A Versatile SPH Approach for Modelling Very Flexible and Modularized Floating Structures in Moored Configurations
Abstract
1. Introduction
- (a)
- (b)
- (c)
- Structural flexibility of thin floating plates, represented using the Applied Element Method (AEM) incorporated within the SPH–MBD coupling [40,41], enabling the simulation of large structural displacements. The implemented AEM formulation has been validated for both beam and plate configurations under static, dynamic, and hydrodynamic conditions.
- (d)
- Mooring line dynamics, resolved through the MoorDyn+ lumped-mass model [56], an enhanced implementation of the original MoorDyn framework [57]. The model resolves the dynamic equilibrium of mooring lines and flexible connectors under external hydrodynamic forcing while being two-way coupled with the SPH solver [52] to accurately capture interactions between moored floating structures and non-linear wave excitation.
2. Numerical Methods
2.1. SPH Fluid Solver
2.1.1. Governing Equations
2.1.2. Variable Resolution
2.2. MBD Structural Solver
2.2.1. Governing Equations
2.2.2. SPH-MBD Coupling
2.3. Lumped-Mass Mooring Solver
2.3.1. Governing Equations
2.3.2. SPH-MoorDyn+ Coupling
2.4. Applied Element Method
3. Validation
3.1. Moored Array of Interconnected Floating Rigid Pontoons
3.1.1. Experimental Setup
3.1.2. Numerical Setup
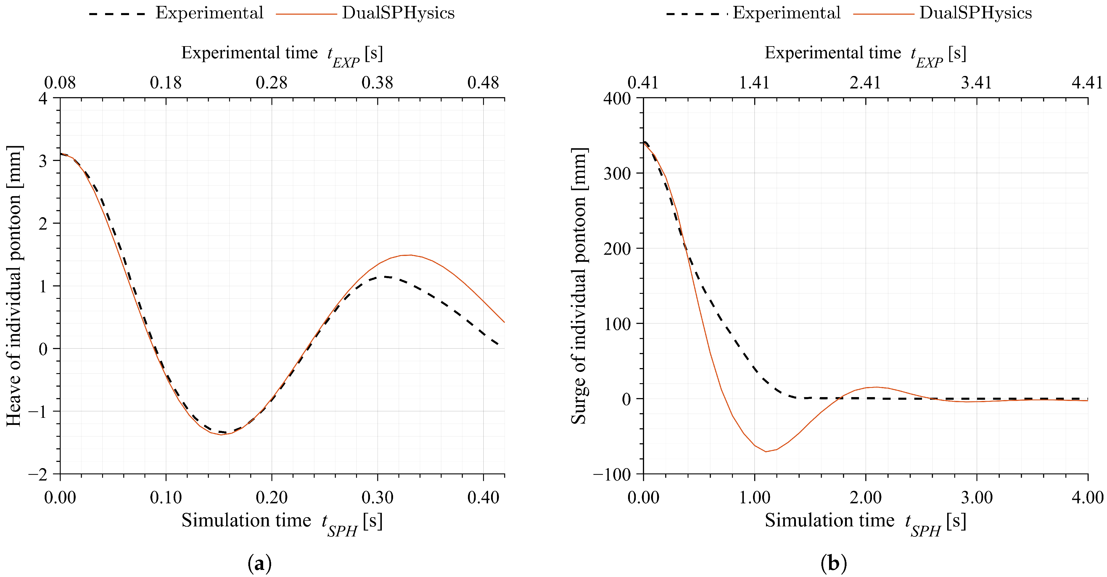
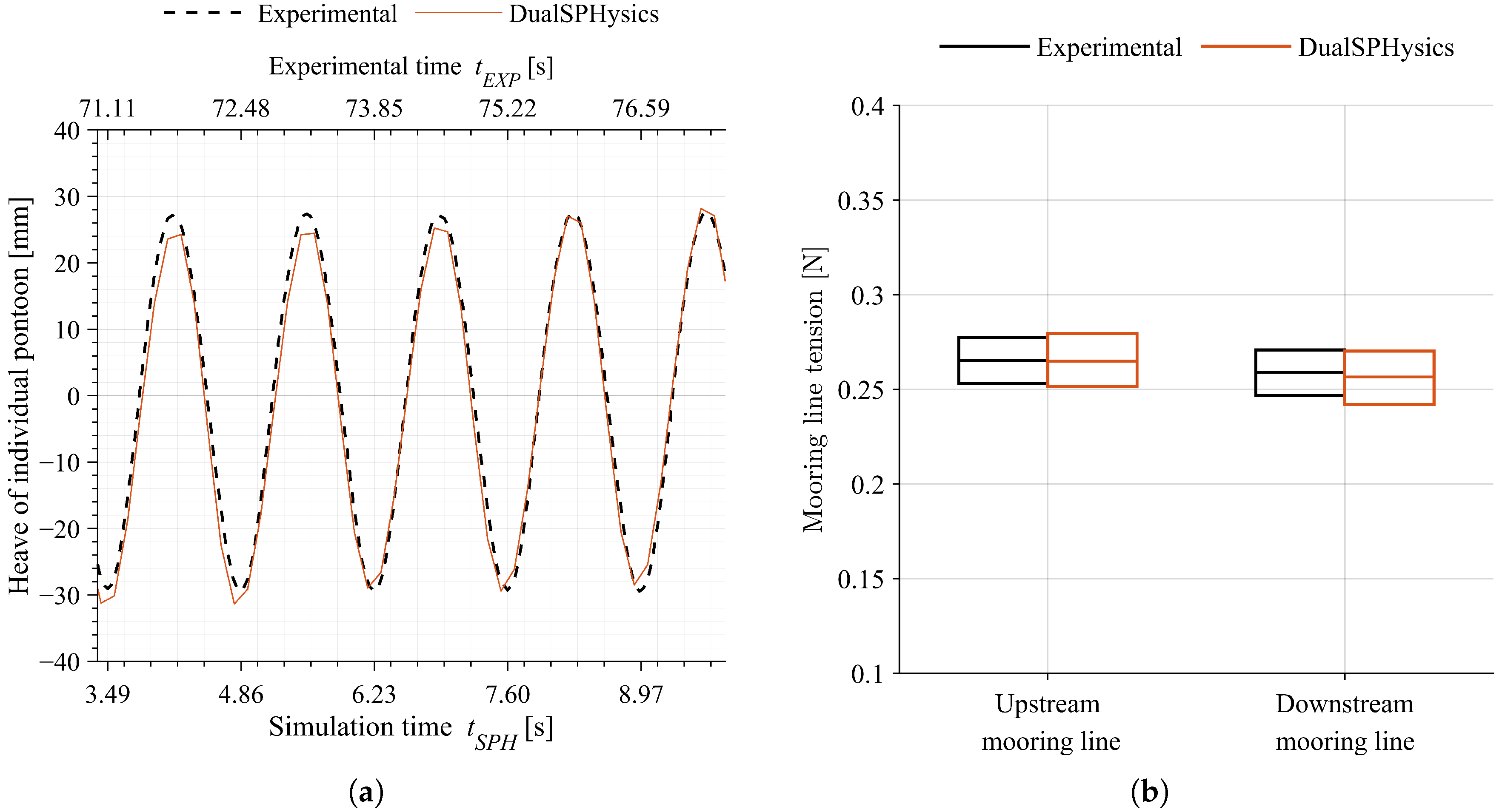
3.1.3. Results
3.2. Moored Very Flexible Floating Structure
3.2.1. Experimental Setup
3.2.2. Numerical Setup
3.2.3. Results
4. Discussion
5. Conclusions
Author Contributions
Funding
Data Availability Statement
Acknowledgments
Conflicts of Interest
References
- Claus, R.; López, M. Key issues in the design of floating photovoltaic structures for the marine environment. Renew. Sustain. Energy Rev. 2022, 164, 112502. [Google Scholar] [CrossRef]
- Wang, J.; Lund, P.D. Review of recent offshore photovoltaics development. Energies 2022, 15, 7462. [Google Scholar] [CrossRef]
- López, M.; Claus, R.; Soto, F.; Hernández-Garrastacho, Z.A.; Cebada-Relea, A.; Simancas, O. Advancing offshore solar energy generation: The HelioSea concept. Appl. Energy 2024, 359, 122710. [Google Scholar] [CrossRef]
- HelioRec. Wind and Wave-Resistant Floating Solar Technology. Available online: https://www.heliorec.com/tech (accessed on 1 October 2025).
