A New Collision Risk Assessment Algorithm Based on Ship’s Finite-Time Reachable Set
Abstract
1. Introduction
- A novel collision risk assessment model is developed based on an innovative reachability characterization—the ship’s finite-time reachable set—which effectively captures the reachability of both the own ship and the target ship, along with temporal consideration.
- The proposed risk assessment framework not only enables quantitative evaluation of collision risk but also provides its comprehensive boundary for the first time, so that it makes the model more logical and interpretable, while furnishing navigators with enhanced information for collision avoidance decision-making.
- Compared to the previous research on collision risk assessment, our risk assessment algorithm can provide a more rational interpretation and prediction of the variations and trends in risk according to the real-time motion characteristics of ships.
2. Problem Formulation of Ship Navigation Risk Assessment
3. Ship’s Finite-Time Reachable Set for Navigation Risk Assessment
3.1. Reachability and Reachable Set
3.2. Ship’s Finite-Time Reachable Set
4. Risk Assessment Base on Ship’s Finite-Time Reachable Set
| Algorithm 1. Collision Risk Assessment Algorithm |
| ► Given: : the state vector of own ship : the state vector of target ships : get own ship’s finite-time reachable set, from own ship state vector : get target ship’s finite-time reachable set, from target ship state vector : get the area of own ship’s reachable set, from the reachable set boundary of own ship : get the area of target ship’s reachable set, from the reachable set boundary of target ship : get the intersection boundary area of the reachable set : get the area of target ship’s reachable set, from the reachable set boundary of target ship ► Initialize: , , , , , if else end |
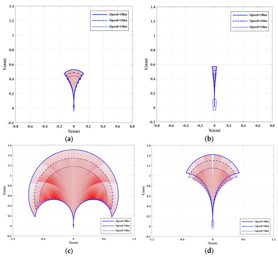
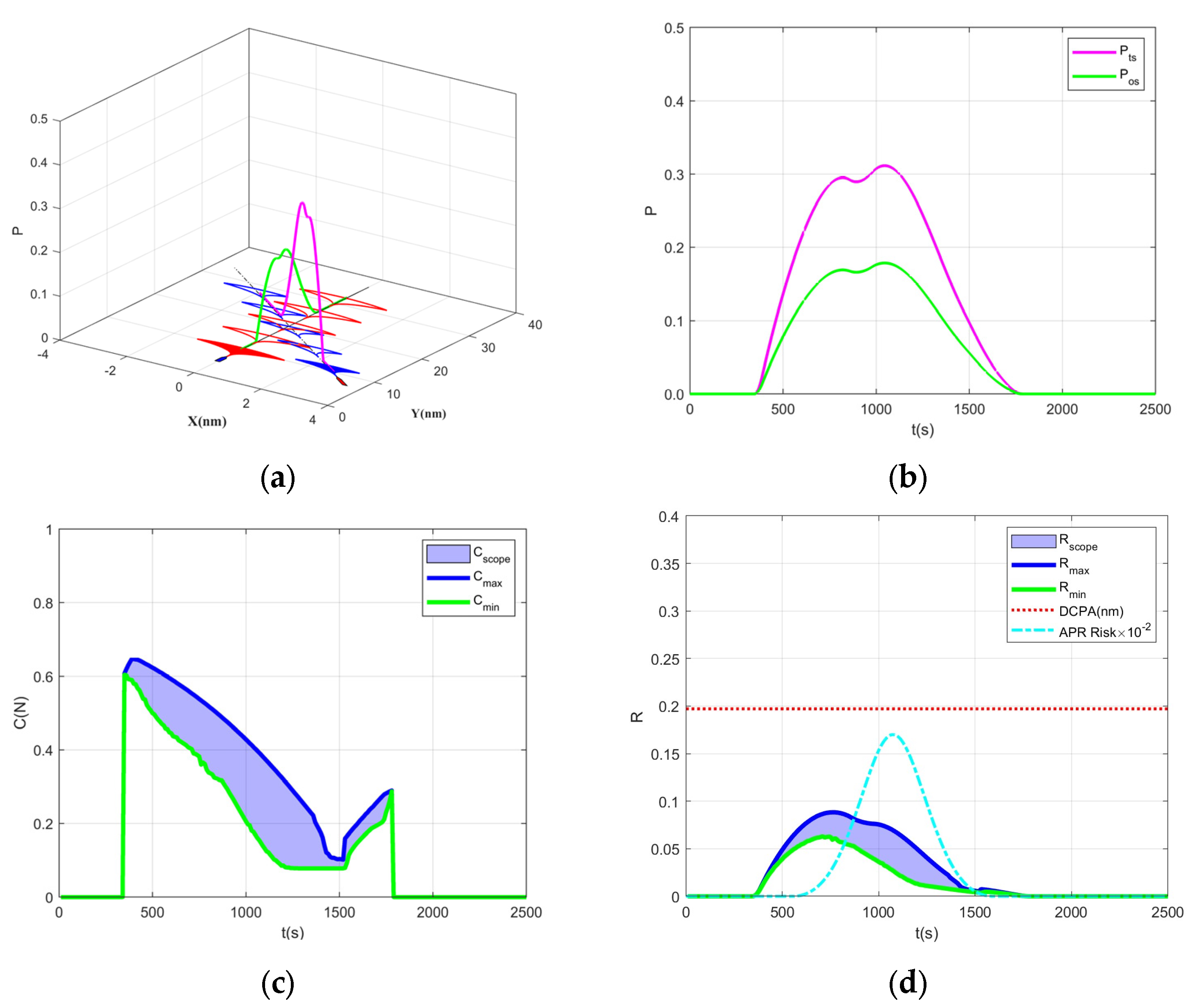
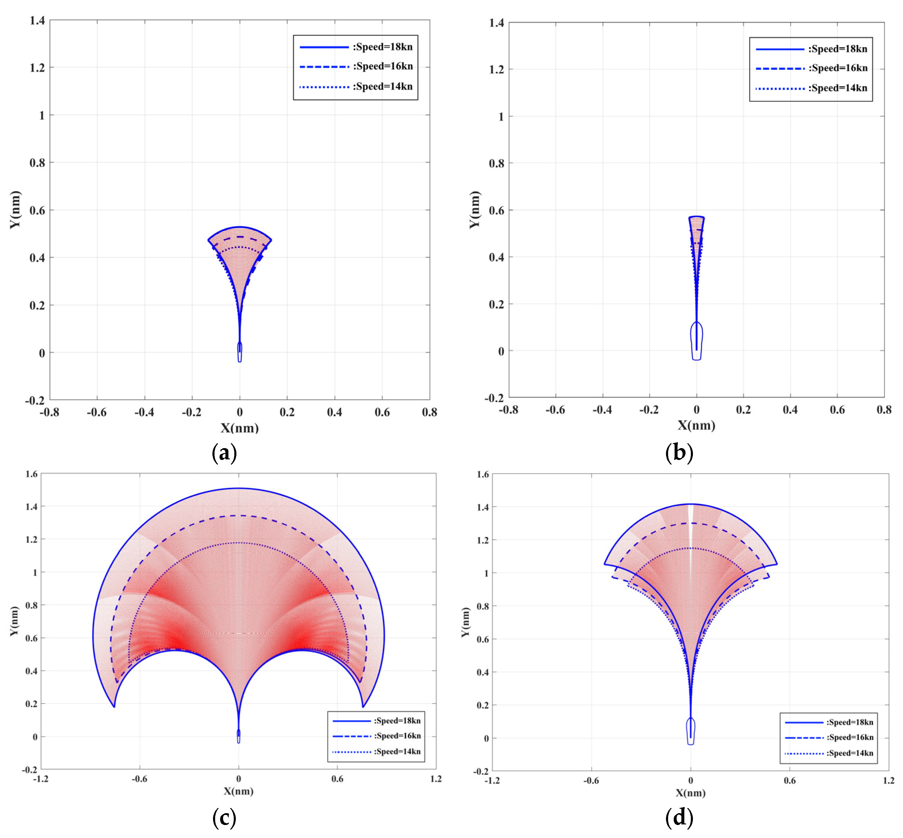
5. Simulation Studies
6. Conclusions
Author Contributions
Funding
Data Availability Statement
Acknowledgments
Conflicts of Interest
References
- Antão, P.; Sun, S.; Teixeira, A.P.; Guedes Soares, C. Quantitative assessment of ship collision risk influencing factors from worldwide accident and fleet data. Reliab. Eng. Syst. Saf. 2023, 234, 109166. [Google Scholar] [CrossRef]
- Osborne, M.; Magee, Z.; Deliso, M. Container Ship Collides with Anchored US-Flagged Oil Tanker in North Sea. Available online: https://abcnews.go.com/International/us-flagged-oil-tanker-collides-container-ship-north/story?id=119630008 (accessed on 11 March 2025).
