Numerical Investigation on the Hydrodynamic Characteristics of Submarine Power Cables for Offshore Wind Turbines Under Combined Wave–Current Loading
Abstract
1. Introduction
2. Numerical Method
2.1. Governing Equations
2.2. Boundary Conditions
3. Validation of Numerical Model
3.1. Grid Convergence Verification of Numerical Model
3.2. Accuracy Verification of Numerical Model
4. Numerical Results and Analysis
4.1. Flow Field Analysis
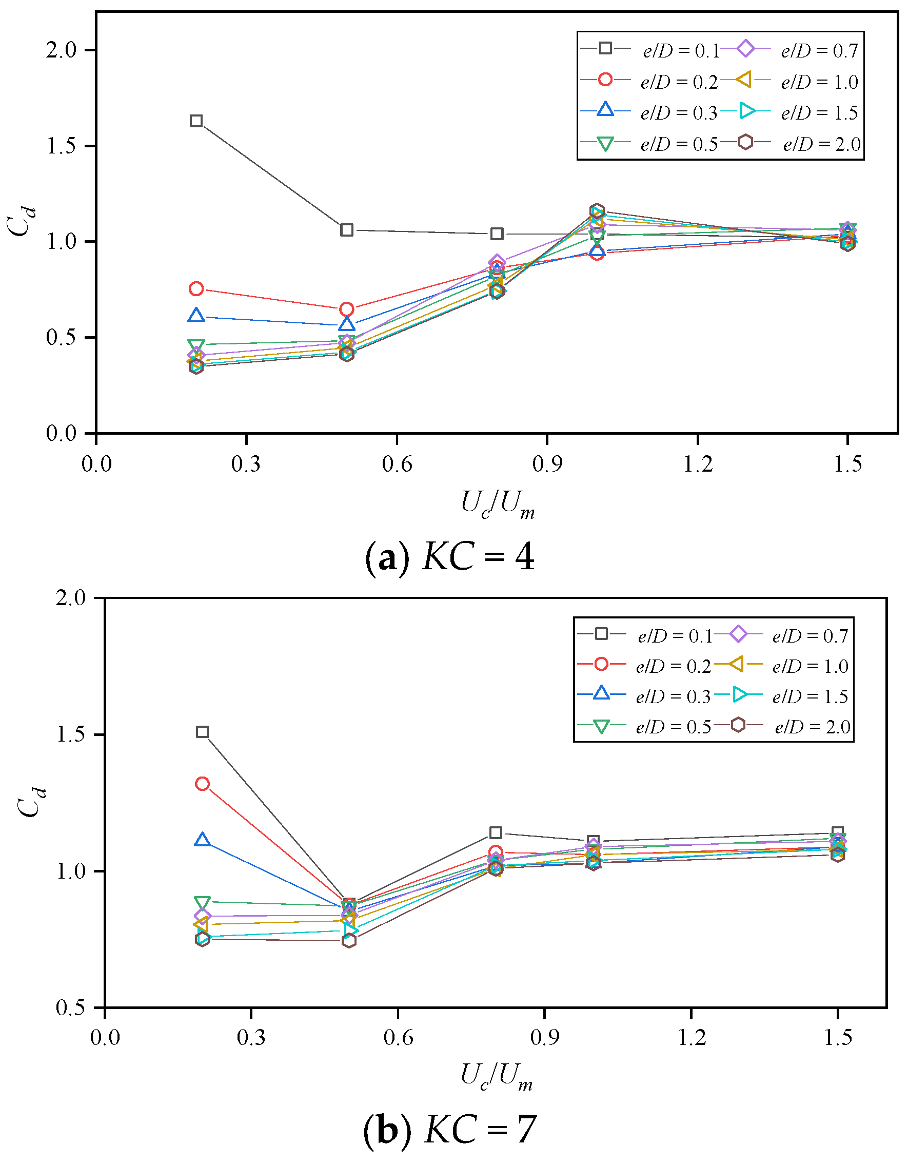
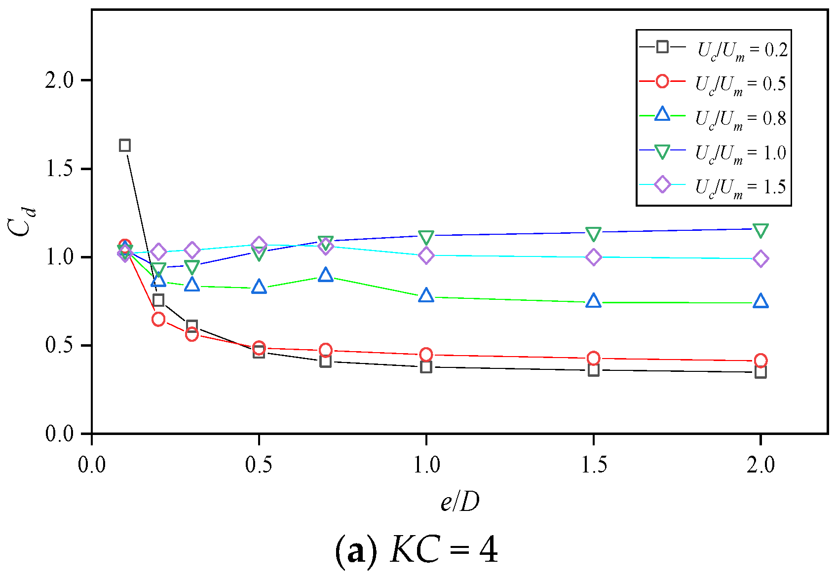
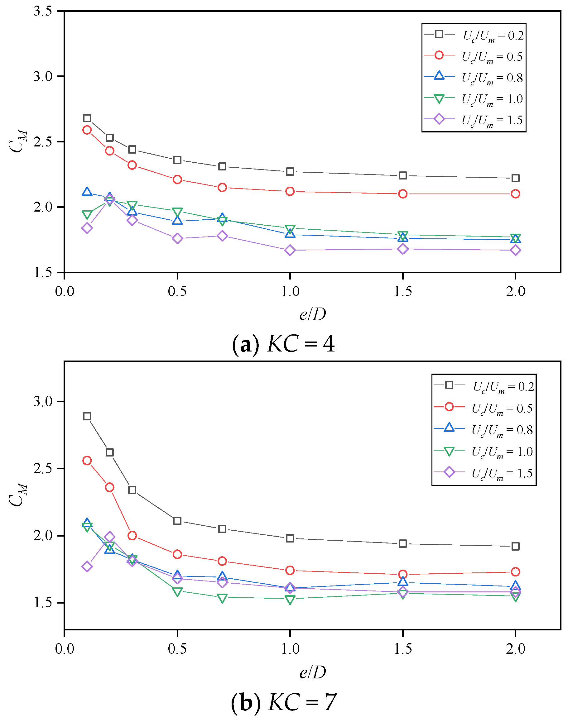
4.2. The Influence of Suspension Ratio e/D on Force Coefficients
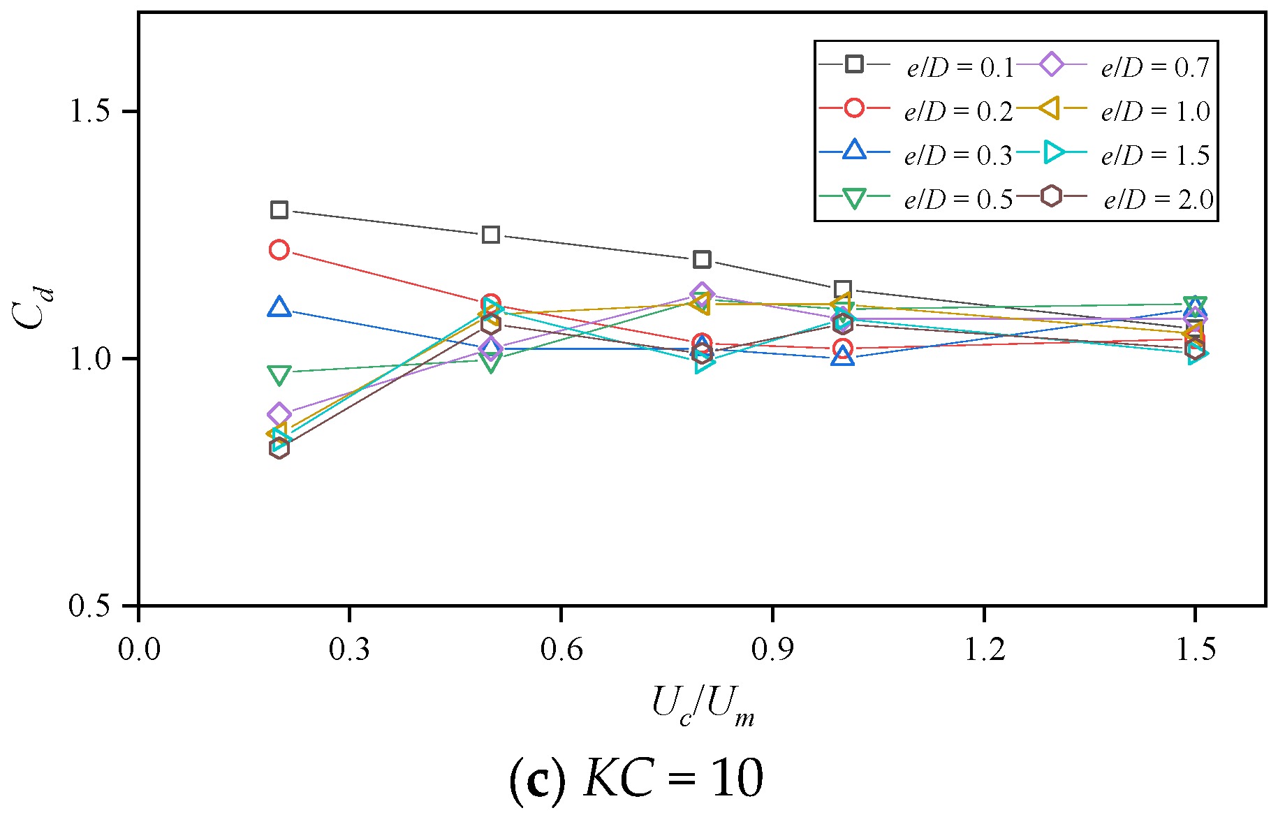
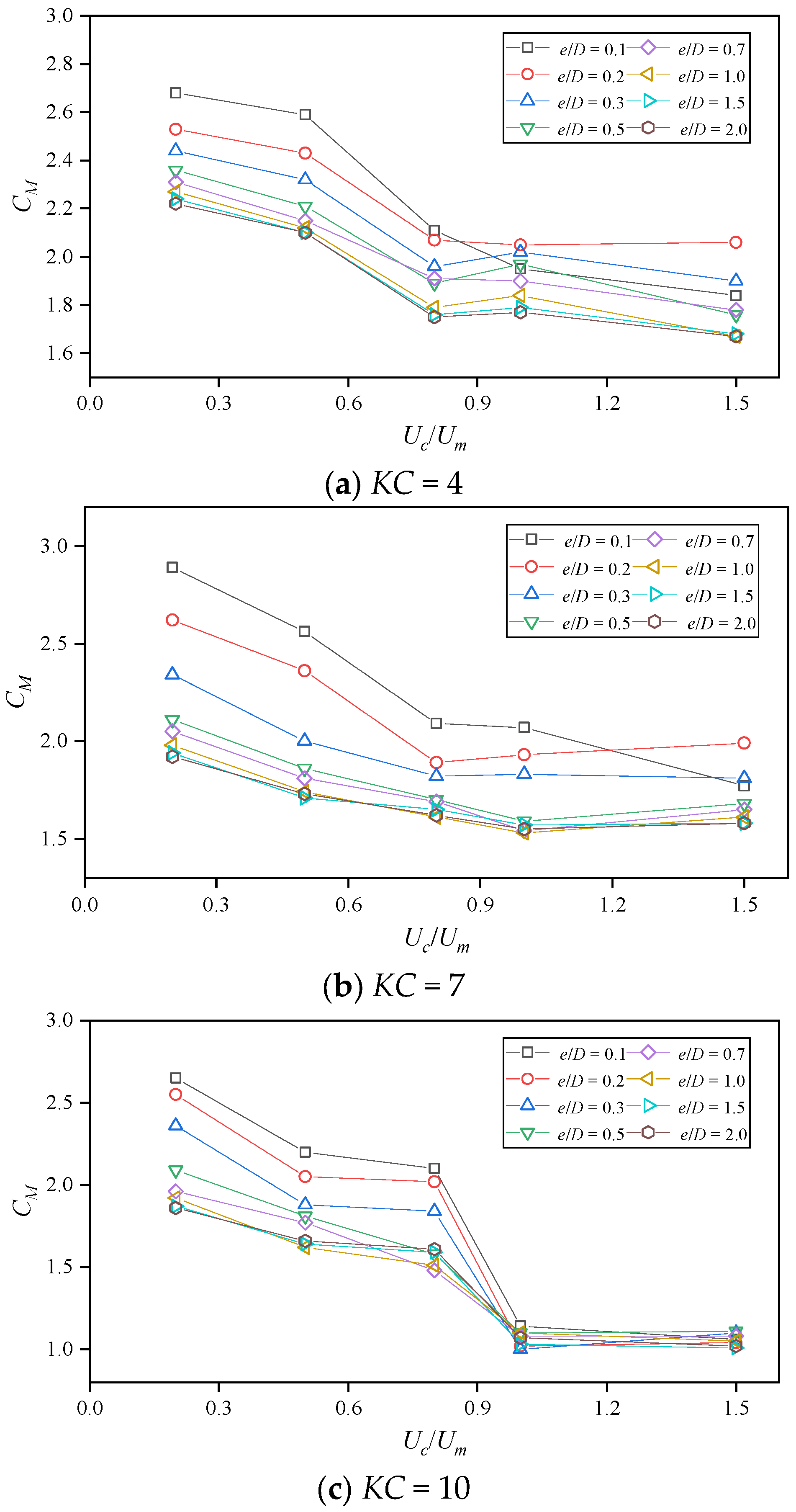
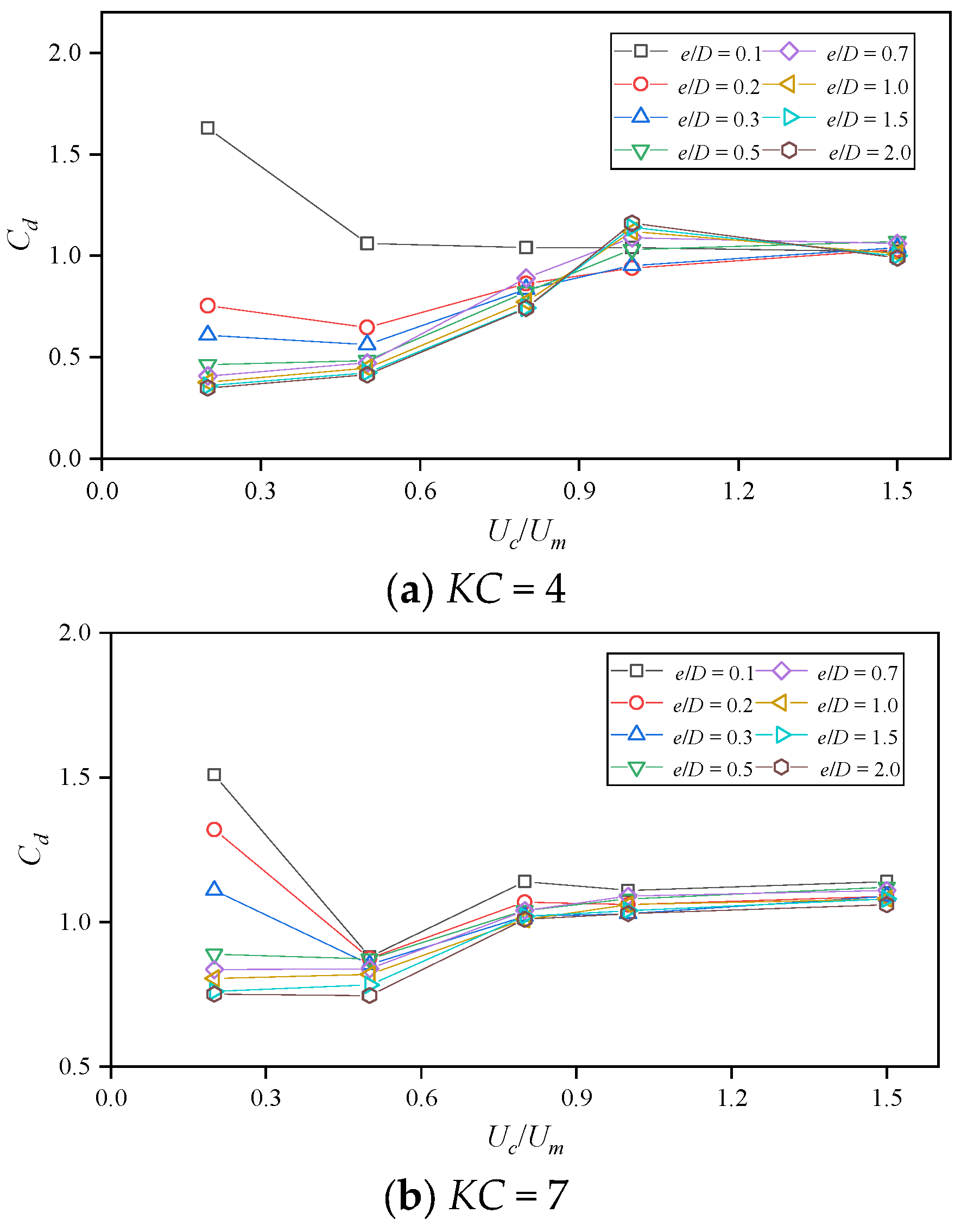
4.3. The Influence of Current-to-Wave Ratio Uc/Um on Force Coefficients
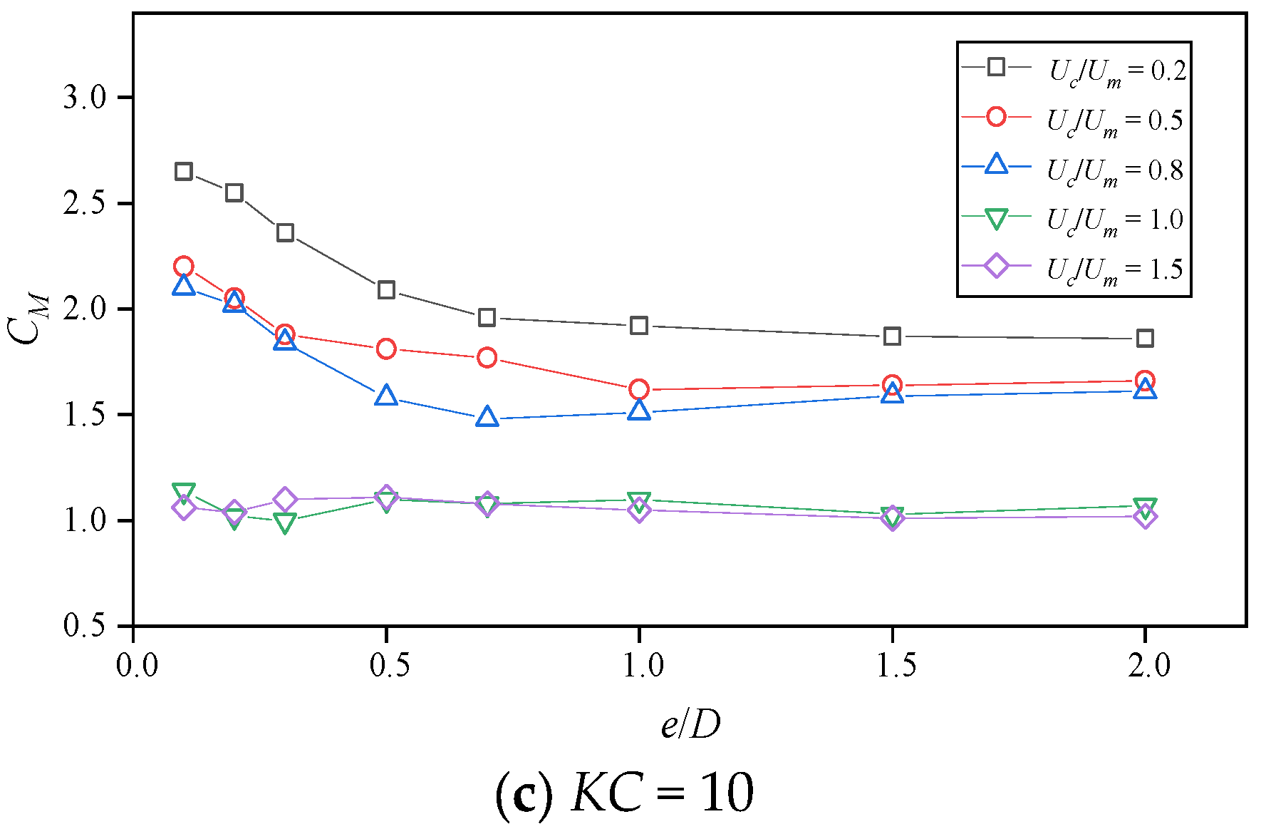
4.4. Prediction Method of Horizontal Force on Suspended Cables Under Combined Wave–Current Conditions
5. Conclusions
- (1)
- For the cable suspension ratio e/D of less than 0.5, the strength of the dependence of both the drag and inertia coefficients on the cable suspension ratio e/D is significantly influenced by the current–wave ratio Uc/Um, while this dependence becomes less pronounced for e/D that is greater than 0.5.
