CFD Simulation of the Wave Pattern Above a Submerged Wave Energy Converter
Abstract
1. Introduction
2. Materials and Methods
2.1. Geometry of the Numerical Flume
2.2. Mesh of the Numerical Wave Flume
2.3. Boundary Conditions and Simulation Setup
2.4. Wave Generation Ability of the Numerical Flume
2.5. Selection of the Mesh Count and Simulation Time Step
2.6. CFD Model Validation
3. Results and Discussion
3.1. Wave Pattern on Top of the Static Submerged Cylinder
3.2. Wave Pattern on Top of the Heaving Submerged Cylinder
3.3. Wave Spectrogram on Top of the Heaving Submerged Cylinder
3.4. Wave Patterns on Top of the Submerged Cylinder Under Large Heave Amplitude
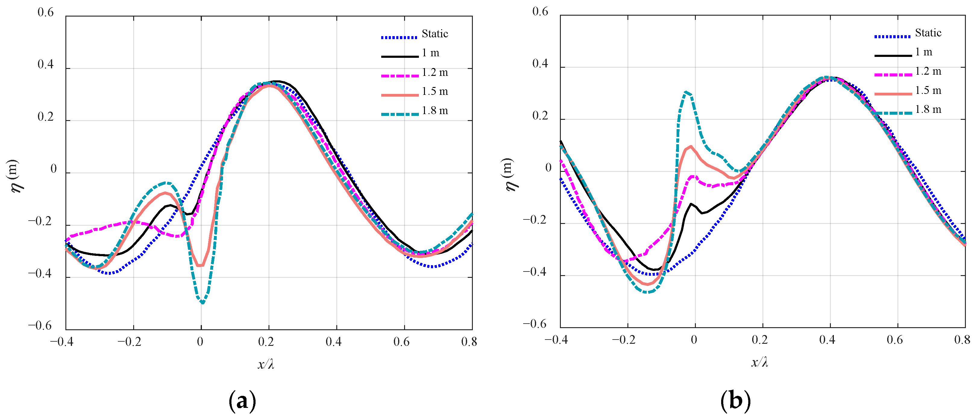
3.5. Wave Pattern on Top of the Heaving Submerged Cylinder at Different Depths
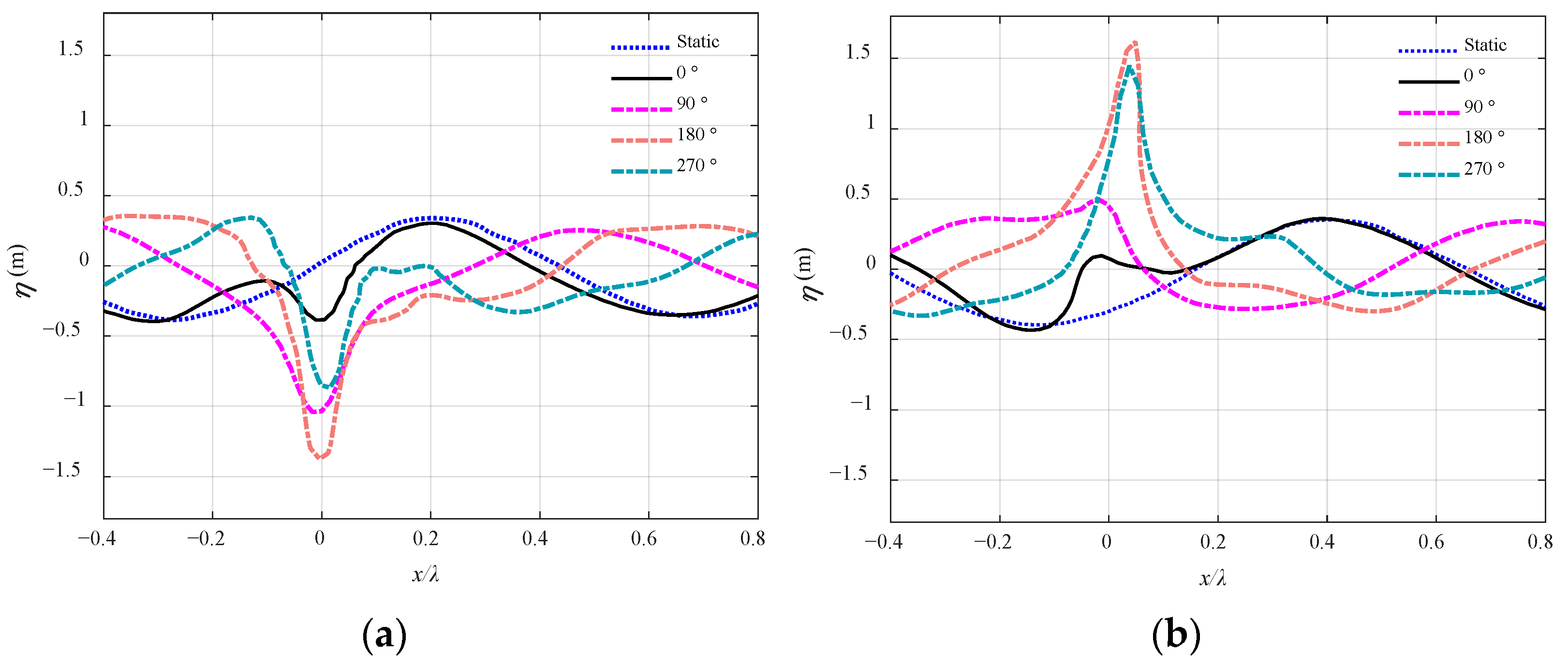
3.6. Wave Pattern on Top of the Surging Submerged Cylinder
3.7. Wave Pattern on Top of the Submerged Cylinder with Forced Pitch Motion
4. Conclusions
Author Contributions
Funding
Institutional Review Board Statement
Informed Consent Statement
Data Availability Statement
Conflicts of Interest
References
- Gomes, R.P.F.; Gato, L.M.C.; Henriques, J.C.C.; Portillo, J.C.C.; Howey, B.; Collins, K.M.; Hann, M.R.; Greaves, D.M. Compact floating wave energy converters arrays: Mooring loads and survivability through scale physical modelling. Appl. Energy 2020, 280, 115982. [Google Scholar] [CrossRef]
- Zhang, D.H.; George, A.; Wang, Y.F.; Gu, X.X.; Li, W.; Chen, Y. Wave tank experiments on the power capture of a multi-axis wave energy converter. J. Mar. Sci. Technol. 2015, 20, 520–529. [Google Scholar] [CrossRef]
- Sergiienko, N.Y.; Cazzolato, B.S.; Ding, B.; Hardy, P.; Arjomandi, M. Performance comparison of the floating and fully submerged quasi point absorber wave energy converters. Renew. Energy 2017, 108, 425–437. [Google Scholar] [CrossRef]
- Falnes, J.; Kurniawan, A. Fundamental formulae for wave-energy conversion. R. Soc. Open Sci. 2015, 2, 140305. [Google Scholar] [CrossRef] [PubMed]
- Penalba, M.; Ulazia, A.; Ibarra-Berastegui, G.; Ringwood, J.; Sáenz, J. Wave energy resource variation off the west coast of Ireland and its impact on realistic wave energy converters’ power absorption. Appl. Energy 2018, 224, 205–219. [Google Scholar] [CrossRef]
- Liu, H.X.; Zhang, W.C.; Zheng, X.B.; Zhang, L.; Zhang, X.W.; Cui, L. Wave energy conversion by cylinder array with a floating platform considering linear/nonlinear PTO damping. J. Mar. Sci. Technol. 2017, 22, 747–757. [Google Scholar] [CrossRef]
- Cheng, Y.; Ji, C.Y.; Zhai, G.J.; Ma, Z. Fully nonlinear simulation of wave-current interaction with an oscillating wave surge converter. J. Mar. Sci. Technol. 2020, 25, 93–110. [Google Scholar] [CrossRef]
- Jin, S.Y.; Greaves, D. Wave energy in the UK: Status review and future perspectives. Renew. Sust. Energ. Rev. 2021, 143, 110932. [Google Scholar] [CrossRef]
