Deep Learning-Based Nonparametric Identification and Path Planning for Autonomous Underwater Vehicles
Abstract
1. Introduction
- (1)
- Improved threshold function and suitable wavelet basis function are proposed for noise reduction of noise-containing data to make AUV motion model training data more reliable.
- (2)
- Deep-TCN (DTCN) model is proposed for motion nonparametric identification of AUV to capture the nonlinearity and coupling of motion.
- (3)
- Propose the dung beetle optimization (DBO) algorithm to find the optimal hyperparameters of the nonparameter model to ensure the authenticity and reliability of the nonparameter AUV model.
- (4)
- Propose the practical application of the AUV model by constructing a 3-D ocean model, using a algorithm for path planning, and applying the LOS guidance for path-following control.
2. Ship Model Test Data Noise Reduction
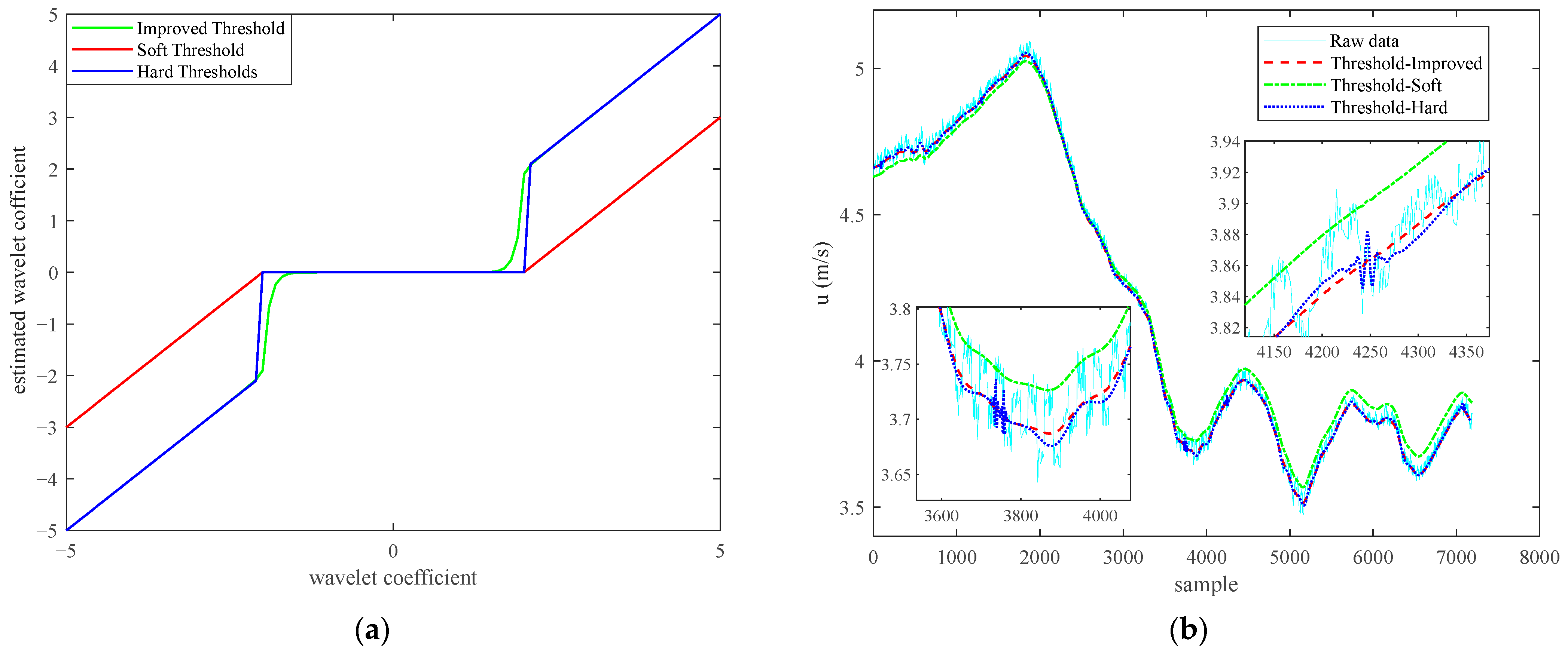
2.1. Wavelet Threshold Model
2.2. Noise Reduction Study Case
3. AUV Identification Model Construction
3.1. AUV Dynamical Mechanism
3.2. TCN Model
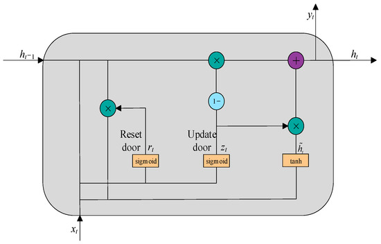
3.3. GRU Model
3.4. Self-Attention Model
3.5. DTCN Model
4. Optimization of DTCN Model Parameters
4.1. Dung Beetle Optimization Algorithm
4.1.1. Rolling Ball Dung Beetle Position Update Model
- (1)
- When there are no obstacles ahead, the model is Equation (16):where represents the current number of iterations, denotes the position of the dung beetle at the iteration, is a natural coefficient that usually takes the value of −1 or 1, and denotes whether or not there is a deviation from the original direction. denotes the coefficient of deflection, which is expressed as a constant, and are usually set to 0.1 and 0.3 [54], denotes the global worst position, and denotes the simulated change in light intensity.
