Maritime Transport Network Optimisation with Respect to Environmental Footprint and Enhanced Resilience: A Case Study for the Aegean Sea
Abstract
1. Introduction
2. Materials and Methods
2.1. Background
2.1.1. Legislation and Regulations
2.1.2. Optimisation–Dynamic Programming
2.1.3. Resilience and Disruption in Transport Systems
2.2. Methodology
- is the calculated engine power for a single timestamp;
- is the reference power of the main engine, namely the installed power;
- is the instantaneous draught of the ship, as provided by AIS data;
- is the design draught of the ship;
- is the instantaneous ship speed, as provided by AIS data;
- is the design speed of the ship;
- m is the draught ratio exponent, and is equal to 0.66, for all ship types based on the Fourth IMO GHG Study [3];
- n is the speed ratio exponent, and is equal to 3, for all ship types based on the Fourth IMO GHG Study [3];
- , a correction factor, is applied to certain ship types and sizes to adjust the speed–power relationship. It is equal to 0.75 for large containers, 0.7 for cruises, and 1 for the remaining ships [3];
- represents the weather modifier to the ship’s propulsive efficiency, and is equal to 0.909 for mainly small ships and 0.867 for all other ship types and sizes [3];
- represents the fouling modifier, and is equal to 0.917 for all ship types and sizes [3];
- is the specific fuel oil consumption;
- is the reference specific fuel consumption, and varies based on engine/system age, fuel type, engine type, and system, according to the Fourth IMO GHG Study [3];
- is the hourly main engine loading given as a proportion, calculated by the calculated engine power and reference power.
- Etrip is the emission over a complete trip (g);
- EM represents the hourly emissions (g);
- T is the duration of the operational phase p (h). The cruise time, if unknown, can be calculated as follows, in Equation (11):
- e is the engine category;
- p represents the different phases of the trip
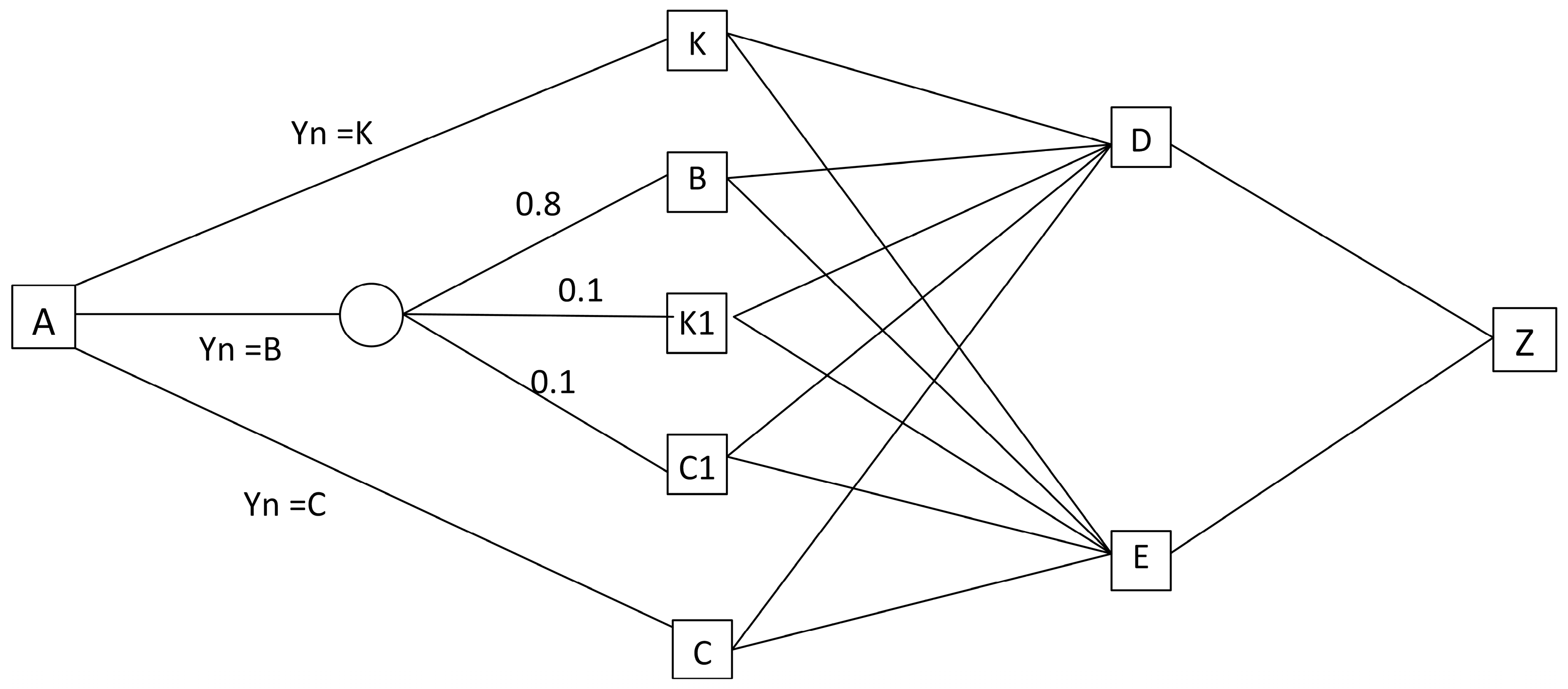
2.3. Case Study Description
3. Results
3.1. Results of the Realistic Case
3.1.1. Scenario 1
3.1.2. Scenario 3
