A 3D Lithospheric Thermal Model of the South China Sea Jointly Constrained by Heat Flow, Curie-Point Depth and S-Wave Velocity
Abstract
1. Introduction

2. Data and Methodology
2.1. Data Sources
2.1.1. Heat Flow and Curie-Point Depth
2.1.2. Vs Model
2.2. Methodology
2.2.1. Deriving Upper Mantle Temperature from Vs (50~250 km)
2.2.2. Constraining the Crust and Uppermost Mantle (0~50 km) Temperature Jointly by Heat Flow, Curie-Point Depth, and Vs
2.2.3. Determining the LAB
3. Results
3.1. Three-Dimensional Temperature Structure
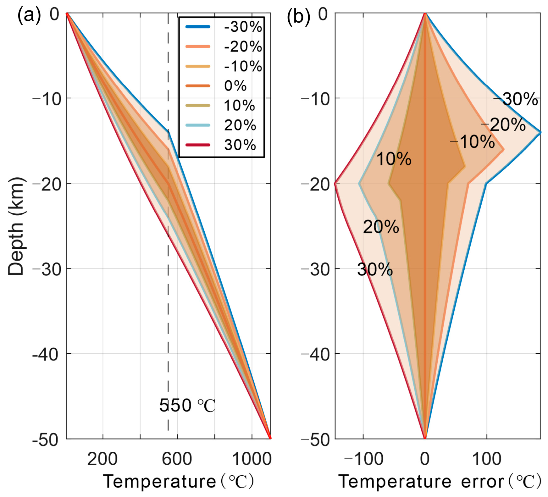
3.2. Uncertainty of the Thermal Model
4. Discussion
4.1. Moho Temperature and Future Moho Drilling in the SCS
4.2. Thermal State of the Lithosphere and Its Relation to Tectonic Features
4.2.1. Continental Margin
4.2.2. Oceanic Basin
5. Conclusions
Supplementary Materials
Author Contributions
Funding
Data Availability Statement
Acknowledgments
Conflicts of Interest
References
- Goes, S.; Govers, R.; Vacher, P. Shallow mantle temperatures under Europe from P and S wave tomography. J. Geophys. Res. Solid Earth 2000, 105, 11153–11169. [Google Scholar] [CrossRef]
- Artemieva, I.M. Global 1°×1° thermal model TC1 for the continental lithosphere: Implications for lithosphere secular evolution. Tectonophysics 2006, 416, 245–277. [Google Scholar] [CrossRef]
- Yu, C.; Shi, X.; Yang, X.; Zhao, J.; Chen, M.; Tang, Q. Deep thermal structure of Southeast Asia constrained by S-velocity data. Mar. Geophys. Res. 2017, 38, 341–355. [Google Scholar] [CrossRef]
- Niu, Y. Do we really need to drill through the intact ocean crust? Geosci. Front. 2025, 16, 101954. [Google Scholar] [CrossRef]
- Sun, Z.; Xu, Y.; Deng, Y. The Moho is in reach of ocean drilling with the Meng Xiang. Nat. Geosci. 2025, 18, 275–276. [Google Scholar] [CrossRef]
- Ildefonse, B.; Abe, N.; Blackman, D.K.; Canales, J.P.; Isozaki, Y.; Kodaira, S.; Myers, G.; Nakamura, K.; Nedimovic, M.; Skinner, A.C.; et al. The MoHole: A Crustal Journey and Mantle Quest, Workshop in Kanazawa, Japan, 3–5 June 2010. Sci. Dril. 2010, 10, 56–63. [Google Scholar] [CrossRef]
- Tanaka, A.; Ishikawa, Y. Temperature distribution and focal depth in the crust of the northeastern Japan. Earth Planets Space 2002, 54, 1109–1113. [Google Scholar] [CrossRef]
- Artemieva, I.M.; Mooney, W.D. Thermal thickness and evolution of Precambrian lithosphere: A global study. J. Geophys. Res. Solid Earth 2001, 106, 16387–16414. [Google Scholar] [CrossRef]
- Lucazeau, F. Analysis and Mapping of an Updated Terrestrial Heat Flow Data Set. Geochem. Geophys. Geosyst. 2019, 20, 4001–4024. [Google Scholar] [CrossRef]
- An, M.; Wiens, D.A.; Zhao, Y.; Feng, M.; Nyblade, A.A.; Kanao, M.; Li, Y.; Maggi, A.; Lévêque, J.-J. Temperature, lithosphere-asthenosphere boundary, and heat flux beneath the Antarctic Plate inferred from seismic velocities. J. Geophys. Res. Solid Earth 2015, 120, 359–383. [Google Scholar] [CrossRef]
- Li, C.-F. An integrated geodynamic model of the Nankai subduction zone and neighboring regions from geophysical inversion and modeling. J. Geodyn. 2011, 51, 64–80. [Google Scholar] [CrossRef]
- Afonso, J.C.; Fernàndez, M.; Ranalli, G.; Griffin, W.L.; Connolly, J.A.D. Integrated geophysical-petrological modeling of the lithosphere and sublithospheric upper mantle: Methodology and applications. Geochem. Geophys. Geosyst. 2008, 9, Q05008. [Google Scholar] [CrossRef]
- Artemieva, I.M. Lithosphere structure in Europe from thermal isostasy. Earth-Sci. Rev. 2019, 188, 454–468. [Google Scholar] [CrossRef]