- Moss Maritime. Offshore Floating Solar Power. Available online: https://www.mossww.com/offshore-floating-solar-power/ (accessed on 1 October 2025).
- Oceans of Energy. North Sea 3. Available online: https://oceansofenergy.blue/north-sea-3/ (accessed on 1 October 2025).
- Jiang, Z.; Dai, J.; Saettone, S.; Tørå, G.; He, Z.; Bashir, M.; Souto-Iglesias, A. Design and model test of a soft-connected lattice-structured floating solar photovoltaic concept for harsh offshore conditions. Mar. Struct. 2023, 90, 103426. [Google Scholar] [CrossRef]
- Wang, B.; Lian, J.; Gao, X.; Liu, L.; Yao, Y.; Li, Y.; Meng, H. Coupled dynamic analysis of polyester flexible connector for a novel lattice-type floating photovoltaic array. Ocean Eng. 2025, 320, 120354. [Google Scholar] [CrossRef]
- Lian, J.; Cao, Z.; Lu, W.; Li, P.; Liu, D.; Yao, Y.; Shao, N.; Li, H. Experimental investigation on the dynamic characteristics of connector and mooring force for a novel pontoon-type offshore floating photovoltaic array. Sol. Energy 2025, 301, 113912. [Google Scholar] [CrossRef]
- Li, Z.; Chen, D.; Feng, X. Hydroelastic and expansibility analysis of a modular floating photovoltaic system with multi-directional hinge connections. Ocean Eng. 2023, 289, 116218. [Google Scholar] [CrossRef]
- Jiang, C.; Li, Q.; Hu, P.; Zhang, G.; Jiang, S.; el Moctar, O. Experimental analysis of wave–structure interaction for very large modular floating structures. Ocean Eng. 2025, 315, 119763. [Google Scholar] [CrossRef]
- Mohapatra, S.C.; Amouzadrad, P.; Bispo, I.B.d.S.; Guedes Soares, C. Hydrodynamic response to current and wind on a large floating interconnected structure. J. Mar. Sci. Eng. 2025, 13, 63. [Google Scholar] [CrossRef]
- Ikhennicheu, M.; Blanc, A.; Danglade, B.; Gilloteaux, J.-C. OrcaFlex modelling of a multi-body floating solar island subjected to waves. Energies 2022, 15, 9260. [Google Scholar] [CrossRef]
- Song, J.; Imani, H.; Yue, J.; Yang, S. Hydrodynamic characteristics of floating photovoltaic systems under ocean loads. J. Mar. Sci. Eng. 2023, 11, 1813. [Google Scholar] [CrossRef]
- Zheng, Z.; Jin, P.; Huang, Q.; Zhou, B.; Xiang, R.; Zhou, Z.; Huang, L. Motion response and energy harvesting of multi-module floating photovoltaics in seas. Ocean Eng. 2024, 310, 118760. [Google Scholar] [CrossRef]
- Baniya, J.; Dai, J.; Jiang, Z.; Zhang, C. Numerical study of soft-connected modular offshore floating photovoltaic array. Mar. Struct. 2025, 104, 103893. [Google Scholar] [CrossRef]
- He, W.; Liu, Z.; Yin, D.; Du, J.; Chang, A. Experimental and numerical research on the dynamic response of multi-module floating photovoltaics array. Ocean Eng. 2025, 338, 121969. [Google Scholar] [CrossRef]
- Saitov, K.; Jiang, Z. Advancing offshore solar energy generation: Numerical modelling and calibration of a floating solar array against model tests. Sol. Energy 2025, 288, 113225. [Google Scholar] [CrossRef]