3.1.3. Scenario 4
3.2. Results of the Theoretical Model
Scenario 8
4. Discussion
Author Contributions
Funding
Data Availability Statement
Conflicts of Interest
Abbreviations
| AE | Auxiliary Engine |
| AIS | Automatic Identification System |
| BO | Boiler |
| CH4 | Methane |
| CO2 | Carbon Dioxide |
| CO2eq | Carbon Dioxide Equivalent |
| GHG | Greenhouse Gas |
| GWP | Global Warming Potential |
| IMO | International Maritime Organisation |
| MCR | Maximum Continuous Rating |
| MDO | Marine Diesel Oil |
| ME | Main Engine |
| MSD | Medium Speed Diesel |
| N2O | Nitrous Oxide |
| NOx | Nitrogen Oxides |
| PM | Particulate Matter |
| SFC | Specific Fuel Consumption |
| SOx | Sulphur Oxides |
| SSD | Slow Speed Diesel |
References
- Meng, L.; Liu, K.; He, J.; Han, C.; Liu, P. Carbon emission reduction behavior strategies in the shipping industry under government regulation: A tripartite evolutionary game analysis. J. Clean. Prod. 2022, 378, 134556. [Google Scholar] [CrossRef]
- Statista Transport Volume of Seaborne Trade from 1990 to 2023. Available online: https://www.statista.com/statistics/264117/tonnage-of-worldwide-maritime-trade-since-1990/ (accessed on 24 July 2025).
- IMO. Fourth IMO GHG Study 2020—Full Report and Annexes; IMO: London, UK, 2020. [Google Scholar]
- Wang, K.; Hua, Y.; Huang, L.; Guo, X.; Liu, X.; Ma, Z.; Ma, R.; Jiang, X. A novel GA-LSTM-based prediction method of ship energy usage based on the characteristics analysis of operational data. Energy 2023, 282, 128910. [Google Scholar] [CrossRef]
- Li, Z.; Wang, K.; Hua, Y.; Liu, X.; Ma, R.; Wang, Z.; Huang, L. GA-LSTM and NSGA-III based collaborative optimization of ship energy efficiency for low-carbon shipping. Ocean Eng. 2024, 312, 119190. [Google Scholar] [CrossRef]
- Wang, K.; Wang, J.; Huang, L.; Yuan, Y.; Wu, G.; Xing, H.; Wang, Z.; Wang, Z.; Jiang, X. A comprehensive review on the prediction of ship energy consumption and pollution gas emissions. Ocean Eng. 2022, 266, 112826. [Google Scholar] [CrossRef]
- IMO. Marine Environment. Available online: https://www.imo.org/en/OurWork/Environment/Pages/Default.aspx (accessed on 1 May 2025).