- Wang, X.; Huang, H.; Xu, H.; Ren, Z.; Zhang, J.; Zhao, Z. The deep thermal structure of the lithosphere in the northwestern South China Sea and its control on the shallow tectonics. Sci. China Earth Sci. 2021, 64, 962–976. [Google Scholar] [CrossRef]
- Xia, B.; Artemieva, I.M.; Thybo, H.; Klemperer, S.L. Strong variability in the thermal structure of Tibetan Lithosphere. J. Geophys. Res. Solid Earth 2023, 128, e2022JB026213. [Google Scholar] [CrossRef]
- Huang, L.; Wen, Y.; Li, C.-F.; Peng, X.; Lu, Z.; Xu, L.; Yao, Y. A refined Moho depth model from a joint analysis of gravity and seismic data of the South China Sea basin and its tectonic implications. Phys. Earth Planet. Inter. 2023, 334, 106966. [Google Scholar] [CrossRef]
- Nolet, G.; Zielhuis, A. Low S velocities under the Tornquist-Teisseyre zone: Evidence for water injection into the transition zone by subduction. J. Geophys. Res. Solid Earth 1994, 99, 15813–15820. [Google Scholar] [CrossRef]
- Sobolev, S.V.; Zeyen, H.; Stoll, G.; Werling, F.; Altherr, R.; Fuchs, K. Upper mantle temperatures from teleseismic tomography of French Massif Central including effects of composition, mineral reactions, anharmonicity, anelasticity and partial melt. Earth Planet. Sci. Lett. 1996, 139, 147–163. [Google Scholar] [CrossRef]
- Ritzwoller, M.H.; Shapiro, N.M.; Zhong, S.-J. Cooling history of the Pacific lithosphere. Earth Planet. Sci. Lett. 2004, 226, 69–84. [Google Scholar] [CrossRef][Green Version]
- Hoggard, M.J.; Czarnota, K.; Richards, F.D.; Huston, D.L.; Jaques, A.L.; Ghelichkhan, S. Global distribution of sediment-hosted metals controlled by craton edge stability. Nat. Geosci. 2020, 13, 504–510. [Google Scholar] [CrossRef]
- Tang, Q.; Zheng, C. Crust and upper mantle structure and its tectonic implications in the South China Sea and adjacent regions. J. Asian Earth Sci. 2013, 62, 510–525. [Google Scholar] [CrossRef]
- Gao, G.; Lu, Q.; Wang, J.; Kang, G. Constraining crustal thickness and lithospheric thermal state beneath the northeastern Tibetan Plateau and adjacent regions from gravity, aeromagnetic, and heat flow data. J. Asian Earth Sci. 2021, 212, 104743. [Google Scholar] [CrossRef]
- Song, T.; Li, C.-F.; Wu, S.; Yao, Y.; Gao, J. Extensional styles of the conjugate rifted margins of the South China Sea. J. Asian Earth Sci. 2019, 177, 117–128. [Google Scholar] [CrossRef]
- Wen, Y.; Li, C.-F.; Wang, L.; Liu, Y.; Peng, X.; Yao, Z.; Yao, Y. The onset of seafloor spreading at the northeastern continent-ocean boundary of the South China Sea. Mar. Pet. Geol. 2021, 133, 105255. [Google Scholar] [CrossRef]
- Nirrengarten, M.; Mohn, G.; Kusznir, N.J.; Sapin, F.; Despinois, F.; Pubellier, M.; Chang, S.P.; Larsen, H.C.; Ringenbach, J.C. Extension modes and breakup processes of the southeast China-Northwest Palawan conjugate rifted margins. Mar. Pet. Geol. 2020, 113, 104123. [Google Scholar] [CrossRef]
- Wu, Z.; Wen, Z. Map Series of Marine Geology of China Seas; Science Press: Beijing, China, 2019. (In Chinese) [Google Scholar]
- Li, C.-F.; Li, J.; Ding, W.; Franke, D.; Yao, Y.; Shi, H.; Pang, X.; Cao, Y.; Lin, J.; Kulhanek, D.K.; et al. Seismic stratigraphy of the central South China Sea basin and implications for neotectonics. J. Geophys. Res. Solid Earth 2015, 120, 1377–1399. [Google Scholar] [CrossRef]