- Dominguez-Péry, C.; Vuddaraju, L.N.R.; Corbett-Etchevers, I.; Tassabehji, R. Reducing maritime accidents in ships by tackling human error: A bibliometric review and research agenda. J. Shipp. Trd. 2021, 20, 6. [Google Scholar] [CrossRef]
- Zhang, X.; Wang, C.; Jiang, L.; An, L.; Yang, R. Collision-avoidance navigation systems for maritime autonomous surface ships: A state of the art survey. Ocean Eng. 2021, 235, 109380. [Google Scholar] [CrossRef]
- Aylward, K.; Weber, R.; Lundh, M.; MacKinnon, S.N.; Dahlman, J. Navigators’ views of a collision avoidance decision support system for maritime navigation. J. Navig. 2022, 75, 1035–1048. [Google Scholar] [CrossRef]
- Fujii, Y.; Tanaka, K. Traffic Capacity. J. Navig. 1971, 24, 543–552. [Google Scholar] [CrossRef]
- Wang, N.; Meng, X.; Xu, Q.; Wang, Z. A unified analytical framework for ship domains. J. Navig. 2009, 62, 643–655. [Google Scholar] [CrossRef]
- Szlapczynski, R.; Szlapczynska, J. Review of ship safety domains: Models and applications. Ocean Eng. 2017, 145, 277–289. [Google Scholar] [CrossRef]
- Li, W.; Cheng, K.; Shi, G.; Desrosiers, R.; Wang, X. Ship domain models: Reviewing the advancements and exploring the future directions in the maritime autonomous surface ships. Ocean Eng. 2025, 326, 120935. [Google Scholar] [CrossRef]
- Zheng, K.; Jiang, Y.; Zhou, S.; Xue, Y. A comprehensive spatiotemporal metric for ship collision risk assessment. Ocean Eng. 2022, 256, 112446. [Google Scholar] [CrossRef]
- Zheng, K.; Chen, Y.; Jiang, Y.; Qiao, S. A SVM based ship collision risk assessment algorithm. Ocean Eng. 2020, 202, 107062. [Google Scholar] [CrossRef]
- Kang, L.; Lu, Z.; Meng, Q.; Gao, S.; Wang, F. Maritime simulator based determination of minimum DCPA and TCPA in head-on ship-to-ship collision avoidance in confined waters. Transp. A Transp. Sci. 2019, 15, 1124–1144. [Google Scholar] [CrossRef]
- Ha, J.; Roh, M.-I.; Lee, H.-W. Quantitative calculation method of the collision risk for collision avoidance in ship navigation using the CPA and ship domain. J. Comput. Des. Eng. 2021, 8, 894–909. [Google Scholar] [CrossRef]
- Yuan, X.; Zhang, D.; Zhang, J.; Zhang, M.; Guedes Soares, C. A novel real-time collision risk awareness method based on velocity obstacle considering uncertainties in ship dynamics. Ocean Eng. 2021, 220, 108436. [Google Scholar] [CrossRef]
- Liu, Z.; Zhang, B.; Zhang, M.; Wang, H.; Fu, X. A quantitative method for the analysis of ship collision risk using AIS data. Ocean Eng. 2023, 272, 113906. [Google Scholar] [CrossRef]
- Chen, Y.; Liu, Z.; Zhang, M.; Yu, H.; Fu, X.; Xiao, Z. Dynamics collision risk evaluation and early alert in busy waters: A spatial-temporal coupling approach. Ocean Eng. 2024, 300, 117315. [Google Scholar] [CrossRef]
- Cheng, K.; Li, W.; Zhou, Y.; Shi, G.; Wang, X. A novel fuzzy comprehensive evaluation method for ship collision risk. Ocean Eng. 2025, 332, 121462. [Google Scholar] [CrossRef]
