Experimental Study on the Seismic Dynamic Response of a Valve Tower on an Offshore Converter Platform
Abstract
1. Introduction
2. Experiments
2.1. Similarity Criterion
2.2. Physical Model
2.3. Test Conditions
3. Results and Discussion
3.1. Dynamic Characteristics of the Model
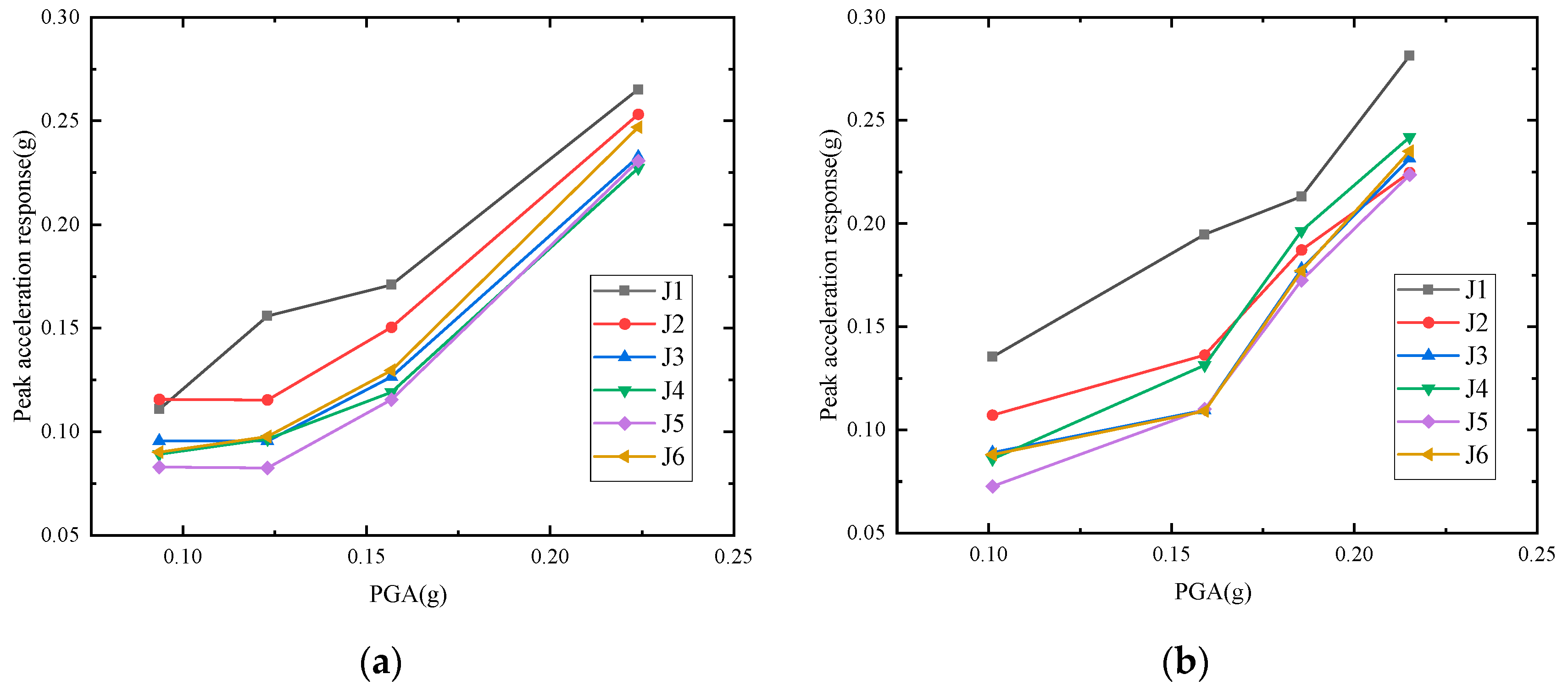
3.2. Effect of Seismic Intensity on Structural Response
3.3. Effect of Seismic Spectral Characteristics on Structural Response
3.4. Dynamic Characteristics of the Valve Tower
4. Conclusions
- (i)
- The structure’s first-mode natural frequency in the X-direction is 3.92 Hz, with a second-mode characteristic frequency of approximately 50.10 Hz, and an average first-mode damping ratio of 3.21%. These parameters, obtained through white-noise excitation and power spectral density analysis, confirm that the test effectively reproduces the prototype’s seismic response, providing a reliable basis for subsequent response spectrum analysis and design verification.