- Wang, B.; Li, Y.; Huang, L.; Yao, Y.; Qin, Y. Dynamic analysis of a novel star-type floating photovoltaic system with flexible connectors. Ocean Eng. 2024, 304, 117854. [Google Scholar] [CrossRef]
- Lee, J.-H.; Paik, K.-J.; Lee, S.-H.; Hwangbo, J.; Ha, T.-H. Experimental and numerical study on the characteristics of motion and load for a floating solar power farm under regular waves. J. Mar. Sci. Eng. 2022, 10, 565. [Google Scholar] [CrossRef]
- Pan, Y.; Hong, J.; Xue, D.; Zhao, X.; Luo, M.; Liu, C.; Li, L. A SPH method to assess the dynamic behavior for multiconnected floating photovoltaic units consisting of non-uniform supporting frames in waves. Ocean Eng. 2025, 323, 120622. [Google Scholar] [CrossRef]
- Li, X.; Xiao, Q.; Zhou, Y.; Ning, D.; Incecik, A.; Nicoll, R.; McDonald, A.; Campbell, D. Coupled CFD–MBD numerical modeling of a mechanically coupled WEC array. Ocean Eng. 2022, 256, 111541. [Google Scholar] [CrossRef]
- Chen, H.; Almeida Medina, T.; Cercos-Pita, J.L. CFD simulation of multiple moored floating structures using OpenFOAM: An open-access mooring restraints library. Ocean Eng. 2024, 303, 117697. [Google Scholar] [CrossRef]
- Tagliafierro, B.; Karimirad, M.; Altomare, C.; Göteman, M.; Martínez-Estévez, I.; Capasso, S.; Domínguez, J.M.; Viccione, G.; Gómez-Gesteira, M.; Crespo, A.J.C. Numerical validations and investigation of a semi-submersible floating offshore wind turbine platform interacting with ocean waves using an SPH framework. Appl. Ocean Res. 2023, 141, 103757. [Google Scholar] [CrossRef]
- Kong, M.; Zhang, X.; Ji, R.; Wu, H.; Yin, M.; Liu, H.; Sun, K.; Reabroy, R. Effects of wave–current interaction on hydrodynamic performance and motion response of a floating tidal stream turbine. J. Mar. Sci. Eng. 2025, 13, 1520. [Google Scholar] [CrossRef]
- Tang, Y.; Chen, X.; Huang, G.; Chen, M.; Zhang, K.; Jiang, Y.; Li, T.; Tao, T.; Yang, Y. Dynamic analysis of multi-module floating photovoltaic platforms with composite mooring system by considering tidal variation and platform configuration. Ocean Eng. 2024, 312, 119243. [Google Scholar] [CrossRef]
- Zhang, G.; Bao, F.; Jiang, C.; el Moctar, O.; Xu, Z.; Zhou, B. Hydrodynamic performance of floating solar arrays with articulated modules for optimal wave adaptation. Appl. Ocean Res. 2025, 164, 104762. [Google Scholar] [CrossRef]
- Ricci, F.; Vacondio, R.; Tafuni, A. Multiscale smoothed particle hydrodynamics based on a domain-decomposition strategy. Comput. Methods Appl. Mech. Eng. 2024, 418, 116500. [Google Scholar] [CrossRef]
- Ricci, F.; Vacondio, R.; Domínguez, J.M.; Tafuni, A. Three-dimensional variable resolution for multi-scale modeling in smoothed particle hydrodynamics. Comput. Phys. Commun. 2025, 313, 109609. [Google Scholar] [CrossRef]
- Ocean Sun. The Innovation. Available online: https://oceansun.no/the-innovation/ (accessed on 1 October 2025).
- MARIN; Bluewater Energy Services B.V.; Endures B.V.; Genap B.V.; Jifmar Offshore Services; TNO. Solar@Sea III Project Overview. Available online: https://www.marin.nl/en/jips/solarsea-iii (accessed on 1 October 2025).