- Korupoju, A.K.; Kapadia, V.; Vilwathilakam, A.S.; Samanta, A. Ship collision risk evaluation using AIS and weather data through fuzzy logic and deep learning. Ocean Eng. 2025, 318, 120116. [Google Scholar] [CrossRef]
- Lin, C.; Zhen, R.; Tong, Y.; Yang, S.; Chen, S. Regional ship collision risk prediction: An approach based on encoder-decoder LSTM neural network model. Ocean Eng. 2024, 296, 117019. [Google Scholar] [CrossRef]
- Shi, J.; Liu, Z.; Feng, Y.; Wang, X.; Zhu, H.; Yang, Z.; Wang, J.; Wang, H. Evolutionary model and risk analysis of ship collision accidents based on complex networks and DEMATEL. Ocean Eng. 2024, 305, 117965. [Google Scholar] [CrossRef]
- Liu, J.; Zhang, J.; Yang, Z.; Zhang, M.; Tian, W. A game-based decision-making method for multi-ship collaborative collision avoidance reflecting risk attitudes in open waters. Ocean. Coast. Manag. 2024, 259, 107450. [Google Scholar] [CrossRef]
- Li, P.; Wang, Y.; Yang, Z. Risk assessment of maritime autonomous surface ships collisions using an FTA-FBN model. Ocean Eng. 2024, 309, 118444. [Google Scholar] [CrossRef]
- Wang, J.; Wu, J.; Li, Y. The driving safety field based on driver–vehicle–road interactions. IEEE Trans. Intell. Transp. Syst. 2015, 16, 2203–2214. [Google Scholar] [CrossRef]
- Wang, J.; Wu, J.; Zheng, X.; Ni, D.; Li, K. Driving safety field theory modeling and its application in pre-collision warning system. Transp. Res. Part C Emerg. Technol. 2016, 72, 306–324. [Google Scholar] [CrossRef]
- Zuo, D.; Bian, Z.; Zuo, F.; Ozbay, K. Composite safety potential field for highway driving risk assessment. Accid. Anal. Prev. 2025, 220, 108080. [Google Scholar] [CrossRef]
- Lei, C.; Zhao, C.; Chen, K.; Ji, Y.; Du, Y. A novel ellipsoidal safety potential field model for quantifying driving risk. Transp. A Transp. Sci. 2025, 6, 1–30. [Google Scholar] [CrossRef]
- Li, H.; Wang, X.; Wu, T.; Ni, S. A COLREGs-compliant ship collision avoidance decision-making support scheme based on improved APF and NMPC. J. Mar. Sci. Eng. 2023, 11, 1408. [Google Scholar] [CrossRef]
- He, Z.; Chu, X.; Liu, C.; Wu, W. A novel model predictive artificial potential field based ship motion planning method considering COLREGs for complex encounter scenarios. ISA Trans. 2023, 134, 58–73. [Google Scholar] [CrossRef]
- Tang, C.; Xia, J.; Wang, W.; Shang, H.; Ji, W.; Bao, Q.; Yang, D. A dynamic window model prediction of artificial potential field method for improving the coincidence of actual and predicted trajectory of underactuated planing craft. Ocean Eng. 2024, 313, 119351. [Google Scholar] [CrossRef]
- Gan, L.; Yan, Z.; Zhang, L.; Liu, K.; Zheng, Y.; Zhou, C.; Shu, Y. Ship path planning based on safety potential field in inland rivers. Ocean Eng. 2022, 260, 111928. [Google Scholar] [CrossRef]
