A Performance Analysis of a Flapping-Foil Hydrokinetic Turbine Mimicking a Four-Limb Swimming Creature
Abstract
1. Introduction
2. Materials and Methods
2.1. Mimicking Scheme and System
2.2. Analysis Method
2.2.1. CFD
2.2.2. Validation and Convergence Check of CFD Tool
2.3. Performance Measures
2.3.1. Power
2.3.2. Load on the Turbine Body
2.4. Simulation Plan
2.4.1. Power Performance
2.4.2. Phase of Four Hydrofoils for a Load Analysis
3. Results and Discussion
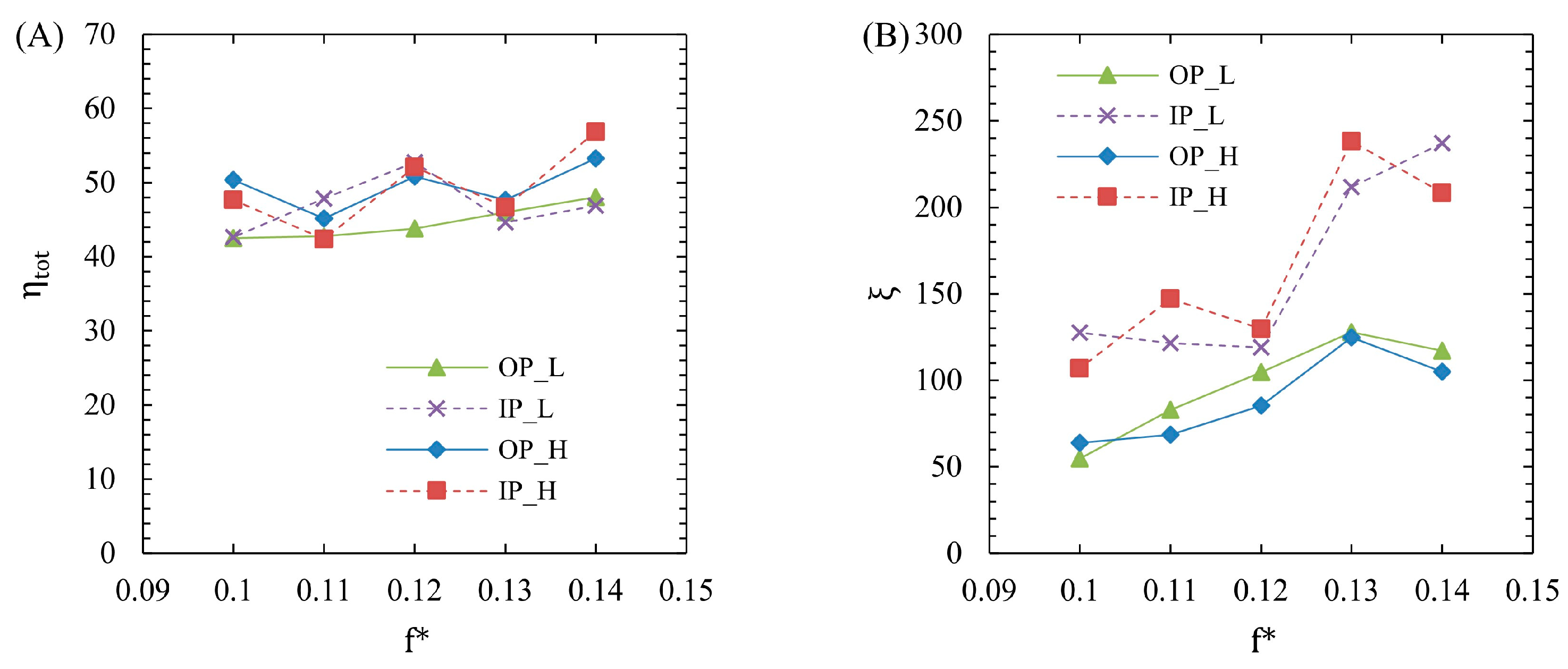
3.1. Front and Rear Power Performance
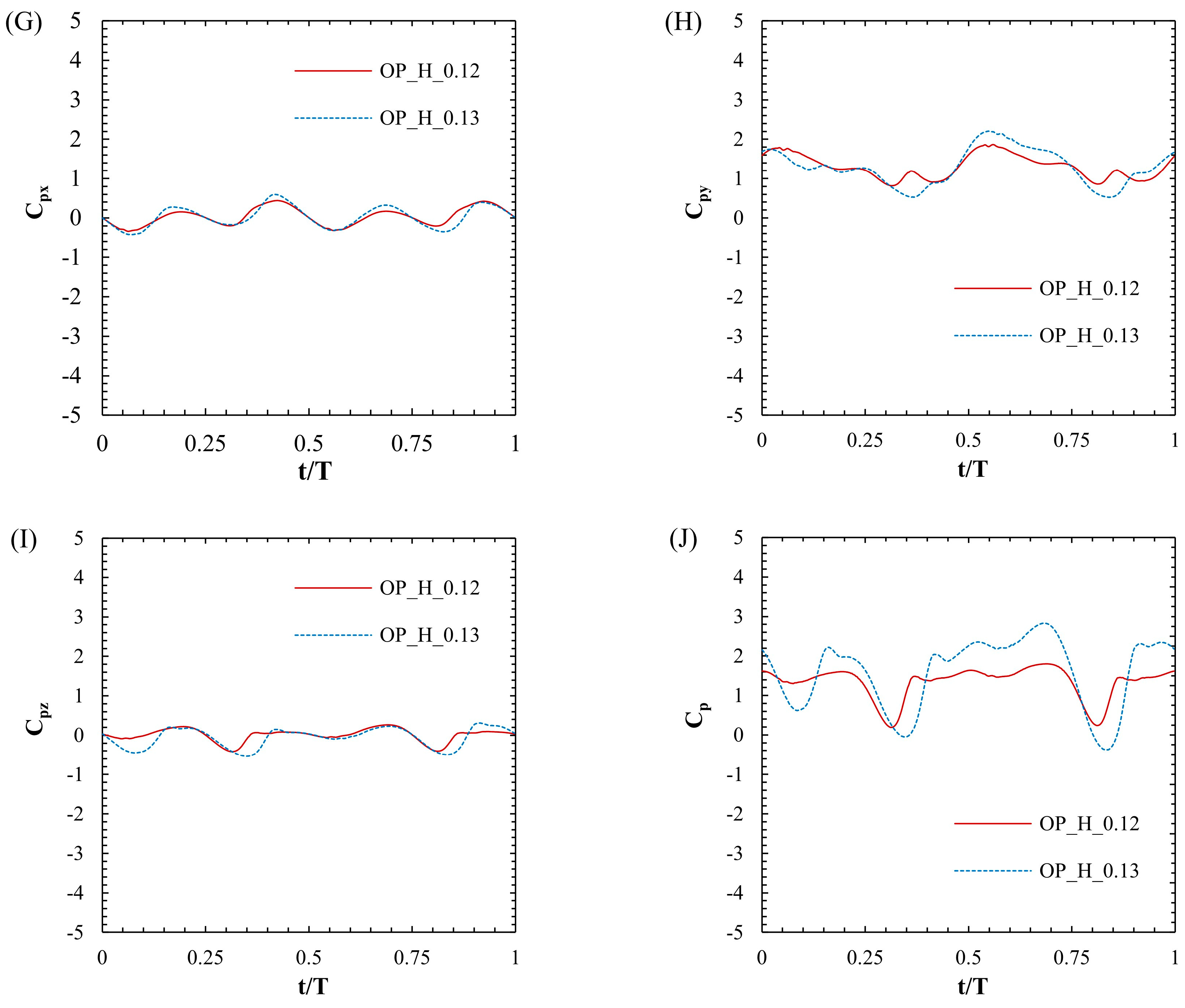
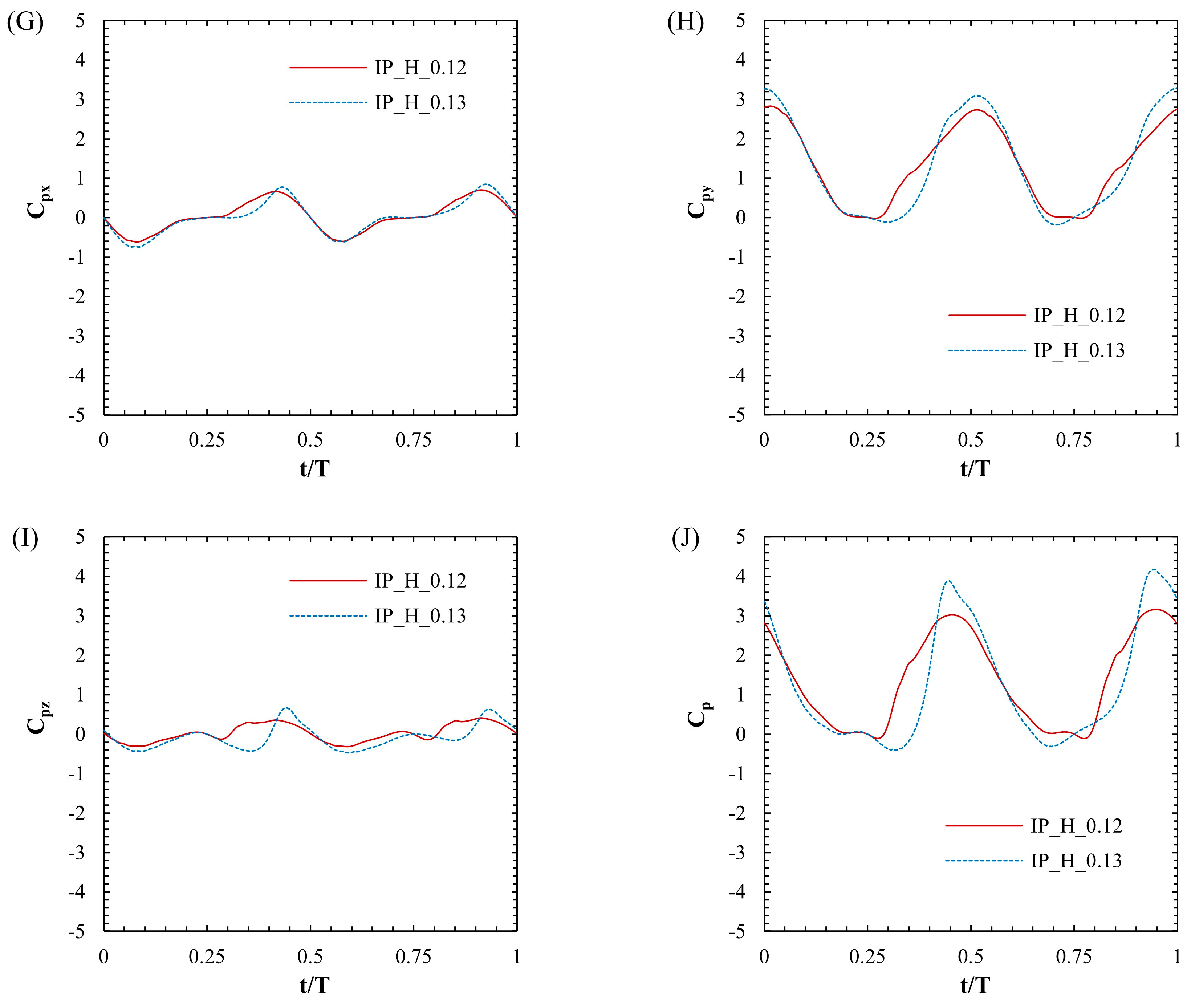
3.2. Load Comparison
4. Conclusions
Author Contributions
Funding
Data Availability Statement
Conflicts of Interest
Abbreviations
| b | span length |
| c | chord length |
| Cx | coefficient of drag |
| Cy | coefficient of lift |
| CM | coefficient of moment |
| f | flapping frequency (Hz) |
| f* | reduced frequency (f* = fc/U∞) |
| FT | tangential force |
| FX | force of x direction (drag force) |
| FY | force of y direction (lift force) |
| h0 | heave amplitude |
| L | flapping arm length |
| Lx | distance between the front and rear hydrofoils |
| M | moment |
| Oh | virtual intersection of the pitching axis of each hydrofoil (Center point) |
| P | power |
| Re | Reynolds number |
| S | distance from the center point to the pitching axis |
| U∞ | free stream velocity |
| t/T | instantaneous time divided by one period (starting t/T is zero and ending t/T is one) |
| T | period |
| xP | pitching axis |
| η | power efficiency |
| θ | pitching angle amplitude |
| ξ | power fluctuation |
| ρ | density |
| ϕ1-2 | phase difference between front wing and rear hydrofoils |
| ϕ′1-2 | phase difference between Right wing and left hydrofoils |
| Φ1-2 | global phase difference |
| Ψ | phase difference of pitch and flapping motions |
| ψ | flapping angle amplitude |
References
- Gielen, D.; Boshell, F.; Saygin, D.; Bazilian, M.D.; Wagner, N.; Gorini, R. The role of renewable energy in the global energy transformation. Energy Strategy Rev. 2019, 24, 38–50. [Google Scholar] [CrossRef]