- (2)
- When there is an obstacle ahead, the model is Equation (17):where denotes the deflection angle and the position of the dung beetle does not change when is 0, , . denotes the offset between the position of the dung beetle at the iteration and the position at the iteration.
4.1.2. Updated Modeling of Spawning Dung Beetle Locations
4.1.3. Updated Modeling of the Location of Small Dung Beetles
4.1.4. Stealing the Dung Beetle Location Update Model
4.2. Optimization of DTCN Parameters
5. Study Case and Analysis of AUV Model Identification
5.1. AUV Model Training Setting
5.2. AUV Model Validation Setting
5.3. Error Judgment Index
5.4. Discussion
6. AUV Path Planning and Tracking
6.1. AUV Path Planning
6.1.1. 3D-A* Algorithm
6.1.2. Three-Dimensional-Theta* Algorithm
6.1.3. Three-Dimensional-lazy-Theta* Algorithm
6.1.4. Path Planning
6.2. Path Following
6.2.1. LOS Algorithm
6.2.2. Path Following Control System
6.2.3. Three-Dimensional Path Following
6.2.4. Simulation of AUV Path Following
7. Conclusions
- (1)
- The improved threshold and basis function in wavelet analysis enhance the filtering effectiveness, making them the crucial parameters for AUV maneuver data filtering. The improved threshold function and dmey basis function are able to reduce the noise in the linear velocity data and improve the accuracy of the prediction model.
- (2)
- The DTCN model captures motion and demonstrates superior prediction performance in nonlinear and coupled scenarios compared to the CFD, HDM, and SVM methods. The BiTCN, BiGRU, and attention are important settings for the DTCN.
- (3)
- The path planning and path following results indicate that the DTCN model is feasible for AUV control to sail through the marine trench. The control errors vary with flow velocity. The DTCN model can be used to simulate the three-dimensional motion of AUV near the seabed.
Author Contributions
Funding
Institutional Review Board Statement
Informed Consent Statement
Data Availability Statement
Acknowledgments
Conflicts of Interest
References
- Bhatt, E.C.; Viquez, O.; Schmidt, H. Under-ice acoustic navigation using real-time model-aided range estimation. J. Acoust. Soc. Am. 2022, 151, 2656–2671. [Google Scholar] [CrossRef] [PubMed]
- Polymenis, I.; Haroutunian, M.; Norman, R.; Trodden, D. Article Virtual Underwater Datasets for Autonomous Inspections. arXiv 2022, arXiv:2209.06013. [Google Scholar]
- Mei, B.; Sun, L.C.; Shi, G.Y.; Liu, X.D. Ship maneuvering prediction using Grey Box framework via adpitive RM-SVM with minor rudder. Pol. Marit. Res. 2019, 26, 115–127. [Google Scholar] [CrossRef]
- Zhu, W.; Wang, S.; Liu, S.; Yang, L.; Zheng, X.; Li, B.; Zhang, L. Dynamic Multi-Period Maritime Accident Susceptibility Assessment Based on AIS Data and Random Forest Model. J. Mar. Sci. Eng. 2023, 11, 1935. [Google Scholar] [CrossRef]
- Bai, W.W.; Zhang, W.J.; Cao, L.; Liu, Q. Adaptive control for multi-agent systems with actuator fault via reinforcement learning and its application on multi-unmanned surface vehicle. Ocean Eng. 2023, 280, 114545. [Google Scholar] [CrossRef]
- Xu, H.; Pires da Silva, P.; Guedes Soares, C. Effect of Sampling Rate in Sea Trial Tests on the Estimation of Hydrodynamic Parameters for a Nonlinear Ship Manoeuvring Model. J. Mar. Sci. Eng. 2024, 12, 407. [Google Scholar] [CrossRef]