- Nunes, R.A.O.; Alvim-Ferraz, M.C.M.; Martins, F.G.; Sousa, S.I.V. The activity-based methodology to assess ship emissions—A review. Environ. Pollut. 2017, 231, 87–103. [Google Scholar] [CrossRef]
- Garbatov, Y.; Georgiev, P. Advances in the Prevention of Shipping-Related Air Pollution. Energies 2024, 17, 5991. [Google Scholar] [CrossRef]
- Sanchez, R.; Sanchez, S.; Barleta, E. Towards the Decontamination of Maritime Transport in International Trade: Methodology and Estimation of CO2 Emissions. 2020. Available online: https://repositorio.cepal.org/server/api/core/bitstreams/5567fb32-df07-4a2c-99a1-00057b2b8b3f/content (accessed on 1 May 2025).
- DNV. Emissions Control in the European Union. Available online: https://www.dnv.com/maritime/hub/decarbonize-shipping/key-drivers/regulations/regional-developments/eu/ (accessed on 1 May 2025).
- Christodoulou, A.; Gonzalez-Aregall, M.; Linde, T.; Vierth, I.; Cullinane, K. Targeting the reduction of shipping emissions to air: A global review and taxonomy of policies, incentives and measures. Marit. Bus. Rev. 2019, 4, 16–30. [Google Scholar] [CrossRef]
- Bradley, S.P.; Hax, A.C.; Magnanti, T.L. Applied Mathematical Programming—Chapter11: Dynamic Programming; Addison-Wesley: Boston, MA, USA, 1977. [Google Scholar]
- Zaccone, R.; Ottaviani, E.; Figari, M.; Altosole, M. Ship voyage optimization for safe and energy-efficient navigation: A dynamic programming approach. Ocean Eng. 2018, 153, 215–224. [Google Scholar] [CrossRef]
- Li, L.; Lai, K.K. Fuzzy dynamic programming approach to hybrid multiobjective multistage decision-making problems. Fuzzy Sets Syst. 2001, 117, 13–25. [Google Scholar] [CrossRef]
- Zaccone, R. A Dynamic Programming Approach to the Collision Avoidance of Autonomous Ships. Mathematics 2024, 12, 1546. [Google Scholar] [CrossRef]
- He, Z.; Zhou, J.; Mo, L.; Qin, H.; Xiao, X.; Jia, B.; Wang, C. Multiobjective Reservoir Operation Optimization Using Improved Multiobjective Dynamic Programming Based on Reference Lines. IEEE Access 2019, 7, 103473–103484. [Google Scholar] [CrossRef]
- Psaraftis, H.N. Maritime Transport Economics II—Part I: Decision Theory Methodology; NTUA: Athens, Greece, 2007. [Google Scholar]
- Chiandussi, G.; Codegone, M.; Ferrero, S.; Varesio, F.E. Comparison of multi-objective optimization methodologies for engineering applications. Comput. Math. Appl. 2012, 63, 912–942. [Google Scholar] [CrossRef]
- Christiansen, M.; Fagerholt, K. Maritime Inventory Routing Problems; Springer: Boston, MA, USA, 2008. [Google Scholar]
- Latinopoulos, C.; Zavvos, E.; Kaklis, D.; Leemen, V.; Halatsis, A. Marine Voyage Optimization and Weather Routing with Deep Reinforcement Learning. J. Mar. Sci. Eng. 2025, 13, 902. [Google Scholar] [CrossRef]
- Wang, H.; Lang, X.; Mao, W. Voyage optimization combining genetic algorithm and dynamic programming for fuel/emissions reduction. Transp. Res. Part Transp. Environ. 2021, 90, 102670. [Google Scholar] [CrossRef]
- Moradi, M.H.; Brutsche, M.; Wenig, M.; Wagner, U.; Koch, T. Marine route optimization using reinforcement learning approach to reduce fuel consumption and consequently minimize CO2 emissions. Ocean Eng. 2022, 259, 111882. [Google Scholar] [CrossRef]
- Du, W.; Li, Y.; Zhang, G.; Wang, C.; Zhu, B.; Qiao, J. Energy saving method for ship weather routing optimization. Ocean Eng. 2022, 258, 111771. [Google Scholar] [CrossRef]