- Kim, J.-H.; Jo, H.-J.; Kim, S.-R.; Choi, S.-W.; Park, J.-Y.; Kim, N. Comparison of collision avoidance algorithms for unmanned surface vehicle through free-running test: Collision risk index, artificial potential field, and safety zone. J. Mar. Sci. Eng. 2024, 12, 2255. [Google Scholar] [CrossRef]
- Isidori, A. Nonlinear Control Systems, 3rd ed.; Springer: London, UK, 1995; pp. 53–69. [Google Scholar]
- Guéguen, H.; Lefebvre, M.A.; Nasri, O.; Zaytoon, J. Safety verification and reachability analysis for hybrid systems. In Proceedings of the 17th World Congress the International Federation of Automatic Control, Seoul, Republic of Korea, 6–11 July 2008; Volume 41, pp. 8949–8959. [Google Scholar]
- Zhou, C.; Li, Y.; Zheng, W.; Wu, P.; Dong, Z. Safety Envelope Determination for Impaired Aircraft During Landing Phase Based on Reachability Analysis. In Proceedings of the 2018 Asia-Pacific International Symposium on Aerospace Technology; Springer: Singapore, 2019. [Google Scholar]
- Zhou, C.; Li, Y.; Zheng, W.; Wu, P.; Dong, Z. Safety analysis for icing aircraft during landing phase based on reachability analysis. Math. Probl. Eng. 2018, 2018, 3728241. [Google Scholar] [CrossRef]
- Manzinger, S.; Pek, C.; Althoff, M. Using reachable sets for trajectory planning of automated vehicles. IEEE Trans. Intell. Veh. 2021, 6, 232–248. [Google Scholar] [CrossRef]
- Xiao, Y.; Xia, T.; Wang, H. Formal safety verification of non-deterministic systems based on probabilistic reachability computation. Syst. Control. Lett. 2025, 196, 106014. [Google Scholar] [CrossRef]
- Zhang, B.; Bai, Y.; Zhang, K.; Zheng, K.; Jiang, Y. Ship Dynamic Collision Avoidance Algorithm Based on Reachable Set. In Proceedings of the 37th Chinese Control and Decision Conference (CCDC 2025), Xiamen, China, 16–19 May 2025; pp. 5264–5269. [Google Scholar]
- Potočnik, P. Model predictive control for autonomous ship navigation with COLREG compliance and chart-based path planning. J. Mar. Sci. Eng. 2025, 13, 1246. [Google Scholar] [CrossRef]
- Huang, Y.; Chen, L.; Chen, P.; Negenborn, R.R.; van Gelder, P.H.A.J.M. Ship collision avoidance methods: State-of-the-art. Saf. Sci. 2020, 121, 451–473. [Google Scholar] [CrossRef]
- Terndrup Pedersen, P. Review and application of ship collision and grounding analysis procedures. Mar. Struct. 2010, 23, 241–262. [Google Scholar] [CrossRef]
- Wang, G.; Spencer, J.; Chen, Y. Assessment of a ship’s performance in accidents. Mar. Struct. 2002, 15, 313–333. [Google Scholar] [CrossRef]
- Fossen, T.I. Handbook of Marine Craft Hydrodynamics and Motion Control, 2nd ed.; Wiley: Hoboken, NJ, USA, 2021; pp. 135–180. [Google Scholar]
- Son, K.; Nomoto, K. On the coupled motion of steering and rolling of a high speed container ship. J. Soc. Nav. Archit. Jpn. 1981, 150, 232–244. [Google Scholar] [CrossRef]
- Fossen, T.I.; Perez, T. Marine Systems Simulator (MSS). Available online: https://github.com/cybergalactic/MSS (accessed on 1 June 2004).