- (2)
- When Uc/Um < 1, the variation trend of Cd with Uc/Um is different under the same KC number but different e/D conditions, and the variation trend of Cd with Uc/Um is also different under the same suspension ratio but different KC number conditions. However, under all KC numbers and e/D conditions, CM shows a monotonically decreasing trend with the increase in Uc/Um. When Uc/Um is greater than 1.0, both Cd and CM almost no longer change with Uc/Um variation.
- (3)
- Based on the simulation results in this article, a double-layer feedforward neural network model was used to establish quantitative relationships between Cd, CM, and {KC, Uc/Um, e/D}, with root mean square deviations of less than 1% and 2%, respectively.
Author Contributions
Funding
Data Availability Statement
Conflicts of Interest
References
- Zhu, J.; Ren, B.; Dong, P.; Cheng, W. Vortex-induced vibrations of a free spanning submarine power cable. Ocean Eng. 2023, 272, 113792. [Google Scholar] [CrossRef]
- Zhang, J.; Chen, Y.; Jia, F.; Zhou, Y.; Li, H.; Li, C.; Huang, X.; Guo, Q. Damage Analysis of Suspended Submarine Cable under Current Force Based on Finite Element Simulation. In Proceedings of the 2021 International Conference on Sensing, Measurement & Data Analytics in the Ara of Artificial Intelligence (ICSMD), Nanjing, China, 21–23 October 2021. [Google Scholar]
