Analysis of Wave Load Characteristics of Hovercraft Based on Model Test
Abstract
1. Introduction
2. Hovercraft Test and Kinematic Model
- (1)
- Heave: The hovercraft experiences vertical motion due to fluctuating cushion pressure, which forces it to rise and fall vertically.
- (2)
- Pitch: The hovercraft undergoes pitching motion in waves, which is caused by changes in the front and rear air chambers and the impact force when the skirt contacts the water.
2.1. Seakeeping Model Test
2.1.1. Scale Model
2.1.2. Test Cases
2.1.3. Possible Error Sources and Experimental Uncertainty
- (1)
- Environmental conditions
- (2)
- Data acquisition and processing
- (3)
- Reproducibility of experimental results
2.2. Theoretical Model of Kinematics
2.2.1. Static Equilibrium Equation
2.2.2. Dynamic Equilibrium Equation
2.2.3. Air Chamber Volume and Leakage