- Ramire, W.A.; Leong, Z.Q.; Nguyen, H.; Jayasinghe, S.G. Non-parametric dynamic system identification of ships using multi-output Gaussian Processes. Ocean Eng. 2018, 166, 26–36. [Google Scholar] [CrossRef]
- Xue, Y.F.; Liu, Y.J.; Ji, C.; Xue, G.; Huang, S.T. System identification of ship dynamic model based on Gaussian process regression with input noise. Ocean Eng. 2020, 216, 107862. [Google Scholar] [CrossRef]
- Meng, Y.; Zhang, X.K.; Zhang, X.F. Identification modeling of ship nonlinear motion based on nonlinear innovation. Ocean Eng. 2023, 268, 113471. [Google Scholar] [CrossRef]
- Wang, Y.Y.; Zhang, Y.; Xu, D.J.; Miao, W.Q. Improved whale optimization-based parameter identification algorithm for dynamic deformation of large ships. Ocean Eng. 2022, 245, 110392. [Google Scholar] [CrossRef]
- Wang, Z.H.; Soares, C.G.; Zou, Z.J. Optimal design of excitation signal for identification of nonlinear ship manoeuvring model. Ocean Eng. 2020, 196, 106778. [Google Scholar] [CrossRef]
- Zhang, Z.S.; Zhang, Y.; Wang, J.W.; Wang, H.B. Parameter identification and application of ship maneuvering model based on TO-CSA. Ocean Eng. 2022, 266, 113128. [Google Scholar] [CrossRef]
- Shen, W.H.; Yao, J.X.; Hu, X.J.; Liu, J.L.; Li, S.J. Ship dynamics model identification based on Semblance least square support vector machine. Ocean Eng. 2023, 287, 115908. [Google Scholar] [CrossRef]
- Zhang, X.; Zou, Z. Application of wavelet denoising in the modeling of ship manoeuvring motion. J. Ship Mech. 2011, 15, 616–622. [Google Scholar]
- Silver, D.; Huang, A.; Maddison, C.J.; Guez, A.; Sifre, L.; van den Driessche, G.; Schrittwieser, J.; Antonoglou, I.; Panneershelvam, V.; Lanctot, M.; et al. Mastering the game of Go with deep neural networks and tree search. Cah. Rev. The 2016, 529, 484–489. [Google Scholar] [CrossRef]
- Jiang, Y.; Hou, X.R.; Wang, X.G.; Wang, Z.H.; Yang, Z.L.; Zou, Z.J. Identification modeling and prediction of ship maneuvering motion based on LSTM deep neural network. J. Mar. Sci. Technol. 2022, 27, 125–137. [Google Scholar] [CrossRef]
- Wang, N.; Kong, X.J.; Ren, B.Y.; Hao, L.Z.; Han, B. SeaBil: Self-attention-weighted ultrashort-term deep learning prediction of ship maneuvering motion. Ocean Eng. 2023, 287, 115890. [Google Scholar] [CrossRef]
- Dong, Q.; Wang, N.; Song, J.L.; Hao, L.Z.; Liu, S.M.; Han, B.; Qu, K. Math-data integrated prediction model for ship maneuvering motion. Ocean Eng. 2023, 285, 115255. [Google Scholar] [CrossRef]
- Li, M.W.; Xu, D.Y.; Geng, J.; Hong, W.C. A hybrid approach for forecasting ship motion using CNN-GRU-AM and GCWOA. Appl. Soft Comput. 2022, 114, 108084. [Google Scholar] [CrossRef]
- Li, D.; Du, L. AUV Trajectory Tracking Models and Control Strategies: A Review. J. Mar. Sci. Eng. 2021, 9, 1020. [Google Scholar] [CrossRef]
- Chen, T.H.; Zhang, Z.; Fang, Z.; Jiang, D.; Li, G.L. Imitation learning from imperfect demonstrations for AUV path tracking and obstacle avoidance. Ocean Eng. 2024, 298, 117287. [Google Scholar] [CrossRef]
- Li, L.; Li, Y.P.; Wang, Y.L.; Xu, G.P.; Wang, H.L.; Gao, P.Y.; Feng, X.S. Multi-AUV coverage path planning algorithm using side-scan sonar for maritime search. Ocean Eng. 2024, 300, 117396. [Google Scholar] [CrossRef]
- Miao, J.M.; Wang, Y.Y.; Deng, K.K.; Sun, X.Y.; Liu, W.C.; Guo, Z.Q. PECLOS path-following control of underactuated AUV with multiple disturbances and input constraints. Ocean Eng. 2023, 284, 115236. [Google Scholar] [CrossRef]