- Liang, D.F.; Cheng, L.; Li, F.J. Numerical modeling of flow and scour below a pipeline in currents: Part Ⅱ. Scour simulation. Coast. Eng. 2005, 52, 43–62. [Google Scholar] [CrossRef]
- Cheng, L.; Yeow, K.; Zhang, Z.; Teng, B. Three-dimensional scour below offshore pipelines in steady currents. Coast. Eng. 2009, 56, 577–590. [Google Scholar] [CrossRef]
- Bearman, P.W.; Zdravkovich, M.M. Flow around a circular cylinder near a plane boundary. J. Fluid Mech. 1978, 89, 33–47. [Google Scholar] [CrossRef]
- Lei, C.W.; Cheng, L.; Armfield, S.W.; Kavanagh, K. Vortex shedding suppression for flow over a circular cylinder near a plane boundary. Ocean Eng. 2000, 27, 1109–1127. [Google Scholar] [CrossRef]
- Ong, M.C.; Utnes, T.; Holmedal, L.E.; Myrhaug, D.; Pettersen, B. Numerical simulation of flow around a circular cylinder close to a flat seabed at high Reynolds numbers using a k-ε model. Coast. Eng. 2010, 57, 931–947. [Google Scholar] [CrossRef]
- Lei, C.; Cheng, L.; Kavanagh, K. Re-examination of the effect of a plane boundary on force and vortex shedding of a circular cylinder. J. Wind Eng. Ind. Aerodyn. 1999, 80, 263–286. [Google Scholar] [CrossRef]
