Next Article in Journal
Assessment of the Offshore Migration of Mussel Production Based on an Aquaculture Similarity Index (ASI)
Previous Article in Journal
Numerical Analysis of Thermal–Structural Coupling for Subsea Dual-Channel Connector
 
 
Font Type:
Arial Georgia Verdana
Font Size:
Aa Aa Aa
Line Spacing:
Column Width:
Background:
Article

Response of Residence Time to Coastline Change in Xiamen Bay, China

Third Institute of Oceanography, Ministry of Natural Resources, Xiamen 361005, China
*
Author to whom correspondence should be addressed.
J. Mar. Sci. Eng. 2025, 13(10), 1868; https://doi.org/10.3390/jmse13101868
Submission received: 28 August 2025 / Revised: 20 September 2025 / Accepted: 23 September 2025 / Published: 26 September 2025
(This article belongs to the Section Coastal Engineering)

Abstract

Xiamen Bay (XMB), a representative semi-enclosed bay, demonstrates hydrodynamic conditions and water exchange characteristics that are significantly influenced by alterations in the coastline. The three-dimensional hydrodynamic model and remote sensing interpretation techniques were utilized to examine coastline changes and evaluated the spatio-temporal variations in water residence time in XMB from 1955 to 2021. The results indicate that the coastline of the XMB has been considerably modified by extensive reclamation activities. The total reclaimed area reached up to 188.08 km2 during the period of 1955–2021, resulting in a 17.8% reduction in the total bay area. The average residence time increased from 13.28 days in 1955 to 16.94 days in 2003 and then decreased to 16.12 days because of ecological restoration initiatives. Spatially, water residence time increased from the outer sea towards the inner bay, with the high value observed in the northwest part of XMB while the low value was observed in the southeastern region. Among the various sub-regions, Tong’an Bay experienced the most significant change in residence time, followed by the West Sea. Conversely, the Dadeng Waters and Jiulong River Estuary showed relatively minor increases in residence time. The primary factors influencing variations in water residence time are large-scale reclamation projects and ecological restoration measures. These findings provide a significant scientific foundation and technical support for the integrated management of the coastal zone and ecological restoration construction in XMB.

1. Introduction

The bay region has played a pivotal role in human civilization development due to abundant natural resources, strategic geographical advantages, and convenient maritime transportation networks. However, rapid socioeconomic development in coastal areas has intensified human activities, imposing substantial pressures on the resources and ecosystems of bay areas and adjacent coastal zones. These pressures have resulted in widespread ecological degradation, manifested eutrophication, substantial biodiversity loss, and frequent emergence of toxic and harmful algal blooms. Despite possessing a degree of self-purification capacity, coastal marine waters comprise only about 5% of the global ocean volume yet bear a disproportionate environmental burden. Specifically, these regions receive approximately 80% of anthropogenically derived organic matter, 75–90% of riverine suspended sediments, and multifaceted pollutants including persistent organic compounds and heavy metals [1].
Water exchange is an important hydrodynamic process in the ocean circulation, particularly in semi-enclosed bays, where it plays a critical role in regulating the dispersion of pollutants, nutrient cycling, and habitual sustainability. The migration and transformation of pollutants within bays are predominantly driven by physical processes, including convective transport and dilution diffusion [2]. Through ongoing exchange with external waters, pollutant concentrations in bays are gradually reduced, leading to an overall improvement in water quality. The capacity for water exchange is closely linked to bays’ self-purification efficiency, nutrient transport pattern [3], and overall ecological health. As a result, water exchange dynamics have attracted growing attention in recent years within studies focusing on estuarine and coastal water quality [4,5].
Timescales of water exchange, such as mean residence time [6,7], flushing time [8,9], water age [10], and transient time [11], are commonly employed as key parameters to characterize physical transport processes [12,13]. These timescales are instrumental in describing the response of various water quality parameters (e.g., eutrophication, chlorophyll-a concentration, and red tides, etc.) under varying environmental conditions. They fundamentally govern the capacity of bay systems to mitigate pollutant accumulation, maintain dissolved oxygen levels, and reduce eutrophication risks [14,15]. The water exchange capacity of a bay is governed by multiple factors, such as topography, wave dynamics, tide patterns, wind forces, and current systems. Therefore, understanding transport timescales is essential for protecting marine environments, maintaining the ecological balance, and guiding ecological restoration [16].
Coastal areas, especially bays, are among the most anthropogenically modified marine environments worldwide. Developed nations have prioritized coastal spatial planning to balance economic utilization with ecological conservation [17]. In many countries, large-scale reclamation projects have been implemented to alleviate land scarcity caused by rapid economic growth [18]. In recent decades, intensive anthropogenic pressures—particularly large-scale reclamation—have significantly altered coastline, bathymetry, and tidal regimes. These changes have induced profound geomorphic modifications, reduced environmental capacity, and lead to environmental degradation. Approximately 40% of global semi-enclosed bays have experienced prolonged water residence times [19,20], leading to increased eutrophication [21,22], degraded ecosystem services, exacerbating hypoxia and harmful algal blooms [23]. Many bays face increasing pressure due to the contradiction between deteriorating marine ecological environment and growing human resources demand. The influence of human activities on water exchange dynamics in different bays has attracted significant research interest [24,25]. Understanding the long-term evolution of the water environment in anthropogenically influenced bays is especially critical [26,27].
A growing body of literature has examined the effects of human activities on hydrodynamic processes and water exchange in bay systems. For instance, studies on Tokyo Bay have demonstrated that land reclamation and freshwater input significantly affect the residence times of seawater [28]. Reclamation projects exert a significant impact on the water environment in Jinmen Bay of China, which decreases pollutant dilution and diffusion in coastal water, then the average residence time increases by about 35% after the construction [29]. Numerical simulation studies are increasingly being utilized to model long-term changes in hydrodynamics and water exchange times, as well as to project future scenarios under climate change. These studies provide scientific support for decision-making in the integrated management of ecological restoration.
Xiamen Bay (XMB), situated on the western coast of the Taiwan Strait, has an average water depth of 7 m, and spans approximately 21 km from east to west and 6.5 km from north to south (Figure 1). The bay comprises several distinct regions, including the Jiulong River Estuary, the West Sea, Tong’an Bay, Dadeng Waters, etc. Hydrodynamically, XMB is characterized by a regular semidiurnal tidal regime, with an average tidal range of 3.99 m. Tidal dynamics dominate the hydrodynamic field of this region [30], becoming the leading factor of the process of pollutant transport from Jiulong River to XMB and to open waters. Since the 1950s, extensive land reclamation initiatives have been undertaken in XMB, which has significantly altered the structural configuration and morphology of the coastline, leading to various issues, including diminished tidal influx, degradation of the hydrodynamic conditions, and a decline in water quality. These changes have profoundly affected both the hydrodynamic and ecological environment.
Current research on water exchange in XMB has primarily focused on the characteristics and influencing factors of water residence time [6], as well as localized impacts of specific reclamation [31]. However, systematic studies on the long-term evolution of the water environment and its coupling mechanisms with hydrodynamic processes remain limited. Research in this area is essential for formulating precise ecological restoration strategies. Unlike previous investigations, this study provides a holistic examination of long-term changes in the hydrodynamic environment of XMB. By integrating numerical simulation with remote sensing interpretation techniques, we systematically analyze the effects of historical shoreline and quantitatively evaluate the spatio-temporal variations in water residence time of XMB—with particular emphasis on its differential changes among the key sub-regions of XMB, including the West Sea, Tong’an Bay, Jiulong River Estuary and Dadeng Waters. The key innovations of this work lie in its synergistic multi-method approach, long-term perspective, explicit focus on linking physical processes to environmental management needs, and the detailed comparative analysis of residence time variability across functionally distinct sub-basins. These findings are anticipated to provide a scientific basis for ecological restoration and the integrated management of XMB and may also offer a valuable reference for research on other semi-enclosed bays experiencing significant anthropogenic pressure.

