, 172564. [Google Scholar] [CrossRef]
- Loke, M.H. Tutorial: 2-D and 3-D Electrical Imaging Surveys. 2004. Available online: www.geoelectrical.com (accessed on 13 October 2025).
- American Public Health Association. Standard Methods for the Examination of Water and Wastewater American Water Works Association, 20th ed.; Water Environment Federation: Washington, DC, USA, 1998. [Google Scholar]
- Giménez-Forcada, E. Dynamic of sea water interface using hydrochemical facies evolution diagram. Groundwater 2010, 48, 212–216. [Google Scholar] [CrossRef] [PubMed]
- Dapeña, C.; Panarello, H.O. Composición isotópica de la lluvia de Buenos Aires. Su importancia para el estudio de los sistemas hidrológicos pampeanos. Rev. Lat.-Am. Hidrogeol. 2004, 4, 17–25. [Google Scholar]
- 29. Durridge RAD-H2O. User Manual. Radon in Water; Durridge Company Inc.: Billerica, MA, USA, 2013; Available online: https://durridge.com/documentation/RAD_H2O_Manual.pdf (accessed on 20 October 2025).
- Cao, M.; Xin, P.; Jin, G.; Li, L. A field study on groundwater dynamics in a salt marsh–Chongming Dongtan wetland. Ecol. Eng. 2012, 40, 61–69. [Google Scholar] [CrossRef]
- Xiao, K.; Li, H.; Wilson, A.M.; Xia, Y.; Wan, L.; Zheng, C.; Ma, Q.; Wang, C.; Wang, X.; Jiang, X. Tidal groundwater flow and its ecological effects in a brackish marsh at the mouth of a large sub-tropical river. J. Hydrol. 2017, 555, 198–212. [Google Scholar] [CrossRef]
- Kelly, J.L.; Hladik, C.M. Shallow Hydrostratigraphy Beneath Marsh Platforms: Insights from Electrical Resistivity Tomography. Water 2025, 17, 144. [Google Scholar] [CrossRef]
- Boorman, L.A. The role of freshwater flows on salt marsh growth and development. In Coastal Wetlands, 2nd ed.; Elsevier: Amsterdam, The Netherlands, 2019; pp. 597–618. [Google Scholar] [CrossRef]
- Guimond, J.A.; Seyfferth, A.L.; Moffett, K.B.; Michael, H.A. A physical-biogeochemical mechanism for negative feedback between marsh crabs and carbon storage. Environ. Res. Lett. 2020, 15, 034024. [Google Scholar] [CrossRef]
- Baskaran, M. Radon in groundwater system. In Radon: A Tracer for Geological, Geophysical and Geochemical Studies; Springer International Publishing: Cham, Switzerland, 2016; pp. 167–188. [Google Scholar]
- Moffett, K.B.; Gorelick, S.M.; McLaren, R.G.; Sudicky, E.A. Salt marsh ecohydrological zonation due to heterogeneous vegetation–groundwater–surface water interactions. Water Resour. Res. 2012, 48. [Google Scholar] [CrossRef]
- Xin, P.; Kong, J.; Li, L.; Barry, D.A. Modelling of groundwater–vegetation interactions in a tidal marsh. Adv. Water Resour. 2013, 57, 52–68. [Google Scholar] [CrossRef]
- Xin, P.; Wilson, A.; Shen, C.; Ge, Z.; Moffett, K.B.; Santos, I.R.; Chen, X.; Xu, X.; Yau, Y.Y.Y.; Moore, W.; et al. Surface water and groundwater interactions in salt marshes and their impact on plant ecology and coastal biogeochemistry. Rev. Geophys. 2022, 60, e2021RG000740. [Google Scholar] [CrossRef]
- Kitheka, J.U. Coastal tidally-driven circulation and the role of water exchange in the linkage between tropical coastal ecosystems. Estuar. Coast. Shelf Sci. 1997, 45, 177–187. [Google Scholar] [CrossRef]
- Yando, E.S.; Osland, M.J.; Willis, J.M.; Day, R.H.; Krauss, K.W.; Hester, M.W. Salt marsh-mangrove ecotones: Using structural gradients to investigate the effects of woody plant encroachment on plant–soil interactions and ecosystem carbon pools. J. Ecol. 2016, 104, 1020–1031. [Google Scholar] [CrossRef]
- Naus, F.L.; Schot, P.; Groen, K.; Ahmed, K.M.; Griffioen, J. Groundwater salinity variation in Upazila Assasuni (southwestern Bangladesh), as steered by surface clay layer thickness, relative elevation and present-day land use. Hydrol. Earth Syst. Sci. 2019, 23, 1431–1451. [Google Scholar] [CrossRef]
- Zhang, G.; Bai, J.; Tebbe, C.C.; Zhao, Q.; Jia, J.; Wang, W.; Wang, X.; Yu, L. Salinity controls soil microbial community structure and function in coastal estuarine wetlands. Environ. Microbiol. 2021, 23, 1020–1037. [Google Scholar] [CrossRef] [PubMed]





Disclaimer/Publisher’s Note: The statements, opinions and data contained in all publications are solely those of the individual author(s) and contributor(s) and not of MDPI and/or the editor(s). MDPI and/or the editor(s) disclaim responsibility for any injury to people or property resulting from any ideas, methods, instructions or products referred to in the content. |
© 2025 by the authors. Licensee MDPI, Basel, Switzerland. This article is an open access article distributed under the terms and conditions of the Creative Commons Attribution (CC BY) license (https://creativecommons.org/licenses/by/4.0/).
Share and Cite
Carol, E.; Galliari, M.J.; Perdomo, S.; Sanci, R.; Acosta, R. Integrated Geophysical, Isotopic, and Hydrochemical Approach to Studying Freshwater–Saline Water Interaction in Coastal Wetland at Punta Rasa Nature Reserve, Argentina. J. Mar. Sci. Eng. 2025, 13, 2362. https://doi.org/10.3390/jmse13122362
Carol E, Galliari MJ, Perdomo S, Sanci R, Acosta R. Integrated Geophysical, Isotopic, and Hydrochemical Approach to Studying Freshwater–Saline Water Interaction in Coastal Wetland at Punta Rasa Nature Reserve, Argentina. Journal of Marine Science and Engineering. 2025; 13(12):2362. https://doi.org/10.3390/jmse13122362
Chicago/Turabian StyleCarol, Eleonora, María Julieta Galliari, Santiago Perdomo, Romina Sanci, and Rosario Acosta. 2025. "Integrated Geophysical, Isotopic, and Hydrochemical Approach to Studying Freshwater–Saline Water Interaction in Coastal Wetland at Punta Rasa Nature Reserve, Argentina" Journal of Marine Science and Engineering 13, no. 12: 2362. https://doi.org/10.3390/jmse13122362
APA StyleCarol, E., Galliari, M. J., Perdomo, S., Sanci, R., & Acosta, R. (2025). Integrated Geophysical, Isotopic, and Hydrochemical Approach to Studying Freshwater–Saline Water Interaction in Coastal Wetland at Punta Rasa Nature Reserve, Argentina. Journal of Marine Science and Engineering, 13(12), 2362. https://doi.org/10.3390/jmse13122362