- Buresti, G.; Lanciotti, A. Mean and fluctuating forces on a circular cylinder in cross-flow near a plane surface. J. Wind Eng. Ind. Aerodyn. 1992, 41, 639–650. [Google Scholar] [CrossRef]
- An, H.W.; Cheng, L.; Zhao, M. Two-dimensional and three-dimensional simulations of oscillatory flow around a circular cylinder. Ocean Eng. 2015, 109, 270–286. [Google Scholar] [CrossRef]
- Munir, A.; Zhao, M.; Wu, H.; Ning, D.; Lu, L. Numerical investigation of the effect of plane boundary on two-degree-of-freedom of vortex-induced vibration of a circular cylinder in oscillatory flow. Ocean Eng. 2018, 148, 17–32. [Google Scholar] [CrossRef]
- Tong, F.F.; Cheng, L.; An, H.W.; Jiang, H.F. Modes of synchronisation for oscillatory cylinder in steady flow at various angles of attack. In Proceedings of the 21st Australasian Fluid Mechanics Conference, Adelaide, Australia, 10–13 December 2018. [Google Scholar]
- Teng, B.; Mao, H.F.; Ning, D.Z.; Zhang, C.W. Viscous numerical examination of hydrodynamic forces on a submerged horizontal circular cylinder undergoing forced oscillation. J. Hydrodyn. 2019, 31, 887–899. [Google Scholar] [CrossRef]
- Zhao, M.; Cheng, L.; An, H. Three-dimensional numerical simulation of flow around a circular cylinder under combined steady and oscillatory flow. J. Hydrodyn. 2010, 22, 144–149. [Google Scholar] [CrossRef]