- Kim, K.-I.; Lee, K.M. Dynamic Programming-Based Vessel Speed Adjustment for Energy Saving and Emission Reduction. Energies 2018, 11, 1273. [Google Scholar] [CrossRef]
- He, Y.; Yang, Y.; Wang, M.; Zhang, X. Resilience Analysis of Container Port Shipping Network Structure: The Case of China. Sustainability 2022, 14, 9489. [Google Scholar] [CrossRef]
- Ahmed, S.; Dey, K. Resilience modeling concepts in transportation systems: A comprehensive review based on mode, and modeling techniques. J. Infrastruct. Preserv. Resil. 2020, 1, 8. [Google Scholar] [CrossRef]
- Doundoulakis, E.; Papaefthimiou, S. A comparative methodological approach for the calculation of ships air emissions and fuel-energy consumption in two major Greek ports. Marit. Policy Manag. 2021, 49, 1135–1154. [Google Scholar] [CrossRef]
- IMO. Third IMO Greenhouse Gas Study 2014. 2014. Available online: https://wwwcdn.imo.org/localresources/en/OurWork/Environment/Documents/Third%20Greenhouse%20Gas%20Study/GHG3%20Executive%20Summary%20and%20Report.pdf (accessed on 4 May 2025).
- Olmer, N.; Comer, B.; Roy, B.; Mao, X.; Rutherford, D. Greenhouse Gas Emissions from Global Shipping, 2013–2015; International Council on Clean Transportation: Berlin, Germany, 2017. [Google Scholar]
- IMO. 2024 Guidelines on Life Cycle Ghg Intensity of Marine Fuels (2024 Lca Guidelines). Available online: https://wwwcdn.imo.org/localresources/en/KnowledgeCentre/IndexofIMOResolutions/MEPCDocuments/MEPC.391(81).pdf (accessed on 4 May 2025).
- Risk Palisade. About @RISK. Available online: https://help.palisade.com/v8_8/en/@RISK/About/About/About-RISK.htm (accessed on 20 June 2025).
- MarineTraffic. MarineTraffic: Global Ship Tracking Intelligence|AIS Marine Traffic. Available online: https://www.marinetraffic.com/el/ais/home/centerx:-12.0/centery:25.0/zoom:4 (accessed on 20 June 2025).
- Sea-Web. Sea-Web the Ultimate Marine Online Database|S&P Global. Available online: https://www.spglobal.com/market-intelligence/en/solutions/sea-web-maritime-reference (accessed on 20 June 2025).
- Minitab. The Anderson-Darling Statistic—Minitab. Available online: https://support.minitab.com/en-us/minitab/help-and-how-to/statistics/basic-statistics/supporting-topics/normality/the-anderson-darling-statistic/ (accessed on 20 June 2025).
- Engmann, S.; Cousineau, D. Comparing distributions: The two-sample anderson-darling test as an alternative to the kolmogorov-smirnoff test. J. Appl. Quant. Methods 2011, 6, 1–17. [Google Scholar]
- Zhao, X.; Jia, P.; Li, H.; Si, R. Allocating carbon emissions from crude oil tanker shipping: Full voyage lifecycle perspective. Transp. Res. Part Transp. Environ. 2025, 147, 104919. [Google Scholar] [CrossRef]
- Fadillah, R.F.; Ayub, F.A. Estimation of daily CO2 emission generated by container ship classified by ClassNK. IOP Conf. Ser. Earth Environ. Sci. 2025, 1454, 012036. [Google Scholar] [CrossRef]
- European Commission; Joint Research Centre. Quantifying Emissions in the European Maritime Sector: A Review on Life Cycle Assessments of Maritime Systems Combined with an Analysis of the THETIS MRV Portal; Publications Office: Luxembourg, 2022; Available online: https://data.europa.eu/doi/10.2760/496363 (accessed on 4 October 2025).