2. Data and Methods

This study employs remote sensing interpretation and numerical modeling to systematically analyze the long-term evolution of the hydrodynamic environment in XMB. Multi-temporal satellite images and historical nautical charts were digitized to extract shoreline variation and water depth data. A three-dimensional coupled hydrodynamics-water quality model was then established for XMB and validated using tidal current and water level measurements. Multiple numerical scenarios were designed to simulate the spatio-temporal variations in water residence time across different historical periods. Finally, the patterns and driving factors of these changes were comprehensively analyzed, and policy recommendations oriented toward ecological protection and sustainable management were proposed, providing a scientific basis for coastal restoration and integrated management. The methodological framework is illustrated in Figure 2.

2.1. Coastline and Bathymetry Extraction

This study integrates multi-source geospatial data to reconstruct the spatiotemporal evolution of XMB. Shoreline dynamics from 1955 to 2021 were quantified through digital interpretation of multi-temporal satellite imagery spanning six key epochs (1955, 1970, 1984, 2003, 2013, 2021). For the early period (1955–1984), the historical shorelines were digitized from georeferenced nautical charts published by the Maritime Safety Administration between 1955 and 1984. Additional historical context and records of reclamation activities were supplemented from literature [31,32], local government archives and planning reports. For the middle period (2003–2013), Landsat 5 TM/7 ETM+/8 OLI imageries at 30 m resolution were utilized. For the recent period (2021), Gaofen-2 (GF-2) imagery with a resolution of 0.8 m was employed. All datasets were systematically preprocessed with geometric and radiometric corrections. Coastlines were then extracted through an integrated approach combining manual visual interpretation, Normalized Difference Water Index (NDWI)-based threshold segmentation, and Canny edge detection. For high-resolution images, manual refinement was applied to accurately delineate boundaries of artificial structures, such as reclaimed land areas, to ensure precision.
Bathymetric data were synthesized through three complementary approaches: (1) digitization of historical nautical charts published by the Navigation Guarantee Department of the Chinese Navy Headquarters, (2) in situ hydrographic surveys, and (3) integration with the General Bathymetric Chart of the Oceans (GEBCO) database. All chart data were first georeferenced and rigorously rectified to the WGS84 coordinate system. The data processing workflow commenced with the digitization of historical charts using ArcGIS to extract vector-based bathymetric points and depth contours. Simultaneously, historical in situ measured depth data were incorporated to enhance spatial coverage and reliability. These multi-source datasets were then consolidated into a unified, consistent spatial dataset. Finally, a Kriging interpolation method was applied to generate a continuous bathymetric grid spanning the entire computational domain. This high-resolution grid provides accurate and reliable seabed topography input essential for subsequent numerical simulations.

2.2. Numerical Model Configuration

A three-dimensional numerical hydrodynamic model of XMB was developed using the MIKE 3 (Version 2012), a widely adopted software developed by the Danish Hydraulic Institute (DHI), for simulating hydrodynamics in coastal and estuarine regions. The model is based on the Reynolds-averaged Navier–Stokes equations and the mass conservation equation, solved an unstructured triangular mesh that incorporates dynamic dry-wet boundary treatment to accurately represent mass and momentum conservation across spatial and temporal domain [33]. Owing to its robust pre- and post-processing tools and intuitive interface, MIKE 3 has been extensively applied in studies of water quality, sediment transport, and hydrodynamic processes in diverse marine environments [34,35].
The model domain encompasses the Jiulong River Estuary, Xiamen Bay, and an adjacent portion of the Taiwan Strait, spanning longitude 117°59′–118°40′ E and latitude 24°09′–24°37′ N, covering a horizontal area of approximately 50 km × 70 km. An unstructured triangular mesh was employed to provide higher spatial resolution within XMB relative to the open boundary regions. In the 2021 configuration, the mesh consisted of 10,079 elements and 17,163 nodes, with grid spacing ranging from 30 m in nearshore areas to 2000 m in the open sea. In the vertical direction, the water column was discretized into four layers using a sigma-coordinate system. The model time step was set to 10 s to satisfy numerical stability criteria. Turbulence closure was achieved using the k-ε model to compute vertical eddy viscosity and diffusivity. Horizontal eddy viscosity and diffusivity were parameterized as functions of grid size, with a maximum value of 1.0 m2/s assigned to the largest grids. Bottom friction was represented by a quadratic drag law with a coefficient of 0.01.
The model was driven by tidal constituents at the offshore open boundary, freshwater discharge from the Jiulong River and atmospheric forcing at the water surface. Tidal forcing was applied along the southern and eastern open boundaries using 11 tidal components (M2, S2, K1, O1, N2, K2, Q1, P1, M4, M6 and MS4) derived from the MIKE global tide module. The velocity condition of the initial field was set to zero, while temperature and salinity were set to constant for calculation. A mean discharge value of 420 m3/s for the Jiulong River, based on the date for 2010–2019, was set as the discharge boundary conditions [6]. Atmospheric forcing data were sourced from the EAR5 climate reanalysis dataset from the European Centre for Medium-Range Weather Forecasts (ECMWF, https://climate.copernicus.eu/climate-reanalysis, accessed on 22 September 2025), which provides hourly meteorological field at a spatial resolution of 0.25 degrees. Surface wind stress was calculated employing bulk parameterization formulae.
Six distinct grids were constructed to analyze the variations in environmental impact, with the discrepancies primarily attributable to the differing coastlines and the varying water depth conditions across different years in XMB. The model simulations were performed from 1 July to 31 December in different years to better analyze the differences in residence time. The XMB topography and modeling range was shown in Figure 1.

2.3. Residence Time Calculation

A water quality model for XMB was developed based on the coupled hydrodynamic and water quality module of MIKE. The governing equation of the water quality model is expressed as follows:
C t + x ( u C ) + y ( v C ) + z ( w C ) = x ( D x C x ) + y ( D y C y ) + z ( D z C z ) + S
where C represents the concentration of a water quality constituent; u, v, w denote velocity components in the x, y, z directions, respectively; Dx, Dy, Dz are the turbulent diffusion coefficients in the corresponding directions, S represents sources or sink of the constituent; and t is time.
The water exchange dynamics of semi-enclosed bay play a critical role in the transport and redistribution of pollutants, suspended sediments, and nutrients, with direct implications for ecosystem stability and biogeochemical cycles. Residence time serves as a key indicator for assessing hydrodynamic processes and characterizing the water renewal capacity of the bays. In this study, the Eulerian definition of residence time is adopted—an approach widely applied in various coastal environments, including Arcachon Bay [24], Biscay Bay [22], Chesapeake Bay [36], Jiaozhou Bay [37], and Jervis Bay [25].
The residence time of XMB can be quantified using a three-dimensional numerical model that incorporates passive tracer dynamics. The conservation passive tracer with an initial normalized concentration of 1 was uniformly released into all grid cells within the XMB. No additional tracer was added after the initial release. While the initial volume Vi(t0) of each grid cell remained constant throughout the simulation, the instantaneous volume Vi(t) varied over time due to hydrodynamic processes. The tracer concentration in each grid cell was governed by water exchange processes between the XMB and the adjacent open sea. The relative tracer mass (RTM) is defined by the following equation:
R T M t = i = 1 n C i ( t ) V i ( t ) i = 1 n C i ( t 0 ) V i ( t 0 )
where i denotes the index of grid cells within the bay. The initial condition is set such that Ci(t0) = 1 uniformly across the entire domain. The numerator represents the total tracer mass remaining in the bay at time t, while the denominator corresponds to the initial total mass at time t0.
The bay residence time is defined as the time required for the relative tracer mass within the bay decays to e−1 (36.8%) of its initial concentration [6]. This metric reflects the system-wide flushing efficiency dominated by tidal advection and turbulent diffusion. Correspondingly, the local residence time for each grid cell is determined as the time at which the tracer concentration in that cell declines to 36.8% of its initial value. The residence time was computed by simulating the evolution of the passive tracer released uniformly throughout the entire water column, resulting in depth-integrated timescales that incorporate the three-dimensional circulation.