- Cao, S.; Li, M. Numerical study of flow over a circular cylinder in oscillatory flows with zero-mean and non-zero-mean velocities. J. Wind Eng. Ind. Aerodyn. 2015, 144, 42–52. [Google Scholar] [CrossRef]
- Deng, Y.; Huang, W.; Zhao, J. Combined action of uniform flow and oscillating flow around marine riser at low keulegan-carpenter number. J. Ocean Univ. China 2014, 13, 390–396. [Google Scholar] [CrossRef]
- Zhao, M.; Kaja, K.; Xiang, Y.; Yan, G. Vortex-induced vibration (VIV) of a circular cylinder in combined steady and oscillatory flow. Ocean Eng. 2013, 73, 83–95. [Google Scholar] [CrossRef]
- Chang, W.Y.; Constantinescu, G. Flow structure around a vertical cylinder placed in an open channel under combined wave-current flows. Phys. Rev. Fluids 2025, 10, 024804. [Google Scholar] [CrossRef]
- Teng, Y.; Griffiths, T.; An, H.; Draper, S.; Cheng, L.; Mohr, H.; Zhang, C.; Tang, G.; Lu, L. Hydrodynamic forces on small-diameter pipelines in combined wave-and-current flows. Coast. Eng. 2025, 202, 104852. [Google Scholar] [CrossRef]
- Menter, F.R. Two-equation eddy-viscosity turbulence models for engineering applications. AIAA J. 1994, 32, 1598–1605. [Google Scholar] [CrossRef]