- Khan, M.; Bhuyan, G.; Iqbal, M.; Quaicoe, J. Hydrokinetic energy conversion systems and assessment of horizontal and vertical axis turbines for river and tidal applications: A technology status review. Appl. Energy 2009, 86, 1823–1835. [Google Scholar] [CrossRef]
- Bahaj, A.; Myers, L.E. Fundamentals applicable to the utilisation of marine current turbines for energy production. Renew. Energy 2003, 28, 2205–2211. [Google Scholar] [CrossRef]
- Birnbaum, W. Das ebene Problem des schlagenden Flügels. ZAMM-J. Appl. Math. Mech./Z. Für Angew. Math. Und Mechanik. 1924, 4, 277–292. [Google Scholar] [CrossRef]
- McKinney, W.; DeLaurier, J. Wingmill: An oscillating-wing windmill. J. Energy 1981, 5, 109–115. [Google Scholar] [CrossRef]
- Davids, S.T. A Computational and Experimental Investigation of a Flutter Generator: Monterey, California: Naval Postgraduate School. Ph.D. Thesis, Naval Postgraduate School, Monterey, CA, USA, 1999. [Google Scholar]
- Platzer, M.; Ashraf, M.; Young, J.; Lai, J. Development of a new oscillating-wing wind and hydropower generator. In Proceedings of the 47th AIAA Aerospace Sciences Meeting Including the New Horizons Forum and Aerospace Exposition, Orlando, FL, USA, 5–8 January 2009. [Google Scholar]
- Lahooti, M.; Kim, D. Multi-body interaction effect on the energy harvesting performance of a flapping hydrofoil. Renew. Energy 2019, 130, 460–473. [Google Scholar] [CrossRef]
- Kinsey, T.; Dumas, G. Computational Fluid Dynamics Analysis of a Hydrokinetic Turbine Based on Oscillating Hydrofoils. J. Fluids Eng. 2012, 134, 021104. [Google Scholar] [CrossRef]
- Lindsey, K. A Feasibility Study of Oscillating-Wing Power Generators. MS. Thesis, Naval Postgraduate School, Monterey, CA, USA, 2002. [Google Scholar]
- Jones, K.D.; Lindsey, K.; Platzer, M. An investigation of the fluid-structure interaction in an oscillating-wing micro-hydropower generator. WIT Trans. Built Environ. 2003, 71. [Google Scholar]