- Zhi, L.; Zuo, Y. Collaborative Path Planning of Multiple AUVs Based on Adaptive Multi-Population PSO. J. Mar. Sci. Eng. 2024, 12, 223. [Google Scholar] [CrossRef]
- Yao, P.; Qiu, L.Y.; Qi, J.P.; Yang, R. AUV path planning for coverage search of static target in ocean environment. Ocean Eng. 2021, 241, 110050. [Google Scholar] [CrossRef]
- Zhang, W.; Wang, N.; Wu, W. A hybrid path planning algorithm considering AUV dynamic constraints based on improved A* algorithm and APF algorithm. Ocean Eng. 2023, 285, 115333. [Google Scholar] [CrossRef]
- Sui, F.L.; Tang, X.K.; Dong, Z.H.; Gan, X.J.; Luo, P.; Sun, J. ACO plus PSO plus A*: A bi-layer hybrid algorithm for multi-task path planning of an AUV. Comput. Ind. Eng. 2023, 175, 108905. [Google Scholar] [CrossRef]
- Meng, W.L.; Gong, Y.; Xu, F.; Tao, P.P.; Bo, P.B.; Xin, S.Q. Efficient path planning for AUVs in unmapped marine environments using a hybrid local-global strategy. Ocean Eng. 2023, 288, 116227. [Google Scholar] [CrossRef]
- Hua, C.; Wu, N.; Yuan, H.; Chen, X.; Dong, Y.; Zeng, X. Time-Optimal Path Planning of a Hybrid Autonomous Underwater Vehicle Based on Ocean Current Neural Point Grid. J. Mar. Sci. Eng. 2022, 10, 977. [Google Scholar] [CrossRef]
- Li, X.H.; Yu, S.H. Three-dimensional path planning for AUVs in ocean currents environment based on an improved compression factor particle swarm optimization algorithm. Ocean Eng. 2023, 280, 114610. [Google Scholar] [CrossRef]
- Chen, Y.; Zhang, R.M.; Wang, M.Y.; Gao, J.; Destech Publicat, I. Calculation of Hydrodynamic Parameters Using the Simulation of AUV’s 6DOF Motions. In Proceedings of the International Conference on Automation, Mechanical and Electrical Engineering (AMEE), Phuket, Thailand, 26–27 July 2015; pp. 318–324. [Google Scholar]
- Zhao, Z.Y.; Feng, X.L.; Jiang, C.; Zhang, Y.Z.; Su, W.B.; Hu, Q. Distributed short-term predictive control for AUV clusters in underwater cooperative hunting tasks. Ocean Eng. 2024, 301, 117343. [Google Scholar] [CrossRef]
- Carrica, P.; Kim, Y.; Martin, J. Vertical zigzag maneuver of a generic submarine. Ocean Eng. 2021, 219, 108386. [Google Scholar] [CrossRef]
- Martin, J.E.; Hammond, M.; Rober, N.; Kim, Y.; Cichella, V.; Carrica, P. Reduced order model of a generic submarine for maneuvering near the surface. arXiv 2022, arXiv:2212.09821. [Google Scholar]
- Prestero, T. Development of a six-degree of freedom simulation model for the REMUS autonomous underwater vehicle. In Proceedings of the MTS/IEEE Oceans 2001, An Ocean Odyssey. Conference Proceedings (IEEE Cat. No. 01CH37295), Honolulu, HI, USA, 5–8 November 2001; pp. 450–455. [Google Scholar]
- Ramirez, W.A.; Kocijan, J.; Leong, Z.Q.; Nguyen, H.D.; Jayasinghe, S.G. Dynamic System Identification of Underwater Vehicles Using Multi-Output Gaussian Processes. Int. J. Autom. Comput. 2021, 18, 681–693. [Google Scholar] [CrossRef]
- Chen, Y.; Wang, W.J.; Xu, G.H. System Identification of AUV Hydrodynamic Model Based on Support Vector Machine. In Proceedings of the 7th IEEE International Conference on Underwater System Technology-Theory and Applications (IEEE USYS), Univ Teknologi Malaysia, Kuala Lumpur, Malaysia, 18–20 December 2017. [Google Scholar]
- Sutulo, S.; Soares, C.G. An algorithm for offline identification of ship manoeuvring mathematical models from free-running tests. Ocean Eng. 2014, 79, 10–25. [Google Scholar] [CrossRef]