- Menter, F.R.; Kuntz, M.; Langtry, R. Ten years of industrial experience with the SST turbulence model. Turbul. Heat Mass Transf. 2003, 4, 625–632. [Google Scholar]
- An, H.; Cheng, L.; Zhao, M. Steady streaming around a circular cylinder near a plane boundary due to oscillatory flow. J. Hydraul. Eng.-ASCE 2011, 137, 23–33. [Google Scholar] [CrossRef]
- Oner, A.A.; Kirkgoz, M.S.; Akoz, M.S. Interaction of a current with a circular cylinder near a rigid bed. Ocean Eng. 2008, 35, 1492–1504. [Google Scholar] [CrossRef]
- Sumer, B.M.; Jensen, B.L.; Fredsøe, J. Effect of a plane boundary on oscillatory flow around a circular-cylinder. J. Fluid Mech. 1991, 225, 271–300. [Google Scholar] [CrossRef]
- Liang, D.F.; Cheng, L. Numerical modeling of flow and scour below a pipeline in currents Part I. Flow simulation. Coast. Eng. 2005, 52, 25–42. [Google Scholar] [CrossRef]
- Teng, Y.; Griffiths, T.; Tang, G.; An, H.; Draper, S.; Cheng, L.; Mohr, H. Peak force coefficients on small-diameter spanning pipelines under waves. Coast. Eng. 2022, 177, 104189. [Google Scholar] [CrossRef]
- Teng, Y.; Griffiths, T.; Cheng, L.; Qu, Y.; An, H.; Draper, S.; Gao, Z.; Tang, G.; Lu, L. Effect of steady boundary-layer flow on the hydrodynamic forces on a near-wall cylinder in currents. Ocean Eng. 2024, 313, 119338. [Google Scholar] [CrossRef]


