2.4. Model Verification

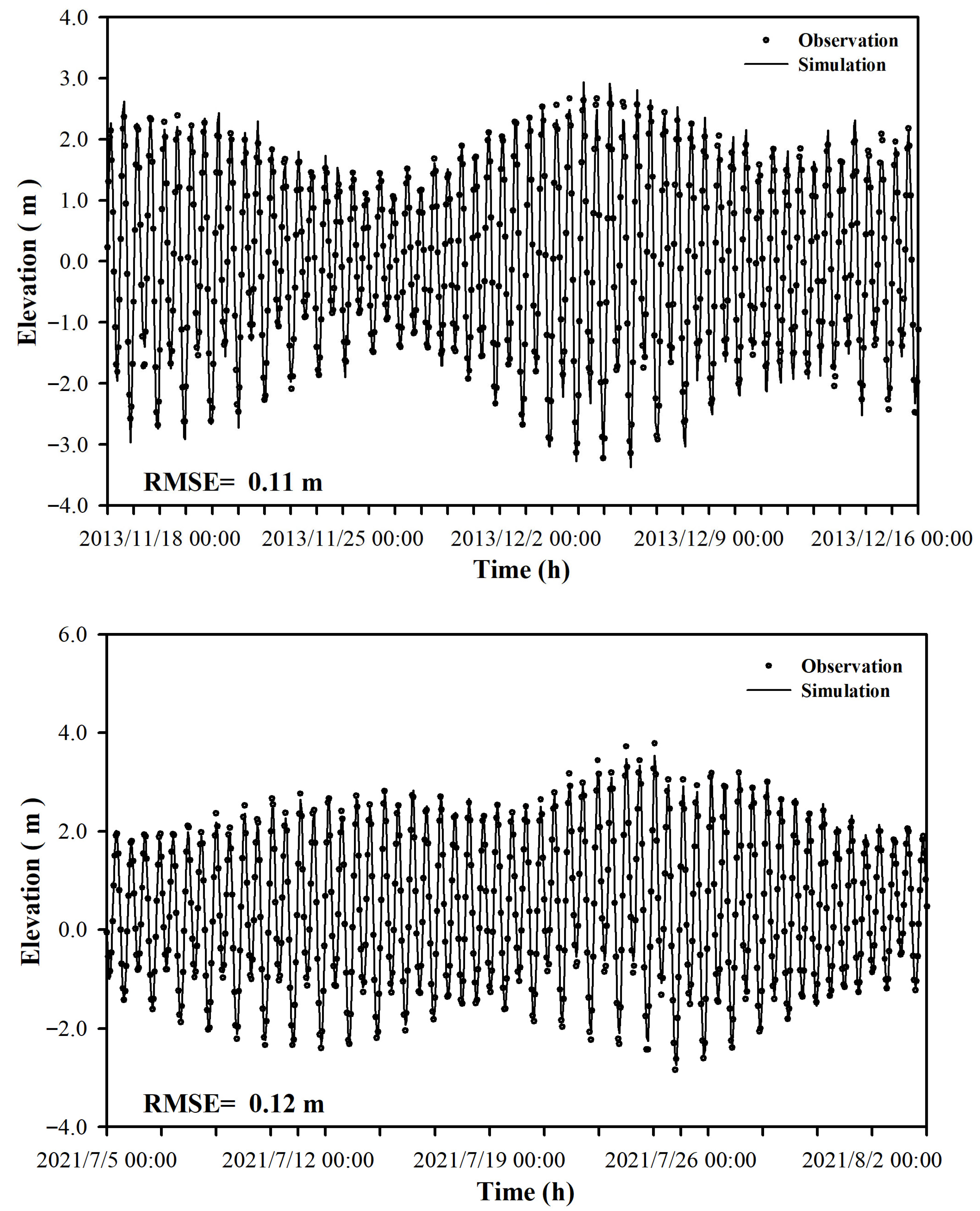
The model validation was conducted using field measurements of tidal levels and current velocities collected from multiple stations within the XMB area. The locations of these observational stations are illustrated Figure 1. Within the model domain, one tidal gauge station was utilized, and data from two periods, 16 November to 16 December 2013 and 5 July to 4 August 2021—were selected for comparison. Current measurements were carried out using a 1200 kHz Acoustic Doppler Current Profiler (ADCP) mounted downward on a vessel, with each deployment lasting 27 h. At stations C1 and C6, measurements were conducted from 19 to 20 November 2013. At stations #2 and #9, the measurements took place from 11 to 12 July 2021. Figure 3 illustrates the verification curves comparing simulated and observed tidal elevations at the Heping port (T1) tide gauge station in 2013 and 2021 of Xiamen. Model performance was quantified using the root mean square error (RMSE), which indicated a remarkable correlation between the numerical solutions and in situ measures. The comparison between the simulated and the observed tidal level revealed strong consistency, with RMSE values of 0.10 m at station T1 in 2013 and 0.12 m in 2021. These results confirm the model’s capability to accurately replicate tidal dynamics in XMB. As shown in Figure 4, the simulated flow velocity and direction align closely with field measurements. The RMSE values for flow velocity ranged from 0.04 m/s to 0.08 m/s, while directional errors fell within 6.54° to 10.65°, demonstration close agreement between model predictions and field observations. The simulation results show strong agreement with measured values at observations stations. The flow patterns of all stations show obvious linear current, demonstrating that the model successfully captures the hydrodynamic field of XMB and demonstrates potential for further application on water quality model. However, this verification is based on a limited number of stations and a specific hydrological period. Further analysis of long-term impacts and seasonal variations requires more comprehensive data.

3. Results

3.1. Spatio-Temporal Characteristics of Shoreline Changes

Since the 1950s, the coastline of XMB has undergone considerable alterations due to various land reclamation projects. The cumulative area reclaimed in XMB reached 188.08 km2 during 1955–2021 (Table 1). Figure 5 illustrates the significant modifications to the coastline resulting from extensive land reclamation efforts undertaken between 1955 and 2021 in XMB. Additionally, Figure 6 presents a schematic representation of the reclamation activities in XMB at various intervals from 1955 to 2021. The reclaimed areas were derived from the analysis of the satellite images and historical nautical chart data. The historical progression of coastal development and reclamation in XMB can be categorized into three distinct phases.
Phase I (1950s–1980s) was characterized by extensive land reclamation and embankment construction projects. Notably, the Gaoji Dike, measuring 2122 m in length and 20 m in width, was constructed to create an engineered separation between West Sea and Tong’an Bay [38]. This phase also saw the establishment of embankments that obstructed Maluan Bay, Xinglin Bay, and Dongkeng Bay, primarily for aquaculture and urban development purposes [31]. The major of reclamation efforts during this period were large to medium-scale projects, predominantly situated in the West Sea and Tong’an Bay, resulting in substantial alteration to the coastline and a reduction in area. The total reclaimed area was 126.48 km2, representing approximately 67.25% of the overall reclaimed land.
The second phase of coastal development (1980s–2010s) marked a strategic transition from extensive land expansion to focused functional development. Reclamation projects were mainly medium and small-scale, mainly addressing urban development and wharf construction needs. The total area reclaimed was 53.02 km2, accounting for approximately 28.19% of the cumulative reclaimed land in XMB, with a concentration in Tong’an Bay and Dadeng waters [32,39].
Since 2010, serious coastal ecological restoration initiatives have been undertaken to improve marine environmental quality and promote sustainable development. A significant milestone was the 2011 Gaoji Seawall Opening Project, which involved the strategic demolition of sections of the 56-year-old seawall to restore essential seawater exchange pathways. Additionally, gaps were created in the Xinglin, Maluan, and Dongkeng Dikes, measuring 200, 250, and 700 m, respectively, to enhance hydrodynamic conditions in the western sub-bay. The land reclamation efforts during this phase were relatively dispersed, except for the construction of Dadeng Airoprt. The changes to the shoreline were primarily concentrated in the Dadeng Waters and Jiulong River Estuary, with the total reclaimed area decreased sharply to 8.58 km2, which constitutes 4.56% of the total reclamation area.
In terms of spatial distribution, the reclamation projects of XMB are predominantly located in the West Sea, Tong’an Bay and Dadeng Waters (Table 2). The reclaimed area in the West Sea was 62.68 km2, accounting for 33.33% of the total reclamation in XMB. Tong’an Bay saw a reclamation area of 42.79 km2, representing 22.75% of the total, while Dadeng Waters accounted for 29.69 km2, or 15.79% of the total reclamation area. Collectively, the reclamation efforts in these three sea areas comprise 71.86% of the total reclamation area in XMB.