- Schubert, B.W.; Robertson, W.S.P.; Cazzolato, B.S.; Ghayesh, M.H. Linear and nonlinear hydrodynamic models for dynamics of a submerged point absorber wave energy converter. Ocean Eng. 2020, 197, 106828. [Google Scholar] [CrossRef]
- Sergiienko, N.Y.; Cazzolato, B.S.; Arjomandi, M.; Ding, B.; da Silva, L.S.P. Considerations on the control design for a three-tether wave energy converter. Ocean Eng. 2019, 183, 469–477. [Google Scholar] [CrossRef]
- Finnegan, W.; Rosa-Santos, P.; Taveira-Pinto, F.; Goggins, J. Development of a numerical model of the CECO wave energy converter using computational fluid dynamics. Ocean Eng. 2021, 219, 108416. [Google Scholar] [CrossRef]
- Lin, P.Z. A multiple-layer σ-coordinate model for simulation of wave-structure interaction. Comput. Fluids 2006, 35, 147–167. [Google Scholar] [CrossRef]
- Letournel, L.; Chauvigné, C.; Gelly, B.; Babarit, A.; Ducrozet, G.; Ferrant, P. Weakly nonlinear modeling of submerged wave energy converters. Appl. Ocean Res. 2018, 75, 201–222. [Google Scholar] [CrossRef]
- Abbasnia, A.; Soares, C.G. Fully nonlinear simulation of wave interaction with a cylindrical wave energy converter in a numerical wave tank. Ocean Eng. 2018, 152, 210–222. [Google Scholar] [CrossRef]
- Rijnsdorp, D.P.; Hansen, J.E.; Lowe, R.J. Simulating the wave-induced response of a submerged wave-energy converter using a non-hydrostatic wave-flow model. Coast. Eng. 2018, 140, 189–204. [Google Scholar] [CrossRef]
- Ning, D.Z.; Wang, R.Q.; Zou, Q.P.; Teng, B. An experimental investigation of hydrodynamics of a fixed OWC Wave Energy Converter. Appl. Energy 2016, 168, 636–648. [Google Scholar] [CrossRef]
- Grue, J. Nonlinear water-waves at a submerged obstacle or bottom topography. J. Fluid Mech. 1992, 244, 455–476. [Google Scholar] [CrossRef]
- Kamath, A.; Chella, M.A.; Bihs, H.; Arntsen, O.A. Energy transfer due to shoaling and decomposition of breaking and non-breaking waves over a submerged bar. Eng. Appl. Comp. Fluid Mech. 2017, 11, 450–466. [Google Scholar] [CrossRef]
- Shi, W.C.; Li, M.X.; Yuan, Z.M. Investigation of the ship-seabed interaction with a high-fidelity CFD approach. J. Mar. Sci. Technol. 2021, 26, 931–946. [Google Scholar] [CrossRef]
- Troch, P.; De Rouck, J. Development of two-dimensional numerical wave flume for wave interaction with rubble mound breakwaters. In Proceedings of the 26th International Conference on Coastal Engineering, Copenhagen, Denmark, 22–26 June 1998. [Google Scholar]
- Olbert, G.; Abdel-Maksoud, M. High-fidelity modelling of lift-based wave energy converters in a numerical wave tank. Appl. Energy 2023, 347, 121460. [Google Scholar] [CrossRef]
- Mackay, E.; Shi, W.; Qiao, D.S.; Gabl, R.; Davey, T.; Ning, D.Z.; Johanning, L. Numerical and experimental modelling of wave interaction with fixed and floating porous cylinders. Ocean Eng. 2021, 242, 110118. [Google Scholar] [CrossRef]