- Zhang, M.; Schreier, S. Review of wave interaction with continuous flexible floating structures. Ocean Eng. 2022, 264, 112404. [Google Scholar] [CrossRef]
- Brown, S.A.; Xie, N.; Hann, M.R.; Greaves, D.M. Investigation of wave-driven hydroelastic interactions using numerical and physical modelling approaches. Appl. Ocean Res. 2022, 129, 103363. [Google Scholar] [CrossRef]
- Jiang, C.; el Moctar, O.; Zhang, G. Nonlinear modeling of wave–structure interaction for a flexible floating structure. Ocean Eng. 2024, 300, 117489. [Google Scholar] [CrossRef]
- Jia, A.; Wang, X.; Li, A.; Liu, Y.; Jiang, S. Numerical investigation of the effects of edge constraints on the wave-induced hydroelastic responses of the single large floating module. Ocean Eng. 2025, 326, 120885. [Google Scholar] [CrossRef]
- Jin, Z.; Fang, H.; Liu, Y. Numerical investigation on hydro-elastoplastic responses of floating laminated structures under wave action. Mar. Struct. 2025, 104, 103884. [Google Scholar] [CrossRef]
- Zhang, G.; Li, Q.; Jiang, C.; el Moctar, O.; Sun, Z. Constraint effects on the hydroelasticity of very large floating structures. Ocean Eng. 2025, 331, 121304. [Google Scholar] [CrossRef]
- Ma, C.; Iijima, K.; Oka, M. Nonlinear waves in a floating thin elastic plate, predicted by a coupled SPH and FEM simulation and by an analytical solution. Ocean Eng. 2020, 204, 107243. [Google Scholar] [CrossRef]
- Zhan, Y.; Luo, M.; Khayyer, A. An enhanced numerical wave tank for wave–structure interaction based on DualSPHysics+. Ocean Eng. 2025, 340, 122413. [Google Scholar] [CrossRef]
- Ioannou, R.; Stratigaki, V.; Loukogeorgaki, E.; Troch, P. Establishing AEM structural framework within SPH-MBD coupling for hydro-viscoelastic response of very flexible floating structures. Appl. Ocean Res. 2025, 164, 104760. [Google Scholar] [CrossRef]
- Ioannou, R.; Stratigaki, V.; Loukogeorgaki, E.; Troch, P. Thin floating plate formulation in smoothed particle hydrodynamics: Extension to a three-dimensional applied element method framework. Coastal Eng. 2025, submitted.
- Lyu, H.-G.; Sun, P.-N.; Huang, X.-T.; Zhong, S.-Y.; Peng, Y.-X.; Jiang, T.; Ji, C.-N. A review of SPH techniques for hydrodynamic simulations of ocean energy devices. Energies 2022, 15, 502. [Google Scholar] [CrossRef]
- O’Connor, J.; Rogers, B.D. A fluid–structure interaction model for free-surface flows and flexible structures using smoothed particle hydrodynamics on a GPU. J. Fluids Struct. 2021, 104, 103312. [Google Scholar] [CrossRef]
- Shimizu, Y.; Khayyer, A.; Gotoh, H. An implicit SPH-based structure model for accurate fluid–structure interaction simulations with hourglass control scheme. Eur. J. Mech. B Fluids 2022, 96, 122–145. [Google Scholar] [CrossRef]
- Khayyer, A.; Shimizu, Y.; Lee, C.H.; Gil, A.; Gotoh, H.; Bonet, J. An improved updated Lagrangian SPH method for structural modelling. Comput. Part. Mech. 2024, 11, 1055–1086. [Google Scholar] [CrossRef]