3.2. Distribution of the Tidal Current Field

Figure 7 shows the surface and bottom flow fields diagrams at flood tide and ebb tide in 2021 of the XMB. Tidal currents enter through the open boundaries and bifurcate into two branches: one originating from the north and the other from the south. As the southern branch traverses west of Jinmen Island, it splits two streams: one stream flows northwest towards the Jiulong River Estuary and the West Sea, while the other stream flows northeast along the Jinmen waterway and the eastern waterway of XMB. These two streams subsequently converge with the northern branch from Weitou in the maritime area southwest of Dadeng Island at the entrance of Tong’an Bay before continuing northward into Tong’an Bay. During ebb tide, the current reverses directions and flows seaward to the landward movement observed during flood tide. Simulation results indicate that the current speed in the strong current areas typically reaches 1.0 m/s. The tidal currents within the bay are predominantly influenced by the topography, exhibiting a reciprocating flow pattern. The waterways between the eastern and western maritime areas of Xiamen Island and Jinmen Waterway all demonstrate a reciprocating flow pattern aligned with the orientation of the waterways. Specifically, the flood tide flows towards the northwest or north, while the ebb tide flows towards the southeast or south. By comparing with the surface flow field, as the water depth increases and the water area decreases, the bottom flow velocity will decrease, but the flow field structure is basically consistent with that of the surface.
Figure 8 illustrates the flow patterns of tidal current during both flood and ebb tides in typical years (1955, 1984 and 2013). The patterns of tidal currents exhibit similarities across various coastal configurations, with some localized variations attributable to reclamation and levee construction projects. In 1955, the coastline of XMB retained its natural characteristics, with areas such as Xinglin Bay, Maluan Bay, and Dongkeng Bay functioning as open water bodies (Figure 8a). The waters of the West Sea and Tong’an Bay were interconnected tidal zones. Seawater entering the West Sea diverged into northwestern branches flowing into Maluan Bay and Xinglin Bay. Concurrently, tidal currents from the West Sea and Tong’an Bay converged at the Gaoji Seawall cross-section, resulting in a tidal convergence zone due to their combined hydraulic interactions.
The construction of an artificial Gaoji Dike system resulted in the completely hydrologically isolation of the two sub-bays, effectively ceasing tidal exchange between the West Sea and Tong’an Bay from 1970 to 2012 (see Figure 8b). During this period, there was a marked reduction in flow velocity on both sides of the Gaoji Dike. However, following the partial opening of the Gaoji Dike in 2012, tidal currents from the eastern sub-bay resumed their westward flow. This development facilitated the reestablishment of water exchange between Maluan Bay and Xinglin Bay with the external water mass through the gate, thereby enhancing the current in the West Sea (see Figure 8c). Nevertheless, the flow velocity remains lower than that was in 1955.

3.3. Spatial Variation in Residence Time

The mean residence time isolines demonstrate landward increasing behavior, progressing from lower values (~1 days) near the Jinmen Island interface to higher values (>60 days) at the northwestern bay extremities (Figure 9). This pattern aligns with the findings reported in Cheng’s research [6]. Overall, the average residence time displayed a distinct spatial gradient, with higher values in the northwest and lower values in the southeast, with isochrones of residence time progressively increasing from the outer sea toward the bay’s interior. The distribution pattern is primarily influenced by three factors: the distance to the entrance of the bay, the tidal current structure, and the intertidal zone areas [40]. The distribution of residence time observed in numerous bays demonstrates a progressive increase in residence time as one move from the bay entrance towards more interior areas. This phenomenon can be attributed to the greater distance from the open sea and the more restricted hydrodynamic exchange within enclosed areas of the bay.
In 1955, the shoreline of XMB was primarily characterized by its natural state (Figure 9a), featuring an expansive water area, significant tidal volume, strong internal connectivity within the bay, vigorous hydrodynamic forces, and a high rate of water exchange between the bay and the adjacent open sea. This dynamic resulted in generally low residence times for water within the bay. In contrast, the regions surrounding Xinglin Bay, Maluan Bay, and the upper sections of Tong’an Bay exhibited relatively extended water residence times, indicating weaker hydrodynamic forces in these areas. This condition led to prolonged water exchange durations, thereby facilitating the accumulation of pollutants. Specifically, the average residence time in the West Sea varied between 20 and 46 days, while in Tong’an Bay, it ranged from 13 to 49 days, and in the Jiulong River estuary, it was between 2 and 24 days. The shortest residence time was recorded in the Dadeng Sea, with a range of 1 to 26 days.
By 1970, the shoreline conditions had changed due to the construction of the Gaoji Dike, Jixing Dike, and Maluan Bay Dike, which disrupted the seawater circulation between the West Sea and Tong’an Bay (Figure 9b). This disruption further diminished the tidal volume in the West Sea, leading to a significant increase in the residence time of both West Sea and Tong’an Bay. Consequently, Tong’an Bay emerged as the area with the longest residence time, now ranging from 13 to 56 days, reflecting an increase of approximately 11 days compared to previous conditions. The average residence time in the West Sea also increased, now ranging from 25 to 55 days, which represents an increase of about 7 days. The residence time in the Jiulong River Estuary experienced a slight increase, primarily attributed to the extended duration in the West Sea, while the conditions in the Dadeng Waters remained relatively unchanged.
The spatial distribution characteristics of the residence time in XMB for the years 1984 (Figure 9c) and 2003 (Figure 9d) exhibited similarities to those observed in 1970. In contrast, the residence time in Tong’an Bay has experienced a notable increase, whereas the West Sea and Dedeng Waters have shown only a slight increase in residence time. Additionally, the Jiulong River Estuary demonstrated minimal changes over this period.
Around 2013 (Figure 9e), the opening of the Gaoji Seawall enhanced water exchange between the West Sea and Tong’an Bay. Subsequently, large-scale comprehensive marine improvement projects were initiated. In addition to the maintenance dredging of navigation channels, extensive dredging and comprehensive remediation efforts have been conducted in the shallow waters of the West Sea, Tong’an Bay, and the Dadeng Sea Area. These dredging and sediment removal projects have contributed to the improvement of hydrodynamic conditions in XMB. Notably, the water exchange cycle between the West Sea and Tong’an Bay experienced a significant reduction in duration. Additionally, there has been a modest improvement in the Jiulong River Estuary. However, the average residence time in Tong’an Bay and Dadeng Waters increased slightly because of certain reclamation projects in 2021 (Figure 9f), while other marine areas in XMB exhibited minimal changes.