- Kinsey, T.; Dumas, G. Optimal Tandem Configuration for Oscillating-Foils Hydrokinetic Turbine. J. Fluids Eng. 2012, 134, 031103. [Google Scholar] [CrossRef]
- Zhao, F.; Jiang, Q.; Wang, Z.; Qadri, M.M.; Li, L.; Tang, H. Interaction of two fully passive flapping foils arranged in tandem and its influence on flow energy harvesting. Energy 2023, 268, 126714. [Google Scholar] [CrossRef]
- Zhao, F.; Wang, Z.; Qadri, M.N.M.; Khan, O.; Munir, A.; Shahzad, A.; Tang, H. Effects of wake interaction on energy extraction performance of tandem semi-active flapping foils. Phys. Fluids 2023, 35, 074703. [Google Scholar] [CrossRef]
- Ribeiro, B.L.R.; Su, Y.; Guillaumin, Q.; Breuer, K.S.; Franck, J.A. Wake-foil interactions and energy harvesting efficiency in tandem oscillating foils. Phys. Rev. Fluids 2021, 6, 074703. [Google Scholar] [CrossRef]
- Ji, T.; Jin, F.; Xie, F.; Zheng, H.; Zhang, X.; Zheng, Y. Active learning of tandem flapping wings at optimizing propulsion performance. Phys. Fluids 2022, 34, 047117. [Google Scholar] [CrossRef]
- Ma, P.L.; Wang, Y.; Xie, Y.D.; Han, J.Z.; Sun, G.; Zhang, J.H. Effect of wake interaction on the response of two tandem oscillating hydrofoils. Energy Sci. Eng. 2019, 7, 431–442. [Google Scholar] [CrossRef]
- Ma, P.L.; Yang, Z.H.; Wang, Y.; Liu, H.B.; Xie, Y.D. Energy extraction and hydrodynamic behavior analysis by an oscillating hydrofoil device. Renew. Energy 2017, 113, 648–659. [Google Scholar] [CrossRef]
- Xu, J.A.; Tan, S.L.; Guan, D.T.; Ali, R.; Zhang, L. Energy extraction performance of motion-constrained tandem oscillating hydrofoils. J. Renew. Sustain. Energy 2017, 9, 044501. [Google Scholar] [CrossRef]
- Xu, W.H.; Xu, G.D.; Duan, W.Y.; Song, Z.J.; Lei, J. Experimental and numerical study of a hydrokinetic turbine based on tandem flapping hydrofoils. Energy 2019, 174, 375–385. [Google Scholar] [CrossRef]
- Kim, J.; Kim, D.-G.; Jung, S.; Moon, S.M.; Ko, J.H. Experimental study of a fully passive flapping hydrofoil turbine with a dual configuration and a coupling mechanism. Renew. Energy 2023, 208, 191–202. [Google Scholar] [CrossRef]