- Zhang, X.; Li, J.L.; Xing, J.C.; Wang, P.; Fu, D.H. A Kent Chaos Artificial Bee Colony Algorithm Based Wavelet Thresholding Method for Signal Denoising. In Proceedings of the 12th World Congress on Intelligent Control and Automation (WCICA), Guilin, China, 12–15 June 2016; pp. 3129–3134. [Google Scholar]
- Deng, G.H.; Liu, Z.L. A Wavelet Image Denoising Based On The New Threshold Function. In Proceedings of the 11th International Conference on Computational Intelligence and Security (CIS), Shenzhen, China, 19–20 December 2015; pp. 158–161. [Google Scholar]
- Liu, H.; You, Y.Q.; Li, S.J.; He, D.; Sun, J.; Wang, J.W.; Hou, D. Denoising of Laser Self-Mixing Interference by Improved Wavelet Threshold for High Performance of Displacement Reconstruction. Photonics 2023, 10, 943. [Google Scholar] [CrossRef]
- Miller, L.; Brizzolara, S.; Stilwell, D.J. Increase in Stability of an X-Configured AUV through Hydrodynamic Design Iterations with the Definition of a New Stability Index to Include Effect of Gravity. J. Mar. Sci. Eng. 2021, 9, 942. [Google Scholar] [CrossRef]
- Sagatun, S.I.; Fossen, T.I. Lagrangian formulation of underwater vehicles’ dynamics. In Proceedings of the Conference Proceedings, IEEE International Conference on Systems, Man, and Cybernetics, Charlottesville, VA, USA, 13–16 October 1991; pp. 1029–1034. [Google Scholar]
- Zeng, F.; Zhang, X.; Liu, J.; Li, H.; Zhu, Z.; Zhang, S. Magnetic Gradient Tensor Positioning Method Implemented on an Autonomous Underwater Vehicle Platform. J. Mar. Sci. Eng. 2023, 11, 1909. [Google Scholar] [CrossRef]
- Guo, T.; Xie, L. Research on Ship Trajectory Classification Based on a Deep Convolutional Neural Network. J. Mar. Sci. Eng. 2022, 10, 568. [Google Scholar] [CrossRef]
- Zhang, J.J.; Zhang, T.T.; Chen, J.L. Sentiment Analysis of Chinese Reviews Based on BiTCN-Attention Model. Int. J. Found. Comput. Sci. 2022, 33, 755–770. [Google Scholar] [CrossRef]
- Wang, D.; Wan, J.; Shen, Y.; Qin, P.; He, B. Hyperparameter Optimization for the LSTM Method of AUV Model Identification Based on Q-Learning. J. Mar. Sci. Eng. 2022, 10, 1002. [Google Scholar] [CrossRef]
- Chu, H.L.; Li, C.; Wang, H.B.; Wang, J.; Tai, Y.P.; Zhang, Y.L.; Zhou, L.; Yang, F.; Benezeth, Y. MTSA-Net: A multiscale time self-attention network for ship radiated self-noise reduction. Ocean Eng. 2024, 292, 116566. [Google Scholar] [CrossRef]
- Zhang, B.; Wang, S.; Deng, L.W.; Jia, M.Q.; Xu, J.Z. Ship motion attitude prediction model based on IWOA-TCN-Attention. Ocean Eng. 2023, 272, 113911. [Google Scholar] [CrossRef]
- Xu, H.; Guedes Soares, C. Data-Driven Parameter Estimation of Nonlinear Ship Manoeuvring Model in Shallow Water Using Truncated Least Squares Support Vector Machines. J. Mar. Sci. Eng. 2023, 11, 1865. [Google Scholar] [CrossRef]
- Xue, J.K.; Shen, B. Dung beetle optimizer: A new meta-heuristic algorithm for global optimization. J. Supercomput. 2023, 79, 7305–7336. [Google Scholar] [CrossRef]
- Wang, W.T.; Zhang, Q.J.; Guo, S.; Li, Z.X.; Li, Z.G.; Liu, C.J. Hazard evaluation of goaf based on DBO algorithm coupled with BP neural network. Heliyon 2024, 10, e34141. [Google Scholar] [CrossRef] [PubMed]
- Fu, J.; Wu, C.; Wang, J.; Haque, M.M.; Geng, L.; Meng, J. Lithium-ion battery SOH prediction based on VMD-PE and improved DBO optimized temporal convolutional network model. J. Energy Storage 2024, 87, 111392. [Google Scholar] [CrossRef]