- (ii)
- As peak ground acceleration increases, both acceleration and strain peak values exhibit near-linear growth, with the amplification effect in the upper equipment section significantly greater than in the lower leg section. Strain gauges aligned with the X-direction loading axis record the maximum responses, indicating pronounced directional sensitivity. This suggests that seismic design should prioritize controlling structural vibrations in the upper section and stress concentration along the primary loading direction under high PGA conditions.
- (iii)
- Differences in the spectral energy distribution of seismic waves lead to significant variations in response. Resonance amplification depends on the spectral match between the input ground motion and the structure’s natural frequencies, highlighting that PGA alone is insufficient as a basis for seismic design. The selection of input ground motions should consider frequency content to mitigate resonance risks.
- (iv)
- The lower leg section is more sensitive to high-frequency inputs, while the upper equipment section is dominated by low-frequency energy. The mid-section connection zone exhibits high amplitudes in both modes, indicating vibration concentration due to stiffness transitions. Structural design should focus on enhancing the fatigue resistance of the lower legs, mitigating low-frequency resonance in the upper section, and addressing multi-frequency coupling effects in the mid-section connection zone.
Author Contributions
Funding
Data Availability Statement
Conflicts of Interest
References
- Yang, B.; Liu, B.; Zhou, H.; Wang, J.; Yao, W.; Wu, S.; Shu, H.; Ren, Y. A critical survey of technologies of large offshore wind farm integration: Summary, advances, and perspectives. Prot. Control Mod. Power Syst. 2022, 7, 1–3. [Google Scholar] [CrossRef]
- Dakic, J.; Cheah, M.; Gomis, B.O. HVAC transmission system for offshore wind power plants including mid-cable reactive power compensation: Optimal design and comparison to VSC-HVDC transmission. IEEE Trans. Power Deliv. 2020, 36, 2814–2824. [Google Scholar] [CrossRef]
- Negra, N.B.; Todorovic, J.; Ackermann, T. Loss evaluation of HVAC and HVDC transmission solutions for large offshore wind farms. Electr. Power Syst. Res. 2006, 76, 916–927. [Google Scholar] [CrossRef]
- Liu, Q.; Lei, X.; Lai, Y.; Qin, M.; Zhang, X.; Ma, L.; Dai, K.; Yang, Y.; Bashir, M. Analysis of dynamic response of offshore wind turbines subjected to earthquake loadings and the corresponding mitigation measures: A review. Ocean Eng. 2024, 311 Pt 2, 118892. [Google Scholar] [CrossRef]
- Zhao, L.; Shan, Z.; Wang, M. Seismic response and spectrum analysis of offshore wind farm sites in Jiangsu Province, China. In Proceedings of the ISRM Regional Symposium—11th Asian Rock Mechanics Symposium, Beijing, China, 20–25 October 2021. [Google Scholar]
- Sun, Z.; Zhao, S.; Bi, C.; Chen, Q.; Huang, S.; Chen, J. Dynamic response analysis of an offshore converter platform with valve towers under seismic excitation. Symmetry 2022, 14, 1635. [Google Scholar] [CrossRef]
- Lan, D.; Li, J.; Chen, J.; Xu, Q. Floor response spectra of offshore electrical platform under sea waves and earthquake. Ocean Eng. 2022, 265, 112623. [Google Scholar] [CrossRef]