- Rivera, A.R.; Rivera, G.; Blob, R.W. Forelimb kinematics during swimming in the pig-nosed turtle, Carettochelys insculpta, compared with other turtle taxa: Rowing versus flapping, convergence versus intermediacy. J. Exp. Biol. 2013, 216, 668–680. [Google Scholar] [CrossRef]
- Nguyen Le Dang, H.; Le, T.Q.; Jeong, D.; Ko, J.H. Camber effect on the stability and power performance of a right-swing hydrofoil turbine. Int. J. Nav. Archit. Ocean Eng. 2022, 14, 100466. [Google Scholar] [CrossRef]
- Muscutt, L.E.; Dyke, G.; Weymouth, G.D.; Naish, D.; Palmer, C.; Ganapathisubramani, B. The four-flipper swimming method of plesiosaurs enabled efficient and effective locomotion. Proc. Biol. Sci. 2017, 284, 20170951. [Google Scholar] [CrossRef]
- Davenport, J.; Munks, S.A.; Oxford, P. A comparison of the swimming of marine and freshwater turtles. Proc. R. Soc. Lond. Ser. B Biol. Sci. 1984, 220, 447–475. [Google Scholar]
- Liu, W.; Xiao, Q.; Cheng, F. A bio-inspired study on tidal energy extraction with flexible flapping wings. Bioinspir. Biomim. 2013, 8, 036011. [Google Scholar] [CrossRef] [PubMed]
- Jeong, D.; Nguyen Le Dang, H.; Ko, J.H. Investigation of phase difference and separation distance effects in the design of a dual flapping hydrofoil turbine. Energy Sci. Eng. 2023, 11, 2725–2741. [Google Scholar] [CrossRef]
- Kim, J.; Quang Le, T.; Hwan Ko, J.; Ebenezer Sitorus, P.; Hartarto Tambunan, I.; Kang, T. Experimental and numerical study of a dual configuration for a flapping tidal current generator. Bioinspir. Biomim. 2015, 10, 046015. [Google Scholar] [CrossRef]
- Nauwelaerts, S.; Aerts, P. Two distinct gait types in swimming frogs. J. Zool. 2002, 258, 183–188. [Google Scholar] [CrossRef]
- Kinsey, T.; Dumas, G. Three-Dimensional Effects on an Oscillating-Foil Hydrokinetic Turbine. J. Fluid. Eng.-T. ASME 2012, 134, 071105. [Google Scholar] [CrossRef]
- Kinsey, T.; Dumas, G. Parametric study of an oscillating airfoil in a power-extraction regime. AIAA J. 2008, 46, 1318–1330. [Google Scholar] [CrossRef]