- Bao, T.; Hu, J.; Wang, S.; Huang, C.; Yu, Y.; Shakibaeinia, A. An entirely SPH-based FSI solver and numerical investigations on hydrodynamic characteristics of the flexible structure with an ultra-thin characteristic. Comput. Methods Appl. Mech. Eng. 2024, 431, 117255. [Google Scholar] [CrossRef]
- Shi, Y.; Li, S.; Peng, S.; Chen, H.; He, M. Numerical modeling of flexible floating boom using a coupled SPH–FEM model. Coast. Eng. J. 2018, 60, 140–158. [Google Scholar] [CrossRef]
- Hermange, C.; Oger, G.; Le Chenadec, Y.; Le Touzé, D. A 3D SPH–FE coupling for FSI problems and its application to tire hydroplaning simulations on rough ground. Comput. Methods Appl. Mech. Eng. 2019, 355, 558–590. [Google Scholar] [CrossRef]
- Martínez-Estévez, I.; Tagliafierro, B.; El Rahi, J.; Domínguez, J.M.; Crespo, A.J.C.; Troch, P.; Gómez-Gesteira, M. Coupling an SPH-based solver with an FEA structural solver to simulate free surface flows interacting with flexible structures. Comput. Methods Appl. Mech. Eng. 2023, 410, 115989. [Google Scholar] [CrossRef]
- El Rahi, J.; Martínez-Estévez, I.; Tagliafierro, B.; Domínguez, J.M.; Crespo, A.J.C.; Stratigaki, V.; Suzuki, T.; Troch, P. Numerical investigation of wave-induced flexible vegetation dynamics in 3D using a coupling between DualSPHysics and the FEA module of Project Chrono. Ocean Eng. 2023, 285, 115227. [Google Scholar] [CrossRef]
- El Rahi, J.; Martínez-Estévez, I.; Almeida Reis, R.; Tagliafierro, B.; Domínguez, J.M.; Crespo, A.J.C.; Stratigaki, V.; Suzuki, T.; Troch, P. Exploring wave–vegetation interaction at stem scale: Analysis of the coupled flow–structure interactions using the SPH-based DualSPHysics code and the FEA module of Chrono. J. Mar. Sci. Eng. 2024, 12, 1120. [Google Scholar] [CrossRef]
- Domínguez, J.M.; Crespo, A.J.C.; Hall, M.; Altomare, C.; Wu, M.; Stratigaki, V.; Troch, P.; Cappietti, L.; Gómez-Gesteira, M. SPH simulation of floating structures with moorings. Coast. Eng. 2019, 153, 103560. [Google Scholar] [CrossRef]
- Domínguez, J.M.; Fourtakas, G.; Altomare, C.; Canelas, R.B.; Tafuni, A.; García-Feal, O.; Martínez-Estévez, I.; Mokos, A.; Vacondio, R.; Crespo, A.J.C.; et al. DualSPHysics: From fluid dynamics to multiphysics problems. Comput. Part. Mech. 2022, 9, 867–895. [Google Scholar] [CrossRef]
- Tasora, A.; Serban, R.; Mazhar, H.; Pazouki, A.; Melanz, D.; Fleischmann, J.; Taylor, M.; Sugiyama, H.; Negrut, D. Chrono: An open source multi–physics dynamics engine. In High Performance Computing in Science and Engineering; Springer International Publishing: Soláň, Czech Republic, 2016; pp. 19–49. [Google Scholar] [CrossRef]
- Martínez-Estévez, I.; Domínguez, J.M.; Tagliafierro, B.; Canelas, R.B.; García-Feal, O.; Crespo, A.J.C.; Gómez-Gesteira, M. Coupling of an SPH-based solver with a multiphysics library. Comput. Phys. Commun. 2023, 283, 108581. [Google Scholar] [CrossRef]
- Martínez-Estévez, I. MoorDyn+. Available online: https://github.com/imestevez/MoorDynPlus (accessed on 1 October 2025).