3.4. Temporal Variation in Residence Time

Utilizing simulation outcomes derived from various shoreline conditions, the average residence times for each year in the West Sea, Tong’an Bay, Jiulong River Estuary, and Dadeng Waters were calculated to elucidate the patterns of water exchange characteristics in XMB. The findings were presented in Table 3 and Figure 10.
As shown in Table 3 and Figure 10, the average residence time in Tong’an Bay has undergone significant fluctuations since the 1950s, initially exhibiting an upward trend followed by a decline, a change primarily attributed to coastal reclamation initiatives in Tong’an Bay and the northeastern region of XMB. These projects resulted in a reduction in the water area and a continuous decrease in water exchange capacity, thereby extending the residence time. However, following the implementation of sea dike openings and dredging operations, the average residence time decreased to 37.41 days in 2013 and 39.04 days in 2021. Despite the occurrence of sporadic reclamation projects during this timeframe, the water exchange capacity of Tong’an Bay has been partially restored, leading to improvements in the hydrodynamic environment.
The mean residence time in the West Sea displays a similar trend to that of Tong’an Bay but with slightly less variation. It gradually increased from 29.72 days in 1955 to 39.43 days in 2003. With the execution of sea dike opening and dredging projects, water circulation in the West Sea has been enhanced, restoring its water exchange capacity. Consequently, the residence time was recorded at 35.92 days in 2013 and 36.12 days in 2021.
In the Dadeng Waters, the average residence time has demonstrated a gradual increasing trend over the years, rising from 8.23 days in 1955 to 10.40 days in 2003. Although there was a decrease in 2013, the average residence time rose to 11.77 days in 2021, following the implementation of the Dadeng Airport reclamation project.
The overall change trend of the average residence time in the Jiulong River Estuary is less pronounced. It gradually increased from 9.66 days in 1955 to 11.09 days in 2003, followed by a decrease to 10.72 days in 2013 and a slight increase to 10.81 days in 2021.
Throughout the research period, the average residence time in XMB initially increased before subsequently declining. From 1955 to 2003, the ongoing implementation of reclamation projects led to a reduction in XMB, resulting in decreased water exchange and a gradual increase in residence time from 13.28 days to 16.94 days. Subsequently, the initiation of ecological restoration projects, including the opening of the seawall and dredging activities, improved the water exchange capacity of XMB, leading to a reduction in residence time to 15.23 days in 2013 and 16.12 days in 2021. The hydrodynamic conditions in the West Sea and Tong’an Bay have been restored to levels comparable to those observed along the shoreline in 1970. These findings align with the results reported by Wang et al. [31].

4. Discussion

4.1. Impact of Spatio-Temporal Distribution

XMB has significantly contributed to the advancement of human civilization, attributable to its strategic geographical position and abundant natural resources. Nonetheless, rapid socioeconomic development and intensive human activities have exerted considerable pressure on the bay’s resources, environment, and ecosystem. Since the 1950s, extensive land reclamation initiatives have been implemented in XMB to alleviate the scarcity of land resources, resulting in significant coastline modifications. Based on previous studies, this paper investigates the influence of shoreline changes on the water residence time in XMB. Our findings are consistent with those of Wang et al. [31], indication that shoreline changes have reduce the XMB area and weakened water exchange capacity. This hydrodynamic alteration may further hinder the diffusion of temperature, accumulation of heavy metals, and abnormal nutrient distribution, thereby posing potential risks to the local ecological equilibrium.
Specifically, our model results reveal that reclamation activities, particularly in the upper regions of the West Sea and Tong’an Bay, have significantly weakened tidal currents (as shown in Figure 8 and Figure 9), which further suppresses water exchange. This hydrodynamic alteration impedes the transport of nutrient and heavy metal, likely increasing the risk of localized water quality deterioration [6]. The spatially heterogeneous distribution of water residence time—especially prolonged residence time exceeding 40 days in the West Sea and Tong’an Bay—appears to facilitate phytoplankton proliferation and harmful algal blooms [41]. This finding is consistent with observations in other semi-enclosed bays worldwide, where extended water residence time is frequently associated with the occurrence of red tide events [42]. In fact, the historical expansion of red tides events in XMB from the West Sea in the 1980s to Tong’an Bay in the 1990s, the Jiulong River Estuary in the 2000s, and Dadeng Sea in the 2010s exhibits a notable correlation with the temporal increase in average residence time in our study. This pattern underscores the linkage between weakened hydrodynamics and red tide occurrence, while this correlation highlights the role of water exchange in bay water quality, pollutant levels remain influenced by multiple factors. Further research is needed to quantify the specific impact of reclamation activities.
In Xiamen, seawall openings and dredging projects improved hydrodynamics and ecological conditions but also caused partial ecosystem disturbance. Thus, ecological restoration must integrate modeling, monitoring, and evaluation to identify measures that effectively enhance hydrodynamic processes and reduce ecological risks, supporting informed and sustainable management decisions.

4.2. Relationship Between the Bay Area and Residence Time

Tidal currents serve as the primary drivers of alterations in the aquatic environment within coastal regions, while hydrodynamic conditions are closely linked to bays area. Reclamation initiatives along the XMB have altered tidal currents, consequently influencing the water exchange capacity. Figure 11 illustrates the relationship between bay area and average residence time. The calculation results show that the average residence in XMB over the past 70 years presents a typical negative correlation with the bay area. This trend is especially pronounced in the West Sea and Tong’an Bay, where continuous land reclamation have progressively advanced the coastline seaward, reducing bay area and increasing residence time. These findings aligh with those reported by Xu et al. [27] and Sun et al. [43], confirming that shoreline modification reduces bay area and consequently diminish water exchange capability.
A notable turning point occurred with the opening of the Gaoji Dike opening projects, which significantly enhanced the water capacity of both West Sea and Tong’an Bay and decreased the water residence time. The findings further indicate that, although a negative correlation exists between total bay area and water residence time, the most significant alterations were driven by the strategic opening of dams and dikes. As clearly illustrated in Figure 11, these engineering interventions restored residence times in the West Sea and Tong’an Bay to levels comparable to those prior to the 1970s. This recovery took place despite a net loss of approximately 20 km2 in the West Sea and 30 km2 in Tong’an Bay due to subsequent reclamation, underscoring the predominant influence of hydrodynamic connectivity over basin area in governing flushing efficiency in these regions.

4.3. Influence by the River Flow and Wind

River flow and the wind were the primary physical factors influencing the water exchange dynamics except the tidal. To assess the extent to which river flow and wind affect the water exchange capacity of XMB, three numerical experiments were conducted under the shoreline conditions used in 2021. The first experiment excluded the Jiulong River flow. The second experiment incorporated a northeast wind (NE), which is the prevailing wind direction throughout the year, with a wind speed of 3.7 m/s. The third experiment accounts for a southeast wind (SE), the dominant wind direction during the summer months, with a wind speed of 2.4 m/s. The planar distribution of the results from these three experiments is illustrated in Figure 12, while the statistical data regarding the average retention time for each bay is presented in Table 3.
A comparative analysis of Figure 9f and Figure 12a reveals that, without Jiulong River flow input, the residence time of the Jiulong River Estuary progressively increases from the estuary towards the west, exceeding 40 days. Additionally, a slight increase in residence time is noted in the West Sea, while other marine regions, such as Tong’an Bay, exhibit minimal changes (see Table 1). This spatial distribution suggests that freshwater from the Jiulong River is predominantly transported in an easterly direction, thereby enhancing the water exchange between the Jiulong River Estuary and the West Sea. The findings of this study further support the conclusion that the freshwater from the Jiulong River primarily influences both the Jiulong River Estuary and the West Sea in XMB. This study demonstrates that increased freshwater input significantly reduces the water residence time. This finding aligns with observations from Tokyo Bay [28] and Cartagena Bay [44], providing robust support for the driving relationship between freshwater discharge and the retention time of water bodies.
The average residence time of the XMB is recorded at 15.86 days under northeast wind conditions and 17.21 days under southeast wind conditions (refer to Table 3). Wind direction exerted a clear influence on the spatial distribution of residence time, as evidenced by distinct regional variations shown in the residence time distribution maps under different wind scenarios (Figure 12b,c). The northeast wind predominantly drives water movement in a southwest direction in the shallow region of the bay. Compared with the result obtained from tidal simulations (see Figure 9f), the wind facilitates a southward water movement, resulting in a reduced residence time in both the West Sea and Tong’an Bay, likely attributable to the water mixing process. In summer, southeasterly winds may impede water exchange. Overall, wind significantly influences the duration of water exchange. However, a detailed analysis is required to account for variables such as wind speed, wind direction and the specific characteristics of the bay.
Existing studies have indicated that freshwater input and wind patterns significantly influence water exchange characteristics in XMB. Consequently, climate change is likely to affect the bay’s water exchange capacity through multiple mechanisms. Sea-level rise may alter tidal asymmetry and modify water exchange efficiency; shifts in precipitation regimes could lead to more pulsed freshwater discharges, where intense runoff enhances stratification and suppresses vertical mixing, while drought conditions diminish estuarine flushing capacity; and rising water temperatures may exacerbate thermal stratification, thereby inhibiting vertical oxygen transport. Collectively, these changes could substantially modify the bay’s water exchange rate, posing considerable challenges for ecological management. A detailed understanding of the specific mechanisms by which climate change affects water exchange in XMB requires further investigation through dedicated numerical modeling studies in the future.