- Kinsey, T.; Dumas, G.; Lalande, G.; Ruel, J.; Méhut, A.; Viarouge, P.; Lemay, J.; Jean, Y. Prototype testing of a hydrokinetic turbine based on oscillating hydrofoils. Renew. Energy 2011, 36, 1710–1718. [Google Scholar] [CrossRef]
- Ashraf, M.A.; Young, J.; Lai, J.C.S.; Platzer, M.F. Numerical Analysis of an Oscillating-Wing Wind and Hydropower Generator. AIAA J. 2011, 49, 1374–1386. [Google Scholar] [CrossRef]
- Sitorus, P.E.; Ko, J.H. Power extraction performance of three types of flapping hydrofoils at a Reynolds number of 1.7E6. Renew. Energy 2019, 132, 106–118. [Google Scholar] [CrossRef]
- Sitorus, P.E.; Won, B.; Ko, J.H. Numerical Study on Power Balance of Front and Rear Hydrofoils in Dual Configuration of a Flapping-Type Tidal Energy Harvester. In Proceedings of the 27th International Ocean and Polar Engineering Conference, San Francisco, CA, USA, 24–30 June 2017. [Google Scholar]
- Ko, J.H.; Kim, J.W.; Park, S.H.; Byun, D. Aerodynamic analysis of flapping foils using volume grid deformation code. J. Mech. Sci. Technol. 2009, 23, 1727–1735. [Google Scholar] [CrossRef]
- Park, S.H.; Kwon, J.H. Implementation of kw turbulence models in an implicit multigrid method. AIAA J. 2004, 42, 1348–1357. [Google Scholar] [CrossRef]
- Young, J.; Tian, F.B.; Liu, Z.L.; Lai, J.C.S.; Nadim, N.; Lucey, A.D. Analysis of unsteady flow effects on the Betz limit for flapping foil power generation. J. Fluid Mech. 2020, 902, A30. [Google Scholar] [CrossRef]



















| Parameters | Specifications | |
|---|---|---|
| Section profile | NACA0015 | |
| Chord length (c) | 200 mm | |
| ) | 0.25 c | |
| Flapping arm length (L) | 2 c | |
| Span length (b) | 2 c | |
| ) | 1 c | |
| ) | 30 deg | |
| ) | 70 deg | |
| Phase difference | ) | 90 deg |
| Front and rear hydrofoils (ϕ1-2) | 90, 180 deg | |
| Right and left hydrofoils (ϕ′1-2) | 0, 180 deg | |
| Global phase difference (Φ1-2 = 360° × f Lx/U∞ + ϕ1-2) | ~90 deg | |
| Reduced frequency (f* = fc/U∞) | 0.1~0.14 | |
| Free stream velocity (U∞) | 0.9, 1.2 m/s | |
| Reynolds number (Re) | 201,440, 268,587 | |