- Hall, M.; Goupee, A. Validation of a lumped-mass mooring line model with DeepCwind semisubmersible model test data. Ocean Eng. 2015, 104, 590–603. [Google Scholar] [CrossRef]
- Wendland, H. Piecewise polynomial, positive definite and compactly supported radial functions of minimal degree. Adv. Comput. Math. 1995, 4, 389–396. [Google Scholar] [CrossRef]
- Batchelor, G.K. An Introduction to Fluid Dynamics; Cambridge University Press: Cambridge, UK, 2000. [Google Scholar] [CrossRef]
- Fourtakas, G.; Dominguez, J.M.; Vacondio, R.; Rogers, B.D. Local Uniform Stencil (LUST) boundary condition for arbitrary 3-D boundaries in parallel smoothed particle hydrodynamics (SPH) models. Comput. Fluids 2019, 190, 346–361. [Google Scholar] [CrossRef]
- Oger, G.; Doring, M.; Alessandrini, B.; Ferrant, P. An improved SPH method: Towards higher order convergence. J. Comput. Phys. 2007, 225, 1472–1492. [Google Scholar] [CrossRef]
- Michel, J.; Colagrossi, A.; Antuono, M.; Marrone, S. A regularized high-order diffusive smoothed particle hydrodynamics scheme without tensile instability. Phys. Fluids 2023, 35, 103604. [Google Scholar] [CrossRef]
- Bonet, J.; Lok, T.-S.L. Variational and momentum preservation aspects of smooth particle hydrodynamic formulations. Comput. Methods Appl. Mech. Eng. 1999, 180, 97–115. [Google Scholar] [CrossRef]
- Marrone, S.; Colagrossi, A.; Le Touzé, D.; Graziani, G. Fast free-surface detection and level-set function definition in SPH solvers. J. Comput. Phys. 2010, 229, 3652–3663. [Google Scholar] [CrossRef]
- Khayyer, A.; Gotoh, H.; Shimizu, Y. Comparative study on accuracy and conservation properties of two particle regularization schemes and proposal of an optimized particle shifting scheme in ISPH context. J. Comput. Phys. 2017, 332, 236–256. [Google Scholar] [CrossRef]
- Altomare, C.; Crespo, A.J.C.; Domínguez, J.M.; Gómez-Gesteira, M.; Suzuki, T.; Verwaest, T. Applicability of Smoothed Particle Hydrodynamics for estimation of sea wave impact on coastal structures. Coast. Eng. 2015, 96, 1–12. [Google Scholar] [CrossRef]
- Oger, G.; Marrone, S.; Le Touzé, D.; de Leffe, M. SPH accuracy improvement through the combination of a quasi-Lagrangian shifting transport velocity and consistent ALE formalisms. J. Comput. Phys. 2016, 313, 76–98. [Google Scholar] [CrossRef]
- Lind, S.J.; Xu, R.; Stansby, P.K.; Rogers, B.D. Incompressible smoothed particle hydrodynamics for free-surface flows: A generalised diffusion-based algorithm for stability and validations for impulsive flows and propagating waves. J. Comput. Phys. 2012, 231, 1499–1523. [Google Scholar] [CrossRef]
- English, A.; Domínguez, J.M.; Vacondio, R.; Crespo, A.J.C.; Stansby, P.K.; Lind, S.J.; Chiapponi, L.; Gómez-Gesteira, M. Modified dynamic boundary conditions (mDBC) for general-purpose smoothed particle hydrodynamics (SPH): Application to tank sloshing, dam break and fish pass problems. Comput. Part. Mech. 2022, 9, 1–15. [Google Scholar] [CrossRef]
- Aalborg University. AwaSys. Available online: https://www.hydrosoft.civil.aau.dk/awasys/ (accessed on 1 October 2025).