4.4. Suggestions for Policy Measures

The rapid development of China’s social economy and the swift progression of urbanization have prompted the Gulf region to mitigate the tension between population growth and land availability through extensive land reclamation efforts, yielding significant economic benefits. From the 1950s until the end of the 20th century, China’s land reclamation policies were predominantly development oriented. Significant reclamation activities occurred in the West Sea and Tong’an Bay, encompassing industrial development, aquaculture, and urban construction, which facilitated the socio-economic advancement of Xiamen City. However, these initiatives have caused substantial ecological damage to the bay, resulting in a reduction in bay area, weakened water exchange and self-purification capacities, and an increasingly pronounced conflict between economic development and marine ecological conservation.
In response to these challenges, the land reclamation policy underwent a significant transformation, shifting from stringent approval processes in 2002 to strict regulatory control by 2018. Except for major national strategies, all new land reclamation approvals were entirely suspended, effectively containing the reclamation area of XMB. Concurrently, a series of ecological restoration initiatives, such as the opening of the seawall, dredging and deepening, and the planting of mangroves, have improved the hydrodynamic environment and enhanced the water capacity of XMB.
Land reclamation significantly modifies coastal configurations, resulting in a significant reduction in water exchange efficiency. Although the hydrodynamic environment and water exchange capabilities of XMB have experienced some restoration, they have not yet fully returned to pre-development hydrodynamic conditions. Therefore, it is essential to implement the following measures to achieve sustainable development of the marine environment: (1) rigorously controlling the scale and intensity of future land reclamation projects and accelerating the ecological restoration of historical reclamation; (2) systematically advancing the protection and restoration of typical ecosystems such as mangroves, sandy beaches, and coastal shorelines; (3) continuing marine ecological restoration projects in key areas like the Tong’an Bay, implementing comprehensive ecological restoration initiatives, and enhancing wherever possible the resilience of aquatic systems; (4) strengthening the “One-Bay-One-Policy” integrated governance framework, promoting the construction of Beautiful bays tailored to local conditions and improving the overall resilience and stability of aquatic ecosystems.

5. Conclusions

This study employs numerical simulation and remote sensing interpretation methodologies to digitally analyze satellite imagery from six pivotal years (1955, 1970, 1984, 2003, 2013, and 2021) spanning from 1955 to 2021. It quantifies the dynamic changes in the shoreline of Xiamen Bay, evaluates the spatiotemporal variations in the average residence time within the bay, and investigates the alterations in the water exchange capacity of XMB. The findings lead to the following principal conclusions:
(1) Between 1955 and 2021, the total area reclaimed in XMB amounted to approximately 188.08 km2, resulting in a 17.8% decrease in the overall area of the bay. The extensive land reclamation has induced alterations to the coastline, consequently leading to a decrease in the bay area. The evolution of the XMB coastline has transitioned from large-scale reclamation expansion to functional development, and currently to ecological restoration and the construction of openings in sea dikes. This progression signifies a shift from a “development priority” approach to an “ecological priority” framework, providing practical example for marine ecological governance and sustainable development.
(2) The isopleths representing the average residence time in XMB exhibit a spatial distribution characterized by higher values in the northwest and lower values in the southeast, with a gradual increase from the open sea towards the interior of the bay. The average water residence time in XMB increased from 13.28 days in 1955 to 16.94 days in 2003 and then decreased to 16.12 days due to the implementation of ecological restoration initiatives, such as seawall openings and dredging, contributed to a reduction in residence time. Notably, the changes in residence time in Tong’an Bay were the most pronounced, followed by that in the West Sea. The residence time in the Dadeng Waters exhibited a gradual upward trend, whereas changes at the Jiulong River Estuary were minimal.
(3) The findings indicate that modifications to the coastline due to land reclamation have significantly impacted the hydrodynamic environment of XMB, leading to a reduction in the bay area and a diminishment in its self-purification capabilities. It is advised that land reclamation activities be strictly prohibited, and that ecological restoration efforts be undertaken to enhance the tidal dynamics and water exchange capacity to the greatest extent feasible, thereby safeguarding and rehabilitating the marine ecosystem of XMB.

Author Contributions

Conceptualization, C.W.; methodology, C.W. and J.W.; software, C.W. and S.J.; validation, C.W. and S.J.; data curation, H.W.; writing—original draft preparation, C.W.; writing—review and editing, C.W., J.W., H.W. and S.J.; project administration, C.W.; funding acquisition, C.W. All authors have read and agreed to the published version of the manuscript.

Funding

This research was funded by the Natural Science Foundation of Xiamen, China (No. 3502Z20227248).

Data Availability Statement

The data presented in this study are included in the article. Further inquiries can be directed to the corresponding author.

Conflicts of Interest

The authors declare no conflicts of interest.