| Distance between the front and rear hydrofoils (Lx) | 3.6~7.5 c | |
| Case | Body Fitted Mesh | Number of Time Steps | Number of Flapping Cycles | (%) | |
|---|---|---|---|---|---|
| 1 | 387 × 65 (24,704) | 400 | 5 | 28.47 | 2.08 |
| 2 | 597 × 100 (59,004) | 400 | 5 | 27.89 | 0.00 |
| 3 | 687 × 115 (78,204) | 400 | 5 | 27.87 | 0.07 |
| 4 | 597 × 100 (59,004) | 300 | 5 | 29.04 | 4.12 |
| 5 | 597 × 100 (59,004) | 500 | 5 | 28.03 | 0.50 |
| 6 | 597 × 100 (59,004) | 600 | 5 | 28.21 | 1.15 |
| Case | U(m/s) | Lx/c | f* | ϕ1-2 (°) | Φ1-2 (°) | ηfront (%) | ηtotal (%) | ξ |
|---|---|---|---|---|---|---|---|---|
| OP_L_0.14 | 0.9 | 3.6 | 0.14 | 90 | 91.44 | 24.03 | 48.05 | 117.04 |
| OP_L_0.13 | 0.9 | 3.9 | 0.13 | 90 | 92.52 | 22.97 | 45.99 | 127.76 |
| OP_L_0.12 | 0.9 | 4.2 | 0.12 | 90 | 91.44 | 25.71 | 43.81 | 104.80 |
| OP_L_0.11 | 0.9 | 4.5 | 0.11 | 90 | 88.2 | 28.03 | 42.73 | 82.92 |
| OP_L_0.10 | 0.9 | 5 | 0.1 | 90 | 90 | 28.94 | 42.50 | 54.74 |
| IP_L_0.14 | 0.9 | 5.4 | 0.14 | 180 | 92.16 | 24.68 | 46.88 | 237.03 |
| IP_L_0.13 | 0.9 | 5.8 | 0.13 | 180 | 91.44 | 23.70 | 44.65 | 211.78 |
| IP_L_0.12 | 0.9 | 6.3 | 0.12 | 180 | 92.16 | 30.62 | 52.73 | 119.08 |
| IP_L_0.11 | 0.9 | 6.8 | 0.11 | 180 | 89.28 | 31.19 | 47.83 | 121.64 |
| IP_L_0.10 | 0.9 | 7.5 | 0.1 | 180 | 90 | 29.35 | 42.67 | 127.63 |
| OP_H_0.14 | 1.2 | 3.6 | 0.14 | 90 | 91.44 | 24.93 | 53.27 | 105.04 |
| OP_H_0.13 | 1.2 | 3.9 | 0.13 | 90 | 92.52 | 23.60 | 47.68 | 124.90 |
| OP_H_0.12 | 1.2 | 4.2 | 0.12 | 90 | 91.44 | 26.45 | 50.82 | 85.43 |
| OP_H_0.11 | 1.2 | 4.5 | 0.11 | 90 | 88.2 | 28.60 | 45.18 | 68.51 |
| OP_H_0.10 | 1.2 | 5 | 0.1 | 90 | 90 | 29.12 | 50.36 | 63.75 |
| IP_L_0.14 | 1.2 | 5.4 | 0.14 | 180 | 92.16 | 25.25 | 56.89 | 208.32 |
| IP_L_0.13 | 1.2 | 5.8 | 0.13 | 180 | 91.44 | 23.06 | 46.69 | 238.17 |
| IP_L_0.12 | 1.2 | 6.3 | 0.12 | 180 | 92.16 | 29.43 | 52.08 | 129.89 |
| IP_L_0.11 | 1.2 | 6.8 | 0.11 | 180 | 89.28 | 28.93 | 42.38 | 147.07 |
| IP_L_0.10 | 1.2 | 7.5 | 0.1 | 180 | 90 | 29.84 | 47.65 | 106.99 |
| Case | Mean | Maximum | Minimum | Range | |