- Li, C.-F.; Xu, X.; Lin, J.; Sun, Z.; Zhu, J.; Yao, Y.; Zhao, X.; Liu, Q.; Kulhanek, D.K.; Wang, J.; et al. Ages and magnetic structures of the South China Sea constrained by deep tow magnetic surveys and IODP Expedition 349. Geochem. Geophys. Geosyst. 2014, 15, 4958–4983. [Google Scholar] [CrossRef]
- Peng, X.; Li, C.-F. Along-strike break-up variations of the continent–ocean transition zone in the northern South China Sea. J. Geol. Soc. 2024, 181, jgs2023-134. [Google Scholar] [CrossRef]
- Nissen, S.S.; Hayes, D.E.; Bochu, Y.; Zeng, W.; Chen, Y.; Nu, X. Gravity, heat flow, and seismic constraints on the processes of crustal extension: Northern margin of the South China Sea. J. Geophys. Res. Solid Earth 1995, 100, 22447–22483. [Google Scholar] [CrossRef]
- He, L.; Wang, K.; Xiong, L.; Wang, J. Heat flow and thermal history of the South China Sea. Phys. Earth Planet. Inter. 2001, 126, 211–220. [Google Scholar] [CrossRef]
- Shi, X.; Qiu, X.; Xia, K.; Zhou, D. Characteristics of surface heat flow in the South China Sea. J. Asian Earth Sci. 2003, 22, 265–277. [Google Scholar] [CrossRef]
- Xu, X.; Wang, X.; Peng, D.; Yao, Y.; Yao, B.; Wan, Z. Characteristics and Research of Heat Flow in the Northwest Sub-Basin and Its Adjacent Areas of the South China Sea. Earth Sci. 2018, 43, 3391–3398. (In Chinese) [Google Scholar]
- Xu, X.; Yao, Y.; Peng, D.; Yao, B. The characteristics and analysis of heat flow in the Southwest sub-basin of South China Sea. Chin. J. Geophys. 2018, 61, 2915–2925. (In Chinese) [Google Scholar]
- Shi, X.; Zhou, D.; Zhang, Y. Lithospheric thermal-rheological structures of the continental margin in the northern South China Sea. Chin. Sci. Bull. 2000, 45, 1660–1665. (In Chinese) [Google Scholar] [CrossRef]
- Tang, X.; Hu, S.; Zhang, G.; Yang, S.; Sheng, H.; Rao, S.; Li, W. Characteristic of surface heat flow in the Pearl River Mouth Basin and its relationship with thermal lithosphere thickness. Chin. J. Geophys. 2014, 557, 1857–1867. (In Chinese) [Google Scholar]
- Wang, X.; Wang, K.; Zhao, Z.; Xu, H.; Zhao, J.; Ren, Z.; Zhang, J. Three-dimensional thermal structure of the lithosphere and its relationship to surface structure in the South China Sea. Chin. J. Geophys. 2021, 64, 4105–4116. (In Chinese) [Google Scholar] [CrossRef]
- Zhu, W.; Liu, S. Heat flow and thermal structure of the South China Sea. Earth-Sci. Rev. 2025, 261, 105028. [Google Scholar] [CrossRef]
- Li, C.-F.; Shi, X.; Zhou, Z.; Li, J.; Geng, J.; Chen, B. Depths to the magnetic layer bottom in the South China Sea area and their tectonic implications. Geophys. J. Int. 2010, 182, 1229–1247. [Google Scholar] [CrossRef]
- Wu, Z.; Gao, J.Y.; Zhao, L.; Zhang, T.; Yang, C.; Wang, J. Characteristic of Magnetic Anomalies and Curie Point Depth at Northern Continental Margin of the South China Sea. Earth Sci. 2010, 35, 1060–1068. (In Chinese) [Google Scholar] [CrossRef]
- Ren, Z.; Shi, X.; Wang, X.; Zhao, P.; Shen, Y. Deep thermal state in the Nansha Trough of South China Sea and its tectonic implications. J. Trop. Oceanogr. 2021, 40, 98–109. (In Chinese) [Google Scholar] [CrossRef]
- Chen, H.; Li, Z.; Luo, Z.; Ojo, A.O.; Xie, J.; Bao, F.; Wang, L.; Tu, G. Crust and Upper Mantle Structure of the South China Sea and Adjacent Areas from the Joint Inversion of Ambient Noise and Earthquake Surface Wave Dispersions. Geochem. Geophys. Geosyst. 2021, 22, e2020GC009356. [Google Scholar] [CrossRef]
- Tao, K.; Grand, S.P.; Niu, F. Seismic Structure of the Upper Mantle Beneath Eastern Asia from Full Waveform Seismic Tomography. Geochem. Geophys. Geosyst. 2018, 19, 2732–2763. [Google Scholar] [CrossRef]