- Kuznecovs, A.; Ringsberg, J.W.; Mallaya Ullal, A.; Janardhana Bangera, P.; Johnson, E. Consequence analyses of collision-damaged ships—Damage stability, structural adequacy and oil spills. Ships Offshore Struct. 2022, 18, 567–581. [Google Scholar] [CrossRef]
- Li, S.; Meng, Q.; Qu, X. An overview of maritime waterway quantitative risk assessment models. Risk Anal. 2012, 32, 496–512. [Google Scholar] [CrossRef]
- Brown, A.J.; Chen, D. Probabilistic method for predicting ship collision damage. Ocean. Eng. Int. J. 2002, 6, 54–65. [Google Scholar]







| Principal Properties | Units | TANKER | MARINER |
|---|---|---|---|
| Ship Length | m | 305 | 160.93 |
| Ship Width | m | 47.5 | 15.85 |
| Draft | m | 18.5 | 7.47 |
| Displacement | m3 | 225,000 | 16,622 |
| Design Speed | knot | 16 | 15 |
| Ship | Position (nm) | Velocity (knots) | Course (°) |
|---|---|---|---|
| TANKER(OS) | (0, 7) | 18 | 0 |
| MARINER(TS) | (2, 32) | 14 | 190 |
| Ship | Position (nm) | Velocity (knots) | Course (°) |
|---|---|---|---|
| TANKER(OS) | (0, 0) | 18 | 0 |
| MARINER(TS) | (12, 13) | 14 | 280 |
| Ship | Position (nm) | Velocity (knots) | Course (°) |
|---|---|---|---|
| TANKER(OS) | (0, 7) | 18 | 0 |
| MARINER(TS) | (3, 9) | 14 | 345 |
Disclaimer/Publisher’s Note: The statements, opinions and data contained in all publications are solely those of the individual author(s) and contributor(s) and not of MDPI and/or the editor(s). MDPI and/or the editor(s) disclaim responsibility for any injury to people or property resulting from any ideas, methods, instructions or products referred to in the content. |
© 2025 by the authors. Licensee MDPI, Basel, Switzerland. This article is an open access article distributed under the terms and conditions of the Creative Commons Attribution (CC BY) license (https://creativecommons.org/licenses/by/4.0/).
Share and Cite
Sun, W.; Zheng, K.; Feng, Z.; Jiang, Y. A New Collision Risk Assessment Algorithm Based on Ship’s Finite-Time Reachable Set. J. Mar. Sci. Eng. 2025, 13, 2174. https://doi.org/10.3390/jmse13112174
Sun W, Zheng K, Feng Z, Jiang Y. A New Collision Risk Assessment Algorithm Based on Ship’s Finite-Time Reachable Set. Journal of Marine Science and Engineering. 2025; 13(11):2174. https://doi.org/10.3390/jmse13112174
Chicago/Turabian StyleSun, Wenhao, Kai Zheng, Zhiwen Feng, and Yi Jiang. 2025. "A New Collision Risk Assessment Algorithm Based on Ship’s Finite-Time Reachable Set" Journal of Marine Science and Engineering 13, no. 11: 2174. https://doi.org/10.3390/jmse13112174
APA StyleSun, W., Zheng, K., Feng, Z., & Jiang, Y. (2025). A New Collision Risk Assessment Algorithm Based on Ship’s Finite-Time Reachable Set. Journal of Marine Science and Engineering, 13(11), 2174. https://doi.org/10.3390/jmse13112174