- Zhu, F.; Li, G.S.; Tang, H.; Li, Y.B.; Lv, X.M.; Wang, X. Dung beetle optimization algorithm based on quantum computing and multi-strategy fusion for solving engineering problems. Expert. Syst. Appl. 2024, 236, 121219. [Google Scholar] [CrossRef]
- Bai, W.; Ren, J.; Che, Y.; Zhang, T. Locally optimal locally weighted learning black-box identification modeling for tug manoeuvring. In Proceedings of the 2017 4th International Conference on Information, Cybernetics and Computational Social Systems (ICCSS), Dalian, China, 24–26 July 2017; pp. 231–236. [Google Scholar]
- Zhang, Z.; Ren, J. Locally weighted non-parametric modeling of ship maneuvering motion based on sparse Gaussian process. J. Mar. Sci. Eng. 2021, 9, 606. [Google Scholar] [CrossRef]
- Overpelt, B.; Nienhuis, B.; Anderson, B. Free running manoeuvring model tests on a modern generic SSK class submarine (BB2). In Proceedings of the Pacific International Maritime Conference, Seattle, WA, USA, 14–17 June 2015; pp. 1–14. [Google Scholar]
- Shen, Q.; Zhang, D.; Xie, M.; He, Q. Multi-Strategy Enhanced Dung Beetle Optimizer and Its Application in Three-Dimensional UAV Path Planning. Symmetry 2023, 15, 1432. [Google Scholar] [CrossRef]
- Dong, Z.; Yang, X.; Zheng, M.; Song, L.; Mao, Y. Parameter identification of unmanned marine vehicle manoeuvring model based on extended Kalman filter and support vector machine. Int. J. Adv. Robot. Syst. 2019, 16, 1729881418825095. [Google Scholar] [CrossRef]
- Chen, L.J.; Yang, P.Y.; Li, S.W.; Tian, Y.F.; Liu, G.Q.; Hao, G.Z. Grey-box identification modeling of ship maneuvering motion based on LS-SVM. Ocean Eng. 2022, 266, 112957. [Google Scholar] [CrossRef]
- Ji, H.D.; Wang, H.; Chen, Q.; Ma, X.B.; Cai, Y.K. Corrosion behavior prediction for hull steels under dynamic marine environments by jointly utilizing LSTM network and PSO-RF model. Ocean Eng. 2024, 300, 117371. [Google Scholar] [CrossRef]
- Xu, D.X.; Yin, J.C. An enhanced hybrid scheme for ship roll prediction using support vector regression and TVF-EMD. Ocean Eng. 2024, 307, 117951. [Google Scholar] [CrossRef]
- Ramirez, W.A. Gaussian Processes Applied to System Identification, Navigation and Control of Underwater Vehicles. Ph.D. Thesis, University of Tasmania, Lilyfield, Australia, 2019. [Google Scholar]
- Shu, Y.Q.; Zhu, Y.J.; Xu, F.; Gan, L.X.; Lee, P.T.W.; Yin, J.C.; Chen, J.H. Path planning for ships assisted by the icebreaker in ice-covered waters in the Northern Sea Route based on optimal control. Ocean Eng. 2023, 267, 113182. [Google Scholar] [CrossRef]
- Shu, Y.; Xiong, C.; Zhu, Y.; Liu, K.; Liu, R.W.; Xu, F.; Gan, L.; Zhang, L. Reference path for ships in ports and waterways based on optimal control. Ocean. Coast. Manag. 2024, 253, 107168. [Google Scholar] [CrossRef]
- Yin, C.P.; Tan, C.Y.; Wang, C.Q.; Shen, F. An Improved A-Star Path Planning Algorithm Based on Mobile Robots in Medical Testing Laboratories. Sensor 2024, 24, 1784. [Google Scholar] [CrossRef]
- Liu, C.G.; Zhang, K.; He, Z.B.; Lai, L.H.; Chu, X.M. Clustering Theta* based segmented path planning method for vessels in inland. Ocean Eng. 2024, 309, 118249. [Google Scholar] [CrossRef]
- Yue, Y.L.; Li, Y.H.; Zuo, X. Optimization of subsea production control system layout considering hydraulic fluid pressure loss. Ocean Eng. 2023, 288, 116047. [Google Scholar] [CrossRef]