- Wehner, D.; Blom, N.; Rawlinson, N.; Daryono; Böhm, C.; Miller, M.S.; Supendi, P.; Widiyantoro, S. SASSY21: A 3-D Seismic Structural Model of the Lithosphere and Underlying Mantle Beneath Southeast Asia from Multi-Scale Adjoint Waveform Tomography. J. Geophys. Res. Solid Earth 2022, 127, e2021JB022930. [Google Scholar] [CrossRef]
- Meeßen, C.; Sippel, J.; Scheck-Wenderoth, M.; Heine, C.; Strecker, M.R. Crustal Structure of the Andean Foreland in Northern Argentina: Results from Data-Integrative Three-Dimensional Density Modeling. J. Geophys. Res. Solid Earth 2018, 123, 1875–1903. [Google Scholar] [CrossRef]
- Dong, M.; Zhang, J.; Wu, S.-G.; Wang, B.-Y.; Ai, Y.-F. Cooling of the lithosphere beneath the Nansha Block, South China Sea. J. Asian Earth Sci. 2019, 171, 169–177. [Google Scholar] [CrossRef]
- Global Heat Flow Data Assessment Group; Fuchs, S.; Neumann, F.; Norden, B.; Beardsmore, G.; Chiozzi, P.; Colgan, W.; Anguiano Dominguez, A.P.; Duque, M.R.A.; Ojeda Espinoza, O.M.; et al. The Global Heat Flow Database: Update 2023. V. 1. GFZ Data Serv. 2023. Available online: https://dataservices.gfz-potsdam.de/panmetaworks/showshort.php?id=38ab063c-9e6d-11ed-95b8-f851ad6d1e4b (accessed on 5 March 2024).
- Taylor, B.; Hayes, D.E. Origin and History of the South China Sea Basin. In The Tectonic and Geologic Evolution of Southeast Asian Seas and Islands: Part 2; Hayes, D.E., Ed.; Geophysical Monograph Series; American Geophysical Union: Washington, DC, USA, 1983; pp. 23–56. [Google Scholar]
- Rao, C.; Li, P. Study of Heat Flow in Pearl River Mouth Basin. China Offshore Oil Gas (Geol.) 1991, 5, 7–18. (In Chinese) [Google Scholar]
- Xiong, L.; Hu, S.; Wang, J. Terrestrial heat flow values in southeastern China. Chin. J. Geophys. 1993, 36, 784–790. (In Chinese) [Google Scholar]
- Shyu, C.-T.; Hsu, S.-K.; Liu, C.-S. Heat Flows off Southwest Taiwan: Measurements over Mud Diapirs and Estimated from Bottom Simulating Reflectors. Terr. Atmos. Ocean. Sci. 1998, 9, 795–812. [Google Scholar] [CrossRef]
- Mi, L.; Yuan, Y.; Zhang, G.; Hu, S.; He, L.; Yang, S. Characteristics and genesis of geothermal field in deep-water area of the northern South China Sea. Acta Petrolei Sinica 2009, 30, 27–32. (In Chinese) [Google Scholar]
- Li, Y.; Luo, X.; Xu, X.; Yang, X.; Shi, X. Seafloor in-situ heat flow measurements in the deep-water area of the northern slope, South China Sea. Chin. J. Geophys. 2010, 53, 2161–2170. (In Chinese) [Google Scholar]
- Shi, X.; Wang, Z.; Jiang, H.; Sun, Z.; Sun, Z.; Yang, J.; Yu, C.; Yang, X. Vertical variations of geothermal parameters in rifted basins and heat flow distribution features of the Qiongdongnan Basin. Chin. J. Geophys. 2015, 58, 939–953. (In Chinese) [Google Scholar]
- Shi, X.; Jiang, H.; Yang, J.; Yang, X.; Xu, H. Models of the rapid post-rift subsidence in the eastern Qiongdongnan Basin, South China Sea: Implications for the development of the deep thermal anomaly. Basin Res. 2017, 29, 340–362. [Google Scholar] [CrossRef]
- Li, C.F.; Lin, J.; Kulhanek, D.K.; Williams, T.; Bao, R.; Briais, A.; Brown, E.A.; Chen, Y.; Clift, P.D.; Colwell, F.S.; et al. Proceedings of the International Ocean Discovery Program, 349: South China Sea Tectonics; International Ocean Discovery Program: College Station, TX, USA, 2015. [Google Scholar]