- Cheng, Y.; Lin, S.; Lu, Z.; Sun, Y.; Chen, E. Seismic performance evaluation of UHV valve. Proc. SPIE 2024, 13419, 134193C. [Google Scholar]
- Ding, C.; Liu, Y.; Zhu, P.; Li, J.; Pu, G. Analysis of the seismic performance of ±500 kV flexible DC converter valves. Energies 2023, 16, 6335. [Google Scholar] [CrossRef]
- He, C.; Xie, Q.; Ma, G.; Yang, Z.; Zhuo, R. Seismic behavior of ±800 kV UHV converter transformer and bushing system. High Volt. Eng. 2018, 44, 1878–1883. [Google Scholar]
- Zhang, W.; Yu, H.; Gao, B.; Liu, B.; Yin, C. Experimental study on seismic simulation shake table of UHV suspended converter valve. High Volt. Apparatus 2022, 58, 142–149. [Google Scholar]
- Zhang, X.; Lyu, Y. Seismic performance analysis of ±600 kV converter transformer circuit. High Volt. Apparatus 2022, 58, 50–56. [Google Scholar]
- Kang, C.; Huo, H.; Li, N.; Liu, B.; Guo, F. Annual maintenance mode of converter station and preventive test method of DC equipment. Appl. Math. Nonlinear Sci. 2025, 10, 0512. [Google Scholar] [CrossRef]
- Wang, J.; Wu, H.; Deng, Z.; Peng, Z.; Liao, J. E-field distribution analysis on three types of converter double valve in 800 kV valve hall. In Proceedings of the 2015 IEEE 11th International Conference on the Properties and Applications of Dielectric Materials (ICPADM), Sydney, NSW, Australia, 19–22 July 2015; pp. 1–4. [Google Scholar]
- Liu, X.; Xie, Q. A multi-model probabilistic framework to evaluate seismic resilience of UHV converter stations. Eng. Struct. 2024, 300, 117153. [Google Scholar] [CrossRef]
- Chen, J.-L.; Li, J.-W.; Wang, D.-W.; Feng, Y. Seismic response analysis of steel–concrete hybrid wind turbine tower. J. Vib. Control 2021, 28, 2240–2253. [Google Scholar] [CrossRef]
- Sun, Q.G.; Wu, X.F.; Di, J.J.; Zhou, Y.C. Seismic analysis for the suspended converter valve tower of the UHV. Appl. Mech. Mater. 2012, 187, 196–201. [Google Scholar] [CrossRef]
- Yang, Z.; Xie, Q.; Zhou, Y.; Mosalam, K.M. Seismic performance and restraint system of suspended 800 kV thyristor valve. Eng. Struct. 2018, 169, 179–187. [Google Scholar] [CrossRef]
- Tu, M. Parameter Identification and Isolation Performance of Supported Flexible DC Converter Valve Towers. Master’s Thesis, South China University of Technology, Guangzhou, China, 2022. [Google Scholar]
- Xiao, J.; Li, S.; Wang, Y.; Mao, Z.; Zhang, C. Study on a method for improving the seismic performance of converter valve towers. New Technol. New Process 2017, 12, 39–42. [Google Scholar]
- Zheng, Q.; Sun, X.; Lou, Y.; Zhang, L.; Zhang, Y.; Dong, Y. Lightweight design and simulation analysis of ±500 kV offshore VSC-HVDC converter valve. High Volt. Apparatus 2023, 59, 188–201. [Google Scholar]
- Lan, D.-N.; Li, J.; Xu, Q.; Chen, J. Influence of the offshore electrical platform on the dynamic responses of converter valve under sea waves and earthquakes. Ships Offshore Struct. 2021, 17, 2531–2544. [Google Scholar] [CrossRef]
- Sun, Z.-Z.; Bi, C.-W.; Zhao, S.-X.; Dong, G.-H.; Yu, H.-F. Experimental analysis on dynamic responses of an electrical platform for an offshore wind farm under earthquake load. J. Mar. Sci. Eng. 2019, 7, 279. [Google Scholar] [CrossRef]