- Ding, X.; Liu, W.Q.; Wan, J.H.; He, B.; Nian, R.; Shen, Y.; Yan, T.H. ELM and LOS Based Path Tracking for Autonomous Underwater Vehicles. In Proceedings of the Conference on OCEANS MTS/IEEE Charleston, Charleston, SC, USA, 22–25 October 2018. [Google Scholar]
- Yuan, C.R.; Shuai, C.G.; Ma, J.G.; Fang, Y.; Jiang, S.J.; Gao, C.Z. Adaptive optimal 3D nonlinear compound line-of-sight trajectory tracking control for over-actuated AUVs in attitude space. Ocean Eng. 2023, 274, 114056. [Google Scholar] [CrossRef]
- Vadapalli, S.; Mahapatra, S. 3D Path Following Control of an Autonomous Underwater Robotic Vehicle Using Backstepping Approach Based Robust State Feedback Optimal Control Law. J. Mar. Sci. Eng. 2023, 11, 277. [Google Scholar] [CrossRef]



























| Basis Functions | Decomposition Numbers | SNR | MSE | NCC |
|---|---|---|---|---|
| haar | 6 | 46.72 | 0.000382 | 0.997996 |
| db3 | 8 | 45.87 | 0.000464 | 0.998697 |
| bior2.4 | 6 | 48.09 | 0.000269 | 0.998808 |
| coif3 | 8 | 46.89 | 0.000367 | 0.999889 |
| sym2 | 6 | 47.63 | 0.000279 | 0.999636 |
| dmey | 10 | 48.24 | 0.000274 | 0.999991 |
| rbio2.4 | 6 | 48.16 | 0.000309 | 0.999661 |
| Parameters | Meaning | Parameter Value |
|---|---|---|
| AUV Dimension | AUV input vector dimension | 9 |
| Kernel size | 1D convolution kernel size | 5 |
| Filters | Number of convolution kernels | 64 |
| Convolution layer | Number of 1D convolution layers in each residual block | 2 |
| Blocks | Number of residual blocks (n) | 2 |
| Dilation factor | Number of expansion factors | 2n−1 (n ∈ [1, 2]) |
| Epoch | Number of iterations | 500 |
| Dropout rate | abandonment | 0.1 |
| Optimizer | - | Adam |
| Learning rate | Neuronal learning rate | Parameter 1 |
| Regularization | Regularization factor | Parameter 2 |
| Neurons | Number of GRU | Parameter 3 |
| Keys | Number of self-attention keys | Parameter 4 |
| AUV Scales | Symbolic | Full-Scale | Scaled Model |
|---|---|---|---|
| Lengths (m) | 70.2 | 3.8260 | |
| Breadth (m) | 9.6 | 0.5232 | |
| Propeller Diameter (m) | 5 | 0.273 | |
| Displacement (m3) | 4440 | 0.7012 | |
| Center of gravity position from the bow (m) | 32.31 | 1.761 | |
| Height of center of gravity from tail shaft (m) | 0.0433 | 0.0024 | |
| Floating center height (m) | 0.4443 | 0.02421 |
| Type of Test | Rudder Angle/(°) | Heading/(°) | Test Duration (s) | Sampling Frequency (Hz) | |
|---|---|---|---|---|---|
| 1 | HZZ | −10 | −10 | 178 | 25 |
| 2 | HZZ | 20 | 20 | 229 | 25 |
| 3 | VZZ | 10 | 5 | 161 | 25 |
| 4 | VZZ | 20 | 10 | 197 | 25 |
| 5 | Turning test | −5 | - | 68 | 25 |
| 6 | Turning test | 5 | - | 104 | 25 |
| 7 | Turning test | −10 | - | 62 | 25 |
| 8 | Turning test | 10 | - | 72 | 25 |
| 9 | Turning test | −15 | - | 120 | 25 |
| 10 | Turning test | 15 | - | 241 | 25 |
| 11 | Turning test | −20 | - | 148 | 25 |
| DOF | u | v | r | p | q | w |
|---|---|---|---|---|---|---|
| Learning rate | ||||||
| Regularization | ||||||
| Neurons | 13 | 35 | 17 | 35 | 40 | 10 |
| Keys | 3 | 10 | 24 | 14 | 3 | 2 |
| Prediction Set | RMSE | R2 | SMAPE (%) | ||||||||||||||||
|---|---|---|---|---|---|---|---|---|---|---|---|---|---|---|---|---|---|---|---|
| u | v | r | p | q | w | u | v | r | p | q | w | u | v | r | p | q | w | ||
| 1 | DBO-DTCN | 0.0 02 | 0.0 10 | 0.0 05 | 0.0 14 | 0.0 03 | 0.0 03 | 0.9 99 | 0.9 98 | 1.0 00 | 0.9 99 | 0.9 99 | 0.9 99 | 0.2 09 | 2.4 22 | 5.9 23 | 5.5 71 | 6.7 23 | 7.6 19 |