- Sun, Z.; Jian, Z.; Stock, J.M.; Larsen, H.C.; Klaus, A.; Alvarez Zarikian, C.A.; Boaga, J.; Bowden, S.A.; Briais, A.; Chen, Y.; et al. South China Sea Rifted Margin. Proceedings of the International Ocean Discovery Program; International Ocean Discovery Program: College Station, TX, USA, 2018; Volume 367/368. [Google Scholar]
- Schaeffer, A.J.; Lebedev, S. Global shear speed structure of the upper mantle and transition zone. Geophys. J. Int. 2013, 194, 417–449. [Google Scholar] [CrossRef]
- An, M.; Shi, Y. Three-dimensional thermal structure of the Chinese continental crust and upper mantle. Sci. China Ser. D Earth Sci. 2007, 50, 1441–1451. [Google Scholar] [CrossRef]
- Shapiro, N.M.; Ritzwoller, M.H. Thermodynamic constraints on seismic inversions. Geophys. J. Int. 2004, 157, 1175–1188. [Google Scholar] [CrossRef]
- Kennett, B.L.N.; Engdahl, E.R.; Buland, R. Constraints on seismic velocities in the Earth from traveltimes. Geophys. J. Int. 1995, 122, 108–124. [Google Scholar] [CrossRef]
- Meeßen, C. cmeessen/VeloDT: VeloDT v1.2. Zenodo. 2020. Available online: https://zenodo.org/records/3895784 (accessed on 1 June 2023).
- Turcotte, D.; Schubert, J. Geodynamics, 2nd ed.; Cambridge University Press: Cambridge, UK, 2002. [Google Scholar]
- Li, C.-F.; Wang, J.; Lin, J.; Wang, T. Thermal evolution of the North Atlantic lithosphere: New constraints from magnetic anomaly inversion with a fractal magnetization model. Geochem. Geophys. Geosyst. 2013, 14, 5078–5105. [Google Scholar] [CrossRef]
- Lu, Y.; Li, C.-F.; Wang, J.; Wan, X. Arctic geothermal structures inferred from Curie-point depths and their geodynamic implications. Tectonophysics 2022, 822, 229158. [Google Scholar] [CrossRef]
- Zang, S.; Liu, Y.; Ning, J. Thermal structure of North China lithosphere. Chin. J. Geophys. 2002, 45, 56–66. (In Chinese) [Google Scholar]
- Whittington, A.G.; Hofmeister, A.M.; Nabelek, P.I. Temperature-dependent thermal diffusivity of the Earth’s crust and implications for magmatism. Nature 2009, 458, 319–321. [Google Scholar] [CrossRef]
- Jaupart, C.; Mareschal, J.C.; Guillou-Frottier, L.; Davaille, A. Heat flow and thickness of the lithosphere in the Canadian Shield. J. Geophys. Res. Solid Earth 1998, 103, 15269–15286. [Google Scholar] [CrossRef]
- Li, C.-F.; Wang, J.; Zhou, Z.; Geng, J.; Chen, B.; Yang, F.; Wu, J.; Yu, P.; Zhang, X.; Zhang, S. 3D geophysical characterization of the Sulu–Dabie orogen and its environs. Phys. Earth Planet. Inter. 2012, 192–193, 35–53. [Google Scholar] [CrossRef]
- Andrés, J.; Marzán, I.; Ayarza, P.; Martí, D.; Palomeras, I.; Torné, M.; Campbell, S.; Carbonell, R. Curie Point Depth of the Iberian Peninsula and Surrounding Margins. A Thermal and Tectonic Perspective of its Evolution. J. Geophys. Res. 2018, 123, 2049–2068. [Google Scholar] [CrossRef]
- Artemieva, I.M. The Lithosphere: An Interdisciplinary Approach; Cambridge University Press: Cambridge, UK, 2011. [Google Scholar]
- Richards, F.D.; Hoggard, M.J.; Cowton, L.R.; White, N.J. Reassessing the Thermal Structure of Oceanic Lithosphere with Revised Global Inventories of Basement Depths and Heat Flow Measurements. J. Geophys. Res. Solid Earth 2018, 123, 9136–9161. [Google Scholar] [CrossRef]
- Fullea, J.; Afonso, J.C.; Connolly, J.A.D.; Fernàndez, M.; García-Castellanos, D.; Zeyen, H. LitMod3D: An interactive 3-D software to model the thermal, compositional, density, seismological, and rheological structure of the lithosphere and sublithospheric upper mantle. Geochem. Geophys. Geosyst. 2009, 10, Q08019. [Google Scholar] [CrossRef]