- Lin, P.Z.; Liu, P.L.F. Internal wave-maker for Navier-Stokes equations models. J. Waterw. Port Coast. Ocean Eng.-ASCE 1999, 125, 207–215. [Google Scholar] [CrossRef]
- Malikov, Z.M.; Nazarov, F.K.; Toshpulov, B.S.; Abdurakhmonov, B.A. Numerical Simulation of a Flow in a Two-Dimensional Channel on the Basis of a Two-Liquid Turbulence Model. In Proceedings of the 22nd International Conference on Next Generation Teletraffic and Wired/Wireless Advanced Networks and Systems, Tashkent, Uzbekistan, 15–16 December 2022. [Google Scholar]
- Hirt, C.W.; Nichols, B.D. Volume of Fluid (VOF) method for the dynamics of free boundaries. J. Comput. Phys. 1981, 39, 201–225. [Google Scholar] [CrossRef]
- Jiang, S.-C.; Gou, Y.; Teng, B.; Ning, D.-Z. Analytical Solution of a Wave Diffraction Problem on a Submerged Cylinder. J. Eng. Mech. 2014, 140, 225–232. [Google Scholar] [CrossRef]
- Chu, C.R.; Huynh, L.; Wu, T.R. Large Eddy Simulation of the wave loads on submerged rectangular decks. Appl. Ocean Res. 2022, 120, 103051. [Google Scholar] [CrossRef]
























| Number | 1 | 2 | 3 | 4 | 5 | 6 |
|---|---|---|---|---|---|---|
| Wave period (s) | 2.78 | 3.19 | 3.73 | 4.00 | 4.50 | 5.67 |
| Wavelength (m) | 12.10 | 15.84 | 21.39 | 24.98 | 29.63 | 41.90 |
| Wave amplitude (m) | 0.38 | 0.39 | 0.41 | 0.40 | 0.39 | 0.42 |
Disclaimer/Publisher’s Note: The statements, opinions and data contained in all publications are solely those of the individual author(s) and contributor(s) and not of MDPI and/or the editor(s). MDPI and/or the editor(s) disclaim responsibility for any injury to people or property resulting from any ideas, methods, instructions or products referred to in the content. |
© 2024 by the authors. Licensee MDPI, Basel, Switzerland. This article is an open access article distributed under the terms and conditions of the Creative Commons Attribution (CC BY) license (https://creativecommons.org/licenses/by/4.0/).
Share and Cite
Li, H.; Wu, J. CFD Simulation of the Wave Pattern Above a Submerged Wave Energy Converter. J. Mar. Sci. Eng. 2025, 13, 23. https://doi.org/10.3390/jmse13010023
Li H, Wu J. CFD Simulation of the Wave Pattern Above a Submerged Wave Energy Converter. Journal of Marine Science and Engineering. 2025; 13(1):23. https://doi.org/10.3390/jmse13010023
Chicago/Turabian StyleLi, Hengrui, and Jinming Wu. 2025. "CFD Simulation of the Wave Pattern Above a Submerged Wave Energy Converter" Journal of Marine Science and Engineering 13, no. 1: 23. https://doi.org/10.3390/jmse13010023
APA StyleLi, H., & Wu, J. (2025). CFD Simulation of the Wave Pattern Above a Submerged Wave Energy Converter. Journal of Marine Science and Engineering, 13(1), 23. https://doi.org/10.3390/jmse13010023