| 2 | DTCN | 0.0 05 | 0.0 18 | 0.0 07 | 0.0 53 | 0.0 09 | 0.0 09 | 0.9 94 | 0.9 84 | 0.9 96 | 0.9 97 | 0.9 96 | 0.9 85 | 0.8 44 | 4.9 66 | 8.8 81 | 12.08 | 12.02 | 12.03 |
| 3 | RF | 0.0 48 | 0.0 51 | 0.0 24 | 0.1 34 | 0.0 43 | 0.0 53 | 0.9 59 | 0.9 51 | 0.9 55 | 0.7 94 | 0.9 87 | 0.9 37 | 1.9 78 | 24.44 | 32.84 | 38.99 | 25.61 | 26.08 |
| 4 | SVM | 0.0 10 | 0.0 18 | 0.0 14 | 0.0 85 | 0.0 19 | 0.0 15 | 0.9 83 | 0.9 74 | 0.9 92 | 0.9 91 | 0.9 91 | 0.9 77 | 1.3 43 | 13.33 | 23.63 | 25.43 | 27.82 | 19.25 |
| Improvement rate of 1 over 2 | 58.94% | 0.73% | 49.22% | ||||||||||||||||
| Improvement rate of 1 over 3 | 89.45% | 7.95% | 82.02% | ||||||||||||||||
| Improvement rate of 1 over 4 | 72.03% | 1.48% | 76.03% | ||||||||||||||||
| Improvement rate of 2 over 3 | 74.87% | 7.18% | 64.32% | ||||||||||||||||
| Improvement rate of 2 over 4 | 35.35% | 0.74% | 51.53% | ||||||||||||||||
| Validation Method | First OSA | Second OSA | ||
|---|---|---|---|---|
| Angle (°) | Angle Error (%) | Angle (°) | Angle Error (%) | |
| DBO-DTCN | 2.02 | 1.00 | 3.61 | −2.95 |
| DTCN | 2.27 | 13.5 | 2.39 | 35.75 |
| SVM [59] | 1.96 | −2.00 | 4.34 | 16.67 |
| RF | 1.16 | −42.00 | 3.02 | 18.82 |
| HDM [34] | 1.98 | −1.00 | 2.92 | 21.50 |
| CFD [33] | 2.03 | 1.5 | 1.24 | 66.67 |
| Targets | |||
|---|---|---|---|
| Total distance/(10 m) | 97.9 | 84.62 | 84.65 |
| Number of waypoints | 78 | 9 | 9 |
| minimum depth/(5 m) | −15 | −15 | −15 |
| Maximum depth/(5 m) | −1 | −3 | −3 |
| Average depth/(5 m) | −6.2 | −8.9 | −9.8 |
| Planning time cost(s) | 2.38 | 2.68 | 2.45 |
| Waypoints | x | y | z |
|---|---|---|---|
| 1 | 120 | 165 | −15 |
| 2 | 140 | 209 | −20 |
| 3 | 380 | 484 | −20 |
| 4 | 400 | 605 | −40 |
| 5 | 400 | 814 | −65 |
| 6 | 400 | 836 | −65 |
| 7 | 410 | 902 | −70 |
| 8 | 420 | 913 | −75 |
| 9 | 420 | 935 | −75 |
Disclaimer/Publisher’s Note: The statements, opinions and data contained in all publications are solely those of the individual author(s) and contributor(s) and not of MDPI and/or the editor(s). MDPI and/or the editor(s) disclaim responsibility for any injury to people or property resulting from any ideas, methods, instructions or products referred to in the content. |
© 2024 by the authors. Licensee MDPI, Basel, Switzerland. This article is an open access article distributed under the terms and conditions of the Creative Commons Attribution (CC BY) license (https://creativecommons.org/licenses/by/4.0/).
Share and Cite
Mei, B.; Li, C.; Liu, D.; Zhang, J. Deep Learning-Based Nonparametric Identification and Path Planning for Autonomous Underwater Vehicles. J. Mar. Sci. Eng. 2024, 12, 1683. https://doi.org/10.3390/jmse12091683
Mei B, Li C, Liu D, Zhang J. Deep Learning-Based Nonparametric Identification and Path Planning for Autonomous Underwater Vehicles. Journal of Marine Science and Engineering. 2024; 12(9):1683. https://doi.org/10.3390/jmse12091683
Chicago/Turabian StyleMei, Bin, Chenyu Li, Dongdong Liu, and Jie Zhang. 2024. "Deep Learning-Based Nonparametric Identification and Path Planning for Autonomous Underwater Vehicles" Journal of Marine Science and Engineering 12, no. 9: 1683. https://doi.org/10.3390/jmse12091683
APA StyleMei, B., Li, C., Liu, D., & Zhang, J. (2024). Deep Learning-Based Nonparametric Identification and Path Planning for Autonomous Underwater Vehicles. Journal of Marine Science and Engineering, 12(9), 1683. https://doi.org/10.3390/jmse12091683