- Afonso, J.C.; Ben-Mansour, W.; O’Reilly, S.Y.; Griffin, W.L.; Salajeghegh, F.; Foley, S.; Begg, G.; Selway, K.; Macdonald, A.; Januszczak, N.; et al. Thermochemical structure and evolution of cratonic lithosphere in central and southern Africa. Nat. Geosci. 2022, 15, 405–410. [Google Scholar] [CrossRef]
- Yang, X.; Li, Y.; Afonso, J.C.; Yang, Y.; Zhang, A. Thermochemical State of the Upper Mantle Beneath South China from Multi--Observable Probabilistic Inversion. J. Geophys. Res. Solid Earth 2021, 126, e2020JB021114. [Google Scholar] [CrossRef]
- Priestley, K.; McKenzie, D.; Ho, T. A Lithosphere–Asthenosphere Boundary—A Global Model Derived from Multimode Surface-Wave Tomography and Petrology. In Lithospheric Discontinuities; Yuan, H., Romanowicz, B., Eds.; Geophysical Monograph Series; American Geophysical Union: Washington, DC, USA, 2018; pp. 111–123. [Google Scholar]
- An, M.; Shi, Y. Lithospheric thickness of the Chinese continent. Phys. Earth Planet. Inter. 2006, 159, 257–266. [Google Scholar] [CrossRef]
- Artemieva, I.M.; Shulgin, A. Geodynamics of Anatolia: Lithosphere Thermal Structure and Thickness. Tectonics 2019, 38, 4465–4487. [Google Scholar] [CrossRef]
- Qin, X.; Zhang, B.; Zhao, B.; Lu, Y.; Chen, X.; Wang, L.; Xu, Z.; Zhang, R.; Geng, M.; Yang, Z.; et al. Distribution characteristics of Mohorovicic discontinuity in the South China Sea basin and suggestions for drilling preparation area. Acta Geol. Sin. 2022, 96, 2635–2646. (In Chinese) [Google Scholar] [CrossRef]
- Yu, J.; Yan, P.; Wang, Y.; Zhang, J.; Qiu, Y.; Pubellier, M.; Delescluse, M. Seismic Evidence for Tectonically Dominated Seafloor Spreading in the Southwest Sub-basin of the South China Sea. Geochem. Geophys. Geosyst. 2018, 19, 3459–3477. [Google Scholar] [CrossRef]
- Pichot, T.; Delescluse, M.; Chamot-Rooke, N.; Pubellier, M.; Qiu, Y.; Meresse, F.; Sun, G.; Savva, D.; Wong, K.P.; Watremez, L.; et al. Deep crustal structure of the conjugate margins of the SW South China Sea from wide-angle refraction seismic data. Mar. Pet. Geol. 2014, 58, 627–643. [Google Scholar] [CrossRef]
- Qiu, N.; Sun, Z.; Lin, J.; Li, C.-F.; Xu, X. Dating seafloor spreading of the southwest sub-basin in the South China Sea. Gondwana. Res. 2023, 120, 190–206. [Google Scholar] [CrossRef]
- Wu, Z.; Li, J.; Ruan, A.; Lou, H.; Ding, W.; Niu, X.; Li, X. Crustal structure of the northwestern sub-basin, South China Sea: Results from a wide-angle seismic experiment. Sci. China Earth Sci. 2011, 55, 159–172. [Google Scholar] [CrossRef]
- Chiu, M.-H. The P-Wave Velocity Modelling of the Transitional Crust in Northern South China Sea Continental Margin. Master’s Thesis, National Taiwan Ocean University, Keelung, Chinese Taiwan, 2010. [Google Scholar]
- Yu, J.; Yan, P.; Qiu, Y.; Delescluse, M.; Huang, W.; Wang, Y. Oceanic crustal structures and temporal variations of magmatic budget during seafloor spreading in the East Sub-basin of the South China Sea. Mar. Geol. 2021, 436, 106475. [Google Scholar] [CrossRef]
- Seton, M.; Müller, R.D.; Zahirovic, S.; Williams, S.; Wright, N.M.; Cannon, J.; Whittaker, J.M.; Matthews, K.J.; McGirr, R. A Global Data Set of Present-Day Oceanic Crustal Age and Seafloor Spreading Parameters. Geochem. Geophys. Geosyst. 2020, 21, e2020GC009214. [Google Scholar] [CrossRef]
- GEBCO Compilation Group, GEBCO 2020 Grid. 2020. Available online: https://www.bodc.ac.uk/data/published_data_library/catalogue/10.5285/a29c5465-b138-234d-e053-6c86abc040b9/ (accessed on 8 June 2020).