References

  1. Wang, L.N. Analysis of Hydrodynamic Characteristics Based on Random Walk Model in Tonkin Gulf. Master’s Thesis, Xiamen University, Xiamen, China, 2014. [Google Scholar]
  2. Geyer, W.R.; MacCready, P. The estuarine circulation. Annu. Rev. Fluid Mech. 2014, 46, 175–197. [Google Scholar] [CrossRef]
  3. Fukumoto, T.; Kobayashi, N. Bottom stratification and water exchange in enclosed bay with narrow entrance. J. Coast. Res. 2005, 21, 135–145. [Google Scholar] [CrossRef]
  4. Delhez, É.J.; Heemink, A.W.; Deleersnijder, É. Residence time in a semi-Enclosed domain from the solution of an adjoint problem. Estuar. Coast. Shelf Sci. 2004, 61, 691–702. [Google Scholar] [CrossRef]
  5. Nguyen, T.D.; Hawley, N.; Phanikumar, M.S. Ice cover, winter circulation, and exchange in Saginaw Bay and Lake Huron. Limnol. Oceanogr. 2017, 62, 376–393. [Google Scholar] [CrossRef]
  6. Cheng, P.; Wang, A.; Wu, J.; Lin, Y.; Chen, J.; Chen, N. An assessment of residence and influence times in Xiamen Bay, China. Estuar. Coast. Shelf Sci. 2021, 262, 107595. [Google Scholar] [CrossRef]
  7. Li, Y.; Zhang, Q.; Yao, J. Investigation of residence and travel times in a large floodplain lake with complex lake-river interactions: Poyang Lake (China). Water 2015, 7, 1991–2012. [Google Scholar] [CrossRef]
  8. Nguyen, T.D.; Thupaki, P.; Anderson, E.J.; Phanikumar, M.S. Summer circulation and exchange in the Saginaw Bay-Lake Huron system. J. Geophys. Res. Oceans 2014, 119, 2713–2734. [Google Scholar] [CrossRef]
  9. Dabrowski, T.; Hartnett, M.; Olbert, A.I. Determination of flushing characteristics of the Irish Sea: A spatial approach. Comput. Geosci. 2012, 45, 250–260. [Google Scholar] [CrossRef]
  10. Zimmerman, J.T.F. Mixing and flushing of tidal embayments in the western Dutch Wadden Sea part I: Distribution of salinity and calculation of mixing time scales. Neth. J. Sea Res. 1976, 10, 149–191. [Google Scholar] [CrossRef]
  11. Chen, X. A laterally averaged two-dimensional trajectory model for estimating transport time scales in the Alafia River estuary, Florida. Estuar. Coast. Shelf Sci. 2007, 75, 358–370. [Google Scholar] [CrossRef]
  12. Yuan, D.; Lin, B.; Falconer, R.A. A modelling study of residence time in a macro-tidal estuary. Estuar. Coast. Shelf Sci. 2007, 71, 401–411. [Google Scholar] [CrossRef]
  13. Zhu, J.; Weisberg, R.H.; Zheng, L.; Han, S. On the flushing of Tampa Bay. Estuar. Coasts 2015, 38, 118–131. [Google Scholar] [CrossRef]
  14. Monsen, N.E.; Cloern, J.E.; Lucas, L.V.; Monismith, S.G. A comment on the use of flushing time, residence time, and age as transport time scales. Limnol. Oceanogr. 2002, 47, 1545–1553. [Google Scholar] [CrossRef]
  15. Rynne, P.; Reniers, A.; Van de Kreeke, J.; MacMahan, J. The effect of tidal exchange on residence time in a coastal embayment. Estuar. Coast. Shelf Sci. 2016, 172, 108–120. [Google Scholar] [CrossRef]
  16. Jiang, C.; Liu, Y.; Long, Y.; Wu, C. Estimation of Residence Time and Transport Trajectory in Tieshangang Bay, China. Water 2017, 9, 321. [Google Scholar] [CrossRef]
  17. Zhu, G.; Xu, X. Research review on environmental effects of the land reclamation from sea. Ecol. Environ. Sci. 2011, 20, 761–766. [Google Scholar]
  18. Sengupta, D.; Choi, Y.R.; Tian, B.; Brown, S.; Meadows, M.; Hackney, C.R.; Banerjee, A.; Li, Y.; Chen, R.; Zhou, Y. Mapping 21st century global coastal land reclamation. Earth’s Future 2023, 11, e2022EF002927. [Google Scholar] [CrossRef]
  19. Intergovernmental Panel on Climate Change (IPCC). Climate Change 2021: The Physical Science Basis; Cambridge University Press: Cambridge, UK, 2021. [Google Scholar]
  20. United Nations Environment Programme (UNEP). Global Coastal Degradation Assessment: Impacts of Reclamation and Infrastructure Development on Marine Ecosystems; UNEP: Nairobi, Kenya, 2023. [Google Scholar]
  21. Patgaonkar, R.S.; Vethamony, P.; Lokesh, K.S.; Babu, M.T. Residence time of pollutants discharged in the Gulf of Kachchh, northwestern Arabian Sea. Mar. Pollut. Bull. 2012, 64, 1659–1666. [Google Scholar] [CrossRef] [PubMed]
  22. Grifoll, M.; Del Campo, A.; Espino, M.; Mader, J.; González, M.; Borja, Á. Water renewal and risk assessment of water pollution in semi-enclosed domains: Application to Bilbao Harbour (Bay of Biscay). J. Mar. Syst. 2013, 109–110, S241–S251. [Google Scholar] [CrossRef]
  23. Ferrarin, C.; Ghezzo, M.; Umgiesser, G.; Tagliapietra, D.; Camatti, E.; Zaggia, L.; Sarretta, A. Assessing hydrological effects of human interventions on coastal systems: Numerical applications to the Venice Lagoon. Hydrol. Earth Syst. Sci. 2013, 17, 1733–1748. [Google Scholar] [CrossRef]
  24. Plus, M.; Dumas, F.; Stanisière, J.Y.; Maurer, D. Hydrodynamic characterization of the Arcachon Bay, using model-derived descriptors. Cont. Shelf Res. 2009, 29, 1008–1013. [Google Scholar] [CrossRef]
  25. Sun, Y.-J.; Jalón-Rojas, I.; Wang, X.H.; Jiang, D. Coastal upwelling by wind-driven forcing in Jervis Bay, New South Wales: A numerical study for 2011. Estuar. Coast. Shelf Sci. 2018, 206, 101–115. [Google Scholar] [CrossRef]
  26. Jia, H.; Shen, Y.; Su, M.; Yu, C. Numerical simulation of hydrodynamic and water quality effects of shoreline changes in Bohai Bay. Front. Earth Sci. 2018, 12, 625–639. [Google Scholar] [CrossRef]
  27. Xu, C.; Zhou, C.; Ma, K.; Wang, P.; Yue, X. Response of Water Environment to Land Reclamation in Jiaozhou Bay, China Over the Last 150 Years. Front. Mar. Sci. 2021, 8, 750288. [Google Scholar] [CrossRef]
  28. Okada, T.; Nakayama, K.; Takao, T.; Furukawa, K. Influence of freshwater input and bay reclamation on long-term changes in seawater residence times in Tokyo bay, Japan. Hydrol. Process. 2011, 25, 2694–2702. [Google Scholar] [CrossRef]
  29. Kuang, C.; Wang, D.; Wang, G.; Liu, J.; Han, X.; Li, Y. Impact of reclamation projects on water quality in Jinmeng Bay, China. Estuar. Coast. Shelf Sci. 2024, 300, 11. [Google Scholar] [CrossRef]
  30. Lin, P.R.; Wen, S.H.; Tang, J.J. Numerical simulation of two-dimensional tidal current filed in Xiamen Waters. Taiwan Strait 2008, 27, 526–532. [Google Scholar]
  31. Wang, J.; Hong, H.S.; Zhou, L.M.; Hu, J.Y.; Jiang, Y.W. Numerical modeling of hydrodynamic changes due to coastal reclamation projects in Xiamen Bay, China. Chin. J. Oceanol. Limnol. 2013, 31, 334–344. [Google Scholar] [CrossRef]
  32. Lu, R. A Study on the Cumulative Effects of Coastal Reclamation to Hydrodynamics in Xiamen Bay; Third Institute of Oceanography, State Oceanic Administration: Xiamen, China, 2010. [Google Scholar]
  33. Ma, T.; Liu, W.H.; Song, C.; Cheng, W. Application of MIKE3 in prediction analysis of the water temperature of reservoir. Power Syst. Clean Energy 2009, 25, 68–71. [Google Scholar]
  34. Faghihifard, M.; Badri, M.A. Simulation of oil pollution in the Persian Gulf near Assaluyeh oil terminal. Mar. Pollut. Bull. 2016, 105, 143–149. [Google Scholar] [CrossRef] [PubMed]
  35. Fairley, I.; Masters, I.; Karunarathna, H. Numerical modelling of storm and surge events on offshore sandbanks. Mar. Geol. 2016, 371, 106–119. [Google Scholar] [CrossRef]
  36. Xiong, J.; Shen, J.; Qin, Q.; Du, J. Water exchange and its relationships with external forcings and residence time in Chesapeake Bay. J. Mar. Syst. 2020, 215, 103497. [Google Scholar] [CrossRef]