| β* | α1 | β1 | σk1 | σω1 | α2 | β2 | σk2 | σω2 |
|---|---|---|---|---|---|---|---|---|
| 0.09 | 5/9 | 3/40 | 0.85 | 0.5 | 0.44 | 0.0828 | 1.0 | 0.856 |
| Grid Number | The Height of the First Grid Layer on the Cable | Cd | CM |
|---|---|---|---|
| G1 | 0.003 D | 1.25 | 1.60 |
| G2 | 0.002 D | 1.51 | 2.05 |
| G3 | 0.001 D | 1.42 | 2.07 |
| G4 | 0.0005 D | 1.41 | 2.08 |
| Grid Number | Number of Nodes on the Cable Surface | CD | CL |
|---|---|---|---|
| G5 | 120 | 1.18 | 0.151 |
| G6 | 140 | 1.27 | 0.124 |
| G7 | 160 | 1.28 | 0.115 |
| G8 | 180 | 1.29 | 0.118 |
Disclaimer/Publisher’s Note: The statements, opinions and data contained in all publications are solely those of the individual author(s) and contributor(s) and not of MDPI and/or the editor(s). MDPI and/or the editor(s) disclaim responsibility for any injury to people or property resulting from any ideas, methods, instructions or products referred to in the content. |
© 2025 by the authors. Licensee MDPI, Basel, Switzerland. This article is an open access article distributed under the terms and conditions of the Creative Commons Attribution (CC BY) license (https://creativecommons.org/licenses/by/4.0/).