| Parameter | Specification |
|---|---|
| Ship Type | Suezmax Tanker |
| MCR (kW) | 16,000 |
| Vmax (kn) | 15.85 |
| Fuel Type | MDO |
| Main Engine Type | SSD |
| Parameter | Specification |
|---|---|
| Ship Type | Oil Products Tanker |
| DWT | 2454 |
| Length overall (m) | 89.95 |
| Length between perpendiculars (m) | 82.00 |
| Breadth (m) | 14.00 |
| Depth (m) | 6.50 |
| Draught (m) | 4.00 |
| MCR (kW) | 2040 |
| Vmax (kn) | 12.00 |
| Fuel Type | MDO |
| Main Engine Type | MSD |
| Cyclades | |
|---|---|
| Node | Island |
| A | Elefsis |
| B | Serifos |
| C | Milos |
| K | Sifnos |
| E | Paros |
| D | Folegandros |
| Z | Amorgos (Katapola) |
| Segment | S_theoretical [nm] | S_realistic [nm] |
|---|---|---|
| AB | 65 | 78 |
| BD | 50 | 39 |
| DZ | 40 | 46 |
| BE | 30 | 32.6 |
| EZ | 50 | 52 |
| AC | 80 | 93 |
| CD | 40 | 36 |
| CE | 40 | 48.4 |
| AK | 70 | 87 |
| KE | 40 | 30.8 |
| KD | 45 | 30 |
| Constant Speeds | Speed Distributions | ||
|---|---|---|---|
| Segment | V [kn] | V Mean [kn] | Standard Deviation |
| AB | 15 | 15 | 0.1 |
| BD | 14 | 14 | 0.1 |
| DZ | 13.5 | 13.5 | 0.1 |
| BE | 15 | 15 | 0.1 |
| EZ | 14.5 | 14.5 | 0.1 |
| AC | 14 | 14 | 0.1 |
| CD | 13.5 | 13.5 | 0.1 |
| CE | 14 | 14 | 0.1 |
| AK | 14.5 | 14.5 | 0.1 |
| KE | 14 | 14 | 0.1 |
| KD | 14 | 14 | 0.1 |
| Island | Mean Time at Berth (h) |
|---|---|
| Serifos | 7.45 |
| Sifnos | 7.51 |
| Milos | 7.39 |
| Paros | 6.57 |
| Folegandros | 6.31 |
| Scenario | Navigation Speed (per Segment) | Port B Availability | Location of Information Received (Port B) |
|---|---|---|---|
| 1 | Constant | All ports available | - |
| 2 | Normal dist. | All ports available | - |
| 3 | Constant | 80% open | Fixed |
| 4 | Normal dist. | 80% open | Uniform dist. |
| 5 | Constant | 80% open (normal dist.) | Uniform dist. |
| 6 | Normal dist. | 80% open (normal dist.) | Uniform dist. |
| 7 | Normal dist. | Not available | Uniform dist. |
| 8 (fleet) | Normal dist. | 80% open | Uniform dist. |
| Scenario | Port B Availability | Location of Information Received (Port B) |
|---|---|---|
| 1 | All ports available | - |
| 2 | 80% open | Uniform dist. |
| 3 | 80% open (normal dist.) | Uniform dist. |
| 4 | Not available | Uniform dist. |
| V [kn] | ||||||||
|---|---|---|---|---|---|---|---|---|
| Segment | Ship 1 | Ship 2 | Ship 3 | Ship 4 | Ship 5 | Ship 6 | Ship 7 | Ship 8 |
| AB | 15 | 15 | 15 | 15 | 15 | 15 | 15 | 15 |
| BD | 14 | 14.5 | 14.5 | 14.5 | 14.5 | 14 | 14 | 14 |
| DZ | 13.5 | 14.5 | 14 | 14.5 | 14 | 14 | 14 | 14.5 |
| BE | 15 | 15 | 15 | 15 | 15 | 15 | 15 | 15 |