- Toyokuni, G.; Zhao, D.; Kurata, K. Whole-Mantle Tomography of Southeast Asia: New Insight Into Plumes and Slabs. J. Geophys. Res. Solid Earth 2022, 127, e2022JB024298. [Google Scholar] [CrossRef]
- Yao, B.; Wan, L. Variation of the lithospheric thickness in the South China Sea area and its tectonic significance. Geol. China 2010, 37, 888–899. (In Chinese) [Google Scholar] [CrossRef]
- Zheng, Q.L.; Li, S.Z.; Suo, Y.H.; Li, X.Y.; Guo, L.L.; Wang, P.C.; Zhang, Y.; Zang, Y.B.; Jiang, S.H.; Somerville, I.D. Structures around the Tinjar-West Baram Line in northern Kalimantan and seafloor spreading in the proto-South China Sea. Geol. J. 2016, 51, 513–523. [Google Scholar] [CrossRef]
- Zhu, C.; Tang, W.; Yin, Y.; Song, S.; He, K.; Tang, H. Characteristics and formation mechanism of regional faults system in southern South China Sea and continental margins. Glob. Geol. 2019, 38, 708–720. (In Chinese) [Google Scholar]
- Zhong, G.; Wang, L. Characteristics of Tingjia Fault and its relation to oil and gas. Geol. Res. South China Sea 1995, 7, 53–58. (In Chinese) [Google Scholar]
- Chen, M.; Fang, J.; Cui, R. Lithospheric structure of the South China Sea and adjacent regions: Results from potential field modelling. Tectonophysics 2018, 726, 62–72. [Google Scholar] [CrossRef]
- Parker, R.L.; Oldenburg, D.W. Thermal Model of Ocean Ridges. Nat. Phys. Sci. 1973, 242, 137–139. [Google Scholar] [CrossRef]
- Schubert, G.; Turcotte, D.L.; Olson, P. Mantle Convection in the Earth and Planets; Cambridge University Press: Cambridge, UK, 2001. [Google Scholar]
- Stein, C.A.; Stein, S. A model for the global variation in oceanic depth and heat flow with lithospheric age. Nature 1992, 359, 123–129. [Google Scholar] [CrossRef]
- Wessel, P.; Luis, J.F.; Uieda, L.; Scharroo, R.; Wobbe, F.; Smith, W.H.F.; Tian, D. The Generic Mapping Tools Version 6. Geochem. Geophys. Geosyst. 2019, 20, 5556–5564. [Google Scholar] [CrossRef]













| Data Source | Location |
|---|---|
| Global Heat Flow Data Assessment Group et al. [47] | Global |
| Taylor and Hayes [48] | SCS |
| Rao and Li [49] | North margin |
| Xiong et al. [50] | South China continent |
| Nissen et al. [30] | North margin |
| Shyu et al. [51] | Southwest Taiwan Basin |
| Mi et al. [52] | North margin |
| Li et al. [53] | North margin |
| Tang et al. [36] | North margin |
| Shi et al. [54] | Qiongdongnan Basin |
| Shi et al. [55] | Qiongdongnan Basin |
| Xu et al. [33] | Northwest Sub-basin |
| Xu et al. [34] | Southwest Sub-basin |
| IODP 349/367/368 [56,57] | North, south margin; Central Basin |
| SIO 1 | South margin |
| Model | Grid Interval | Range | Data Source |
|---|---|---|---|
| SL2013sv | 0.5° × 0.5° × 25 km | X, Y: Global | Schaeffer and Lebedev [58] |
| Z: 0~700 km | |||
| Chen2021 | 1° × 1° × 5 km | X: 95° E~125° E | Chen et al. [42] |
| Y: 5° S~25° N | |||
| Z: 0~250 km | |||
| FWEA18 | 0.25° × 0.25° × 10 km | X: 90° E~150° E | Tao et al. [43] |
| Y: 10° N~60° N | |||
| Z: 0~800 km | |||
| SASSY21 | 0.5° × 0.5° × 5 km | X: 92° E~140° E | Wehner et al. [44] |
| Y: 15° S~15° N | |||
| Z: 0~800 km |