- Altomare, C.; Domínguez, J.M.; Crespo, A.J.C.; González-Cao, J.; Suzuki, T.; Gómez-Gesteira, M.; Troch, P. Long-crested wave generation and absorption for SPH-based DualSPHysics model. Coast. Eng. 2017, 127, 37–54. [Google Scholar] [CrossRef]
- Leimkuhler, B.; Matthews, C. Molecular Dynamics: With Deterministic and Stochastic Numerical Methods; Springer: Cham, Switzerland, 2015. [Google Scholar] [CrossRef]
- Monaghan, J.J.; Kos, A. Solitary waves on a Cretan beach. J. Waterw. Port Coast. Ocean Eng. 1999, 125, 145–155. [Google Scholar] [CrossRef]
- Tafuni, A.; Domínguez, J.M.; Vacondio, R.; Crespo, A.J.C. A versatile algorithm for the treatment of open boundary conditions in smoothed particle hydrodynamics GPU models. Comput. Methods Appl. Mech. Eng. 2018, 342, 604–624. [Google Scholar] [CrossRef]
- Liu, M.B.; Liu, G.R. Restoring particle consistency in smoothed particle hydrodynamics. Appl. Numer. Math. 2006, 56, 19–36. [Google Scholar] [CrossRef]
- Meguro, K.; Tagel-Din, H. Applied element method for structural analysis: Theory and application for linear materials. Struct. Eng./Earthq. Eng. JSCE 2000, 17, 21–35. [Google Scholar] [CrossRef]
- Meguro, K.; Tagel-Din, H. A new efficient technique for fracture analysis of structures. Bull. Earthq. Resist. Struct. Res. Cent. 1997, 30, 103–116. [Google Scholar]
- Meguro, K.; Tagel-Din, H. Applied element method used for large displacement structural analysis. J. Nat. Disaster Sci. 2002, 24, 25–34. [Google Scholar]
- Le Méhauté, B. An Introduction to Hydrodynamics and Water Waves; Springer Science & Business Media: Berlin, Germany, 1976. [Google Scholar]
- Schreier, S.; Jacobi, G. Measuring hydroelastic deformation of very flexible floating structures. In WCFS2020; Piątek, Ł., Lim, S.H., Wang, C.M., de Graaf-van Dinther, R., Eds.; Springer Singapore: Singapore, 2022; pp. 347–371. [Google Scholar] [CrossRef]
- Dyneema. Available online: https://www.dyneema.com/ (accessed on 1 October 2025).
- Zago, V.; Schulze, L.J.; Bilotta, G.; Almashan, N.; Dalrymple, R.A. Overcoming excessive numerical dissipation in SPH modeling of water waves. Coast. Eng. 2021, 170, 104018. [Google Scholar] [CrossRef]









Disclaimer/Publisher’s Note: The statements, opinions and data contained in all publications are solely those of the individual author(s) and contributor(s) and not of MDPI and/or the editor(s). MDPI and/or the editor(s) disclaim responsibility for any injury to people or property resulting from any ideas, methods, instructions or products referred to in the content. |
© 2025 by the authors. Licensee MDPI, Basel, Switzerland. This article is an open access article distributed under the terms and conditions of the Creative Commons Attribution (CC BY) license (https://creativecommons.org/licenses/by/4.0/).
Share and Cite
Ioannou, R.; Stratigaki, V.; Loukogeorgaki, E.; Troch, P. A Versatile SPH Approach for Modelling Very Flexible and Modularized Floating Structures in Moored Configurations. J. Mar. Sci. Eng. 2025, 13, 2283. https://doi.org/10.3390/jmse13122283
Ioannou R, Stratigaki V, Loukogeorgaki E, Troch P. A Versatile SPH Approach for Modelling Very Flexible and Modularized Floating Structures in Moored Configurations. Journal of Marine Science and Engineering. 2025; 13(12):2283. https://doi.org/10.3390/jmse13122283
Chicago/Turabian StyleIoannou, Rafail, Vasiliki Stratigaki, Eva Loukogeorgaki, and Peter Troch. 2025. "A Versatile SPH Approach for Modelling Very Flexible and Modularized Floating Structures in Moored Configurations" Journal of Marine Science and Engineering 13, no. 12: 2283. https://doi.org/10.3390/jmse13122283
APA StyleIoannou, R., Stratigaki, V., Loukogeorgaki, E., & Troch, P. (2025). A Versatile SPH Approach for Modelling Very Flexible and Modularized Floating Structures in Moored Configurations. Journal of Marine Science and Engineering, 13(12), 2283. https://doi.org/10.3390/jmse13122283