| EZ | 14.5 | 14.5 | 14.5 | 14.5 | 14.5 | 14.5 | 15 | 15 |
| AC | 14 | 14 | 14.5 | 14 | 14 | 13.5 | 13.5 | 13.5 |
| CD | 13.5 | 14 | 14 | 14 | 14 | 14 | 14 | 14 |
| CE | 14 | 14 | 14 | 14 | 13.5 | 14.5 | 14.5 | 14.5 |
| AK | 14.5 | 14.5 | 14.5 | 14.5 | 14.5 | 14.5 | 14 | 14.5 |
| KE | 14 | 14 | 14.5 | 14.5 | 14 | 14.5 | 14.5 | 14.5 |
| KD | 14 | 14 | 14.5 | 14.5 | 14.5 | 14.5 | 14.5 | 14.5 |
| AK1 | 14 | 14 | 14 | 14.5 | 14.5 | 14 | 14 | 14 |
| AC1 | 14 | 14 | 14 | 14.5 | 14.5 | 14 | 14 | 14 |
| CO2 | CH4 | N2O | CO2eq | SOx | NOx | PM10 | PM2.5 | ||
|---|---|---|---|---|---|---|---|---|---|
| Route | T [h] | E [Kg] | E [Kg] | E [Kg] | E [Kg] | E [Kg] | E [Kg] | E [Kg] | E [Kg] |
| ABEZ | 29.20 | 27,086.01 | 0.36 | 1.37 | 27,458.00 | 1156.22 | 286.28 | 99.70 | 91.72 |
| ACDZ | 30.45 | 27,954.68 | 0.37 | 1.40 | 28,335.52 | 1176.44 | 295.70 | 101.50 | 93.38 |
| ACEZ | 32.67 | 29,591.02 | 0.40 | 1.49 | 29,996.75 | 1246.29 | 318.86 | 107.62 | 99.01 |
| ABDZ | 28.91 | 27,120.18 | 0.36 | 1.37 | 27,492.90 | 1157.68 | 289.84 | 99.83 | 91.85 |
| AKEZ | 30.59 | 27,032.47 | 0.36 | 1.37 | 27,404.44 | 1153.93 | 281.35 | 99.49 | 91.54 |
| AKDZ | 29.16 | 27,105.58 | 0.36 | 1.37 | 27,478.21 | 1157.05 | 288.34 | 99.75 | 91.77 |
| CO2 | CH4 | N2O | CO2eq | SOx | NOx | PM10 | PM2.5 | ||
|---|---|---|---|---|---|---|---|---|---|
| Route | T [h] | E [Kg] | E [Kg] | E [Kg] | E [Kg] | E [Kg] | E [Kg] | E [Kg] | E [Kg] |
| ΑΒΕΖ, AK1DZ, AC1DΖ | 29.30 | 27,365.56 | 0.37 | 1.38 | 27,741.58 | 1168.15 | 291.42 | 100.73 | 92.68 |
| ACDZ | 30.45 | 27,954.68 | 0.37 | 1.40 | 28,335.52 | 1176.44 | 295.70 | 101.50 | 93.38 |
| ΑCΕΖ | 32.67 | 29,591.02 | 0.40 | 1.49 | 29,996.75 | 1246.29 | 318.86 | 107.62 | 99.01 |
| ΑΒDΖ, AK1DZ, AC1DΖ | 29.07 | 27,392.94 | 0.37 | 1.38 | 27,769.55 | 1169.32 | 294.28 | 100.84 | 92.77 |
| ΑΚΕΖ | 30.59 | 27,032.47 | 0.36 | 1.37 | 27,404.44 | 1153.93 | 281.35 | 99.49 | 91.54 |
| ΑΚDΖ | 29.16 | 27,105.58 | 0.36 | 1.37 | 27,478.21 | 1157.05 | 288.34 | 99.75 | 91.77 |
| ΑΒΕΖ, AK1DZ, AC1ΕΖ | 29.52 | 27,529.24 | 0.37 | 1.39 | 27,907.75 | 1175.14 | 293.74 | 101.35 | 93.24 |
| ΑΒΕΖ, AK1ΕZ, AC1ΕΖ | 29.67 | 27,521.93 | 0.37 | 1.39 | 27,900.38 | 1174.83 | 293.04 | 101.32 | 93.22 |
| ΑΒΕΖ, AK1ΕZ, AC1DΖ | 29.44 | 27,358.26 | 0.37 | 1.38 | 27,734.21 | 1167.84 | 290.72 | 100.71 | 92.65 |
| ΑΒDΖ, AK1DZ, AC1ΕΖ | 29.29 | 27,556.61 | 0.37 | 1.39 | 27,935.71 | 1176.31 | 296.59 | 101.45 | 93.34 |
| ΑΒDΖ, AK1ΕZ, AC1ΕΖ | 29.43 | 27,549.31 | 0.37 | 1.39 | 27,928.34 | 1175.99 | 295.90 | 101.43 | 93.31 |
| ΑΒDΖ, AK1ΕZ, AC1DΖ | 29.21 | 27,385.63 | 0.37 | 1.38 | 27,762.18 | 1169.01 | 293.58 | 100.82 | 92.75 |