- Zhao, S.-X.; Bi, C.-W.; Sun, Z.-Z. Engineering analysis of the dynamic characteristics of an electrical jacket platform of an offshore wind farm under seismic loads. Appl. Ocean Res. 2021, 112, 102692. [Google Scholar] [CrossRef]
- Sun, Z.-Z.; Yu, Y.; Wang, H.-K.; Huang, S.; Chen, J. Dynamic response analysis of offshore converter station based on vector form intrinsic finite element (VFIFE) method. J. Mar. Sci. Eng. 2022, 10, 749. [Google Scholar] [CrossRef]
- Zhang, D.-L.; Bi, C.-W.; Wu, G.-Y.; Zhao, S.-X.; Dong, G.-H. Laboratory experimental investigation on the hydrodynamic responses of an extra-large electrical platform in wave and storm conditions. Water 2019, 11, 2042. [Google Scholar] [CrossRef]
- Wang, J.; Liu, X.; Li, W.; Liu, F.; Hancock, C. Time–frequency extraction model based on variational mode decomposition and Hilbert–Huang transform for offshore oil platforms using MIMU data. Symmetry 2021, 13, 1443. [Google Scholar]
- Zhang, L.; Xiao, J.; Lv, W.; Zeng, D. Research on seismic analysis of converter valve of offshore flexible high voltage direct current considering the effect of initial displacement. E3S Web Conf. 2021, 252, 01037. [Google Scholar] [CrossRef]
- Ma, C.; Saghi, H.; Choo, Y.-W.; Ju, Y.K.; Yoo, C.; Z, G. Influence of different foundation models on the dynamic response of jacket offshore wind turbines with local joint flexibility. Steel Compos. Struct. 2024, 53, 629–651. [Google Scholar]
- Lin, G.; Zhu, T.; Lin, B. Similarity techniques for structural dynamic model tests. J. Dalian Univ. Technol. 2000, 1, 1–8. [Google Scholar]
- Zhu, T. Research on Similarity Problems of Structural Dynamic Models and Structural Dynamic Test Technologies. Ph.D. Thesis, Dalian University of Technology, Dalian, China, 2004. [Google Scholar]
- Chakrabarti, S. Handbook of Offshore Engineering; Elsevier Press: Amsterdam, The Netherlands, 2005. [Google Scholar]
- CCS GD23-2004; Specification for the Construction and Inspection of Shallow Sea Fixed Platforms. China Communications Press: Beijing, China, 2004.
- IEEE Std 693-2018; IEEE Recommended Practice for Seismic Design of Substations. IEEE: Piscataway, NJ, USA, 2018.
- IEC TR 62271-300:2006; High-Voltage Switchgear and Controlgear—Part 300: Seismic Qualification of Alternating Current Circuit-Breakers. IEC: Geneva, Switzerland, 2006.










| Parameter | Similarity Ratio | Similar Scale |
|---|---|---|
| Length | λ | 25 |
| Area | λA | 296.53 |
| Volume | λ·λA | 7413.25 |
| Density | λρ = 1 | 1 |
| Mass | λρ·λ·λA | 7413.25 |
| Velocity | 5 | |
| Acceleration | λg = 1 | 1 |
| Time | 5 | |
| Frequency | 0.2 | |
| Force | λ3 | 15,625 |
| Moment of force | λ4 | 390,625 |
| Area moment | λA·λr2 | 87,929.57 |
| Mass moment | λ·λA·λr2 | 2,198,239.16 |
| Stress | λ4·λD·λA−1·λr−2 | 81.44 |
| Earthquake Wave | Peak Ground Acceleration | Condition Number |
|---|---|---|
| CCS Spectrum | 0.10 g, 0.15 g, 0.20 g, 0.25 g | A1, A2, A3, A4 |
| RSN913_BIGBEAR | 0.10 g, 0.15 g, 0.20 g, 0.25 g | B1, B2, B3, B4 |
| RSN3456_CHICHI | 0.10 g, 0.15 g, 0.20 g, 0.25 g | C1, C2, C3, C4 |
| RSN2474_CHICHI03 | 0.10 g, 0.15 g, 0.20 g, 0.25 g | D1, D2, D3, D4 |
| RSN1585CHICHIT | 0.10 g, 0.15 g, 0.20 g, 0.25 g | E1, E2, E3, E4 |