  37. Yuan, Y.; Jalón-Rojas, I.; Wang, X.H. Response of water-exchange capacity to human interventions in Jiaozhou Bay, China. Estuar. Coast. Shelf Sci. 2020, 249, 107088. [Google Scholar] [CrossRef]
  38. Cheng, H.; Zeng, W.; Shi, W.; He, H. The changes of sedimentation rate in the Xiamen Harbour since the construction of sea causeway and their implication for the ocean engineering. J. Oceanogr. Taiwan Strait 1985, 4, 45–52. [Google Scholar]
  39. Zhang, L. Retrospective Assessment of Environmental Impact of Reclamation Planning in the Bays of Fujian Province; Science Press: Beijing, China, 2008. [Google Scholar]
  40. Xu, X.F.; He, Q.Q.; Song, D.; Yang, Z.L.; Yu, L.L. Comparison of hydrodynamic influence between different types of bay reclamations. J. Hydrod. 2018, 30, 694–700. [Google Scholar] [CrossRef]
  41. Chen, B.H.; Wang, K.; Xu, D.; Lin, H. Long-term changes in red tide outbreaks in Xiamen Bay in China from 1986 to 2017. Estuar. Coast. Shelf Sci. 2021, 249, 107095. [Google Scholar]
  42. Bravo, H.R.; Hamidi, S.A.; Anderson, E.J.; Klump, J.V.; Khazaei, B. Timescales of transport through lower green bay. J. Great Lakes Res. 2020, 46, 1292–1306. [Google Scholar] [CrossRef]
  43. Sun, J.; Peng, L.; Zhu, X.; Li, Z.; Shi, H.; Zhan, C.; You, Z. The effects of changes in the coastline and water depth on tidal prism and water exchange of the Laizhou Bay, China. Front. Mar. Sci. 2024, 11, 1459482. [Google Scholar] [CrossRef]
  44. Tosic, M.; Martins, F.; Lonin, S.; Izquierdo, A.; Dario Restrepo, J. Hydrodynamic modelling of a polluted tropical bay: Assessment of anthropogenic impacts on freshwater runoff and estuarine water renewal. J. Environ. Manag. 2019, 236, 695–714. [Google Scholar] [CrossRef] [PubMed]
Figure 1. Bathymetry evolution and observation stations in Xiamen Bay. (a) 1985; (b) 2003; (c) 2021.
Figure 1. Bathymetry evolution and observation stations in Xiamen Bay. (a) 1985; (b) 2003; (c) 2021.
Jmse 13 01868 g001
Figure 2. Methodological framework applied in the present study.
Figure 2. Methodological framework applied in the present study.
Jmse 13 01868 g002
Figure 3. Comparison between the observation and simulation of tidal elevation versus time.
Figure 3. Comparison between the observation and simulation of tidal elevation versus time.
Jmse 13 01868 g003
Figure 4. Comparison of the depth-average speed and direction of tidal currents with time between observation and simulation.
Figure 4. Comparison of the depth-average speed and direction of tidal currents with time between observation and simulation.
Jmse 13 01868 g004
Figure 5. Maps of the coastline change in XMB from 1955 to 2021.
Figure 5. Maps of the coastline change in XMB from 1955 to 2021.
Jmse 13 01868 g005
Figure 6. Maps of reclamation in XMB at different times from 1955 to 2021.
Figure 6. Maps of reclamation in XMB at different times from 1955 to 2021.
Jmse 13 01868 g006
Figure 7. Simulated flow fields at flood tide (red arrow) and ebb tide (blue arrow) in the XMB. (a) Surface field in 2021; (b) Bottom field in 2021.
Figure 7. Simulated flow fields at flood tide (red arrow) and ebb tide (blue arrow) in the XMB. (a) Surface field in 2021; (b) Bottom field in 2021.
Jmse 13 01868 g007
Figure 8. Simulated depth-average hydrodynamics fields at flood tide (red arrow) and ebb tide (blue arrow) in the XMB. (a) 1955; (b) 1984; (c) 2013.
Figure 8. Simulated depth-average hydrodynamics fields at flood tide (red arrow) and ebb tide (blue arrow) in the XMB. (a) 1955; (b) 1984; (c) 2013.
Jmse 13 01868 g008aJmse 13 01868 g008b
Figure 9. Spatial distributions of Residence time in the XMB. (a) 1955; (b) 1970; (c) 1984; (d) 2003; (e) 2013; (f) 2021.
Figure 9. Spatial distributions of Residence time in the XMB. (a) 1955; (b) 1970; (c) 1984; (d) 2003; (e) 2013; (f) 2021.
Jmse 13 01868 g009aJmse 13 01868 g009b
Figure 10. The mean residence time changes in water bodies in different areas.
Figure 10. The mean residence time changes in water bodies in different areas.
Jmse 13 01868 g010
Figure 11. The relationship between the Bay area and the average residence time.
Figure 11. The relationship between the Bay area and the average residence time.
Jmse 13 01868 g011
Figure 12. Spatial distributions of Residence time of the XMB in 2021. (a) Without Jiulong River flow; (b) With northeast wind; (c) With southeast wind.
Figure 12. Spatial distributions of Residence time of the XMB in 2021. (a) Without Jiulong River flow; (b) With northeast wind; (c) With southeast wind.
Jmse 13 01868 g012aJmse 13 01868 g012b
Table 1. Statistics of reclamation area in XMB at different periods.
Table 1. Statistics of reclamation area in XMB at different periods.
Periods1955~19701970~19841984~20032003~20132013~2021Total
Area (km2)43.9082.5825.1327.898.58188.08
Proportion (%)23.3443.9113.3614.834.56100
Table 2. Statistics of Reclamation Area in the Main Region of XMB.
Table 2. Statistics of Reclamation Area in the Main Region of XMB.
RegionWest SeaTong’an BayDadeng WatersJiulong River EstuaryAnhai BayOthersTotal
Area (km2)62.6842.7929.6913.3616.0923.47188.08
Proportion (%)33.3322.7515.797.108.5512.48100
Table 3. Comparative table of the average residence time of XMB under different simulation scenarios.
Table 3. Comparative table of the average residence time of XMB under different simulation scenarios.
ShorelineRiver
Discharge (m3/s)
Wind
(m/s)
Average Residence Time (Day)
West SeaTong’an BayJiulong River EstuaryDadeng WatersXMB
1955420029.7227.639.668.2313.28
1970420036.5238.410.599.4115.10
1984420038.3943.3510.629.9616.37
2003420039.4346.2211.0910.416.94
2013420035.9237.4110.7210.5815.43
2021420036.1239.0410.8111.7716.12
20210037.1239.0641.4411.7820.08
2021420NE 3.735.7335.8711.2611.2615.86
2021420SE 2.438.1043.6111.1312.2117.21
Disclaimer/Publisher’s Note: The statements, opinions and data contained in all publications are solely those of the individual author(s) and contributor(s) and not of MDPI and/or the editor(s). MDPI and/or the editor(s) disclaim responsibility for any injury to people or property resulting from any ideas, methods, instructions or products referred to in the content.

Share and Cite

MDPI and ACS Style

Wang, C.; Wu, J.; Wu, H.; Jiang, S. Response of Residence Time to Coastline Change in Xiamen Bay, China. J. Mar. Sci. Eng. 2025, 13, 1868. https://doi.org/10.3390/jmse13101868

AMA Style

Wang C, Wu J, Wu H, Jiang S. Response of Residence Time to Coastline Change in Xiamen Bay, China. Journal of Marine Science and Engineering. 2025; 13(10):1868. https://doi.org/10.3390/jmse13101868

Chicago/Turabian Style

Wang, Cui, Jianwei Wu, Haiyan Wu, and Shang Jiang. 2025. "Response of Residence Time to Coastline Change in Xiamen Bay, China" Journal of Marine Science and Engineering 13, no. 10: 1868. https://doi.org/10.3390/jmse13101868

APA Style

Wang, C., Wu, J., Wu, H., & Jiang, S. (2025). Response of Residence Time to Coastline Change in Xiamen Bay, China. Journal of Marine Science and Engineering, 13(10), 1868. https://doi.org/10.3390/jmse13101868

Note that from the first issue of 2016, this journal uses article numbers instead of page numbers. See further details here.

Article Metrics

Back to TopTop