| Mean Values | Max Values | Min Values | ||||||||
|---|---|---|---|---|---|---|---|---|---|---|
| Scenario | Route | CO2 [kg] | CO2eq [kg] | T [h] | CO2 [kg] | CO2eq [kg] | T [h] | CO2 [kg] | CO2eq [kg] | T [h] |
| Scen. 4 | ΑΒDΖ, AK1DZ, AC1DΖ | 28,484 | 28,876 | 29.71 | 29,256 | 29,658 | 31.29 | 26,506 | 26,869 | 29.08 |
| Scen. 3 | ΑΒDΖ, AK1DZ, AC1DΖ | 27,393 | 27,770 | 29.07 | 28,227 | 28,614 | 30.82 | 25,401 | 25,751 | 28.50 |
| Scen. 1 | ΑΒDΖ | 27,120 | 27,493 | 28.91 | 28,055 | 28,439 | 30.46 | 24,965 | 25,308 | 28.36 |
| CO2 [%] | CO2eq [%] | T [%] | CO2 [%] | CO2eq [%] | T [%] | CO2 [%] | CO2eq [%] | T [%] | ||
| Scen. 4 vs. 3 | Increase % | 3.98 | 3.99 | 2.22 | 3.64 | 3.65 | 1.51 | 4.35 | 4.34 | 2.01 |
| Scen. 4 vs. 1 | 5.03 | 5.03 | 2.79 | 4.28 | 4.29 | 2.72 | 6.17 | 6.17 | 2.52 | |
Disclaimer/Publisher’s Note: The statements, opinions and data contained in all publications are solely those of the individual author(s) and contributor(s) and not of MDPI and/or the editor(s). MDPI and/or the editor(s) disclaim responsibility for any injury to people or property resulting from any ideas, methods, instructions or products referred to in the content. |
© 2025 by the authors. Licensee MDPI, Basel, Switzerland. This article is an open access article distributed under the terms and conditions of the Creative Commons Attribution (CC BY) license (https://creativecommons.org/licenses/by/4.0/).
Share and Cite
Ventikos, N.P.; Sotiralis, P.; Theochari, M. Maritime Transport Network Optimisation with Respect to Environmental Footprint and Enhanced Resilience: A Case Study for the Aegean Sea. J. Mar. Sci. Eng. 2025, 13, 1962. https://doi.org/10.3390/jmse13101962
Ventikos NP, Sotiralis P, Theochari M. Maritime Transport Network Optimisation with Respect to Environmental Footprint and Enhanced Resilience: A Case Study for the Aegean Sea. Journal of Marine Science and Engineering. 2025; 13(10):1962. https://doi.org/10.3390/jmse13101962
Chicago/Turabian StyleVentikos, Nikolaos P., Panagiotis Sotiralis, and Maria Theochari. 2025. "Maritime Transport Network Optimisation with Respect to Environmental Footprint and Enhanced Resilience: A Case Study for the Aegean Sea" Journal of Marine Science and Engineering 13, no. 10: 1962. https://doi.org/10.3390/jmse13101962
APA StyleVentikos, N. P., Sotiralis, P., & Theochari, M. (2025). Maritime Transport Network Optimisation with Respect to Environmental Footprint and Enhanced Resilience: A Case Study for the Aegean Sea. Journal of Marine Science and Engineering, 13(10), 1962. https://doi.org/10.3390/jmse13101962