Share and Cite
Zhao, D.; Huang, X.; Cen, Z.; Ren, J.; Zhan, B.; Tang, G. Numerical Investigation on the Hydrodynamic Characteristics of Submarine Power Cables for Offshore Wind Turbines Under Combined Wave–Current Loading. J. Mar. Sci. Eng. 2025, 13, 2067. https://doi.org/10.3390/jmse13112067
Zhao D, Huang X, Cen Z, Ren J, Zhan B, Tang G. Numerical Investigation on the Hydrodynamic Characteristics of Submarine Power Cables for Offshore Wind Turbines Under Combined Wave–Current Loading. Journal of Marine Science and Engineering. 2025; 13(11):2067. https://doi.org/10.3390/jmse13112067
Chicago/Turabian StyleZhao, Deping, Xiaowei Huang, Zhenjin Cen, Jianfeng Ren, Bolin Zhan, and Guoqiang Tang. 2025. "Numerical Investigation on the Hydrodynamic Characteristics of Submarine Power Cables for Offshore Wind Turbines Under Combined Wave–Current Loading" Journal of Marine Science and Engineering 13, no. 11: 2067. https://doi.org/10.3390/jmse13112067
APA StyleZhao, D., Huang, X., Cen, Z., Ren, J., Zhan, B., & Tang, G. (2025). Numerical Investigation on the Hydrodynamic Characteristics of Submarine Power Cables for Offshore Wind Turbines Under Combined Wave–Current Loading. Journal of Marine Science and Engineering, 13(11), 2067. https://doi.org/10.3390/jmse13112067