|---|---|---|---|---|---|
| OP_H_0.12 | FLx (N) | 233.50 | 357.22 | 101.98 | 255.23 |
| FLy (N) | 0.70 | 2.45 | −0.40 | 2.85 | |
| MLx (Nm) | 0.00 | 11.89 | −11.89 | 23.77 | |
| MLy (Nm) | 0.00 | 4.90 | −4.90 | 9.80 | |
| MLz (Nm) | 0.12 | 0.90 | −0.54 | 1.44 | |
| IP_H_0.12 | FLx (N) | 236.02 | 555.67 | 13.29 | 542.38 |
| FLy (N) | 0.83 | 56.16 | −49.88 | 106.05 | |
| MLx (Nm) | 0.00 | 0.00 | 0.00 | 0.00 | |
| MLy (Nm) | 0.00 | 0.00 | 0.00 | 0.00 | |
| MLz (Nm) | 0.18 | 12.39 | −11.55 | 23.94 | |
Disclaimer/Publisher’s Note: The statements, opinions and data contained in all publications are solely those of the individual author(s) and contributor(s) and not of MDPI and/or the editor(s). MDPI and/or the editor(s) disclaim responsibility for any injury to people or property resulting from any ideas, methods, instructions or products referred to in the content. |
© 2025 by the authors. Licensee MDPI, Basel, Switzerland. This article is an open access article distributed under the terms and conditions of the Creative Commons Attribution (CC BY) license (https://creativecommons.org/licenses/by/4.0/).
Share and Cite
Jeong, D.; Ko, J.H. A Performance Analysis of a Flapping-Foil Hydrokinetic Turbine Mimicking a Four-Limb Swimming Creature. J. Mar. Sci. Eng. 2025, 13, 1894. https://doi.org/10.3390/jmse13101894
Jeong D, Ko JH. A Performance Analysis of a Flapping-Foil Hydrokinetic Turbine Mimicking a Four-Limb Swimming Creature. Journal of Marine Science and Engineering. 2025; 13(10):1894. https://doi.org/10.3390/jmse13101894
Chicago/Turabian StyleJeong, Dasom, and Jin Hwan Ko. 2025. "A Performance Analysis of a Flapping-Foil Hydrokinetic Turbine Mimicking a Four-Limb Swimming Creature" Journal of Marine Science and Engineering 13, no. 10: 1894. https://doi.org/10.3390/jmse13101894
APA StyleJeong, D., & Ko, J. H. (2025). A Performance Analysis of a Flapping-Foil Hydrokinetic Turbine Mimicking a Four-Limb Swimming Creature. Journal of Marine Science and Engineering, 13(10), 1894. https://doi.org/10.3390/jmse13101894