| Condition | Valve Tower Base Loading Conditions | |||||
|---|---|---|---|---|---|---|
| A1 | A1-1 | A1-2 | A1-3 | A1-4 | A1-5 | A1-6 |
| A2 | A2-1 | A2-2 | A2-3 | A2-4 | A2-5 | A2-6 |
| A3 | A3-1 | A3-2 | A3-3 | A3-4 | A3-5 | A3-6 |
| A4 | A4-1 | A4-2 | A4-3 | A4-4 | A4-5 | A4-6 |
| B1 | B1-1 | B1-2 | B1-3 | B1-4 | B1-5 | B1-6 |
| B2 | B2-1 | B2-2 | B2-3 | B2-4 | B2-5 | B2-6 |
| B3 | B3-1 | B3-2 | B3-3 | B3-4 | B3-5 | B3-6 |
| B4 | B4-1 | B4-2 | B4-3 | B4-4 | B4-5 | B4-6 |
| C1 | C1-1 | C1-2 | C1-3 | C1-4 | C1-5 | C1-6 |
| C2 | C2-1 | C2-2 | C2-3 | C2-4 | C2-5 | C2-6 |
| C3 | C3-1 | C3-2 | C3-3 | C3-4 | C3-5 | C3-6 |
| C4 | C4-1 | C4-2 | C4-3 | C4-4 | C4-5 | C4-6 |
| D1 | D1-1 | D1-2 | D1-3 | D1-4 | D1-5 | D1-6 |
| D2 | D2-1 | D2-2 | D2-3 | D2-4 | D2-5 | D2-6 |
| D3 | D3-1 | D3-2 | D3-3 | D3-4 | D3-5 | D3-6 |
| D4 | D4-1 | D4-2 | D4-3 | D4-4 | D4-5 | D4-6 |
| E1 | E1-1 | E1-2 | E1-3 | E1-4 | E1-5 | E1-6 |
| E2 | E2-1 | E2-2 | E2-3 | E2-4 | E2-5 | E2-6 |
| E3 | E3-1 | E3-2 | E3-3 | E3-4 | E3-5 | E3-6 |
| E4 | E4-1 | E4-2 | E4-3 | E4-4 | E4-5 | E4-6 |
| Measurement Point Number | First-Order Frequency (Hz) | Second-Order Frequency (Hz) |
|---|---|---|
| J1 | 3.92 | 50.10 |
| J2 | 3.92 | 50.10 |
| J3 | 3.92 | 50.10 |
| J4 | 3.92 | 50.10 |
| J5 | 3.92 | 50.10 |
| J6 | 3.92 | 50.10 |
| Acceleration Measurement Point Number | The First-Order Vibration Mode Damping Ratio |
|---|---|
| J1 | 3.10% |
| J2 | 3.21% |
| J3 | 3.23% |
| J4 | 3.21% |
| J5 | 3.28% |
| J6 | 3.23% |
| Average value | 3.21% |
Disclaimer/Publisher’s Note: The statements, opinions and data contained in all publications are solely those of the individual author(s) and contributor(s) and not of MDPI and/or the editor(s). MDPI and/or the editor(s) disclaim responsibility for any injury to people or property resulting from any ideas, methods, instructions or products referred to in the content. |
© 2025 by the authors. Licensee MDPI, Basel, Switzerland. This article is an open access article distributed under the terms and conditions of the Creative Commons Attribution (CC BY) license (https://creativecommons.org/licenses/by/4.0/).
Share and Cite
Zhang, W.; Sun, Z.; Wang, T.; Chen, J.; Sun, Q.; Dong, G.; Bi, C. Experimental Study on the Seismic Dynamic Response of a Valve Tower on an Offshore Converter Platform. J. Mar. Sci. Eng. 2025, 13, 1969. https://doi.org/10.3390/jmse13101969
Zhang W, Sun Z, Wang T, Chen J, Sun Q, Dong G, Bi C. Experimental Study on the Seismic Dynamic Response of a Valve Tower on an Offshore Converter Platform. Journal of Marine Science and Engineering. 2025; 13(10):1969. https://doi.org/10.3390/jmse13101969
Chicago/Turabian StyleZhang, Wei, Zhenzhou Sun, Tianchai Wang, Jiefeng Chen, Qiying Sun, Guohai Dong, and Chunwei Bi. 2025. "Experimental Study on the Seismic Dynamic Response of a Valve Tower on an Offshore Converter Platform" Journal of Marine Science and Engineering 13, no. 10: 1969. https://doi.org/10.3390/jmse13101969
APA StyleZhang, W., Sun, Z., Wang, T., Chen, J., Sun, Q., Dong, G., & Bi, C. (2025). Experimental Study on the Seismic Dynamic Response of a Valve Tower on an Offshore Converter Platform. Journal of Marine Science and Engineering, 13(10), 1969. https://doi.org/10.3390/jmse13101969