| Type | Olivine | Orthopyroxene | Clinopyroxene | Garnet | Spinel | XFe |
|---|---|---|---|---|---|---|
| On-cratonic | 83% | 15% | 0% | 2% | 0% | 0.086 |
| Off-cratonic | 68% | 18% | 11% | 3% | 0% | 0.1 |
| Oceanic | 75% | 21% | 3.5% | 0% | 0.5% | 0.1 |
| Zones | I | II | III | IV | V | VI |
|---|---|---|---|---|---|---|
| FSR (km/Myr) | 40~55 | 53~66 | 45~50 | 45~50 | 45~56 | 45~50 |
| τ (Ma) | 27.5~30 | 24.5~28 | 18~22 | 18~22 | 21~26 | 16~23 |
| Moho-T (°C) | 170~190 | 120~180 | 135~170 | 130~180 | 120~170 | ~120 |
| WD (m) | 3800~4050 | 3900~4200 | 3800~4200 | 3700~4250 | 4000~4300 | 4000~4500 |
| Thksed (m) | 1270~1850 | 1250~1950 | 500~700 | 500~1200 | 420~820 | 500~1100 |
| Thkcrust (km) | 5.0~6.5 | 4.0~5.3 | 5.1~6.0 | 5.4~6.3 | 5.3~7.5 | 3.0~5.1 |
| L (km) | 10.3~11.7 | 9.4~11.7 | 10.0~11.2 | 10.0~10.8 | 9.6~12.3 | 7.8~10.0 |
| Data | Central Basin (km) | Margin (km) | Reference |
|---|---|---|---|
| Heat flow | - | 86~96 (N) | Shi et al. [35] |
| Vp | 80~100 | 60~80 | Yao and Wan [89] |
| Vs | 70~80 | 70~80 | Tang and Zheng [21] |
| T from Vs | 70~80 | 70~80 | Yu et al. [3] |
| Gravity | 60~90 | 90~120 | Chen et al. [93] |
| T from Vs | - | 80~125(S) | Dong et al. [46] |
| Heat flow | 35~55 | 35~55 (N) 80~100 (S) | Wang et al. [37] |
| Topography | 46~60 (NW) | - | Wang et al. [14] |
| T from Vs | 85~96 | 96~120 (N) 81~125 (S) | This study |
Disclaimer/Publisher’s Note: The statements, opinions and data contained in all publications are solely those of the individual author(s) and contributor(s) and not of MDPI and/or the editor(s). MDPI and/or the editor(s) disclaim responsibility for any injury to people or property resulting from any ideas, methods, instructions or products referred to in the content. |
© 2025 by the authors. Licensee MDPI, Basel, Switzerland. This article is an open access article distributed under the terms and conditions of the Creative Commons Attribution (CC BY) license (https://creativecommons.org/licenses/by/4.0/).
Share and Cite
Huang, L.; Li, C.-F.; Wu, Z.; Gao, J. A 3D Lithospheric Thermal Model of the South China Sea Jointly Constrained by Heat Flow, Curie-Point Depth and S-Wave Velocity. J. Mar. Sci. Eng. 2025, 13, 2337. https://doi.org/10.3390/jmse13122337
Huang L, Li C-F, Wu Z, Gao J. A 3D Lithospheric Thermal Model of the South China Sea Jointly Constrained by Heat Flow, Curie-Point Depth and S-Wave Velocity. Journal of Marine Science and Engineering. 2025; 13(12):2337. https://doi.org/10.3390/jmse13122337
Chicago/Turabian StyleHuang, Liang, Chun-Feng Li, Zhaocai Wu, and Jinyao Gao. 2025. "A 3D Lithospheric Thermal Model of the South China Sea Jointly Constrained by Heat Flow, Curie-Point Depth and S-Wave Velocity" Journal of Marine Science and Engineering 13, no. 12: 2337. https://doi.org/10.3390/jmse13122337
APA StyleHuang, L., Li, C.-F., Wu, Z., & Gao, J. (2025). A 3D Lithospheric Thermal Model of the South China Sea Jointly Constrained by Heat Flow, Curie-Point Depth and S-Wave Velocity. Journal of Marine Science and Engineering, 13(12), 2337. https://doi.org/10.3390/jmse13122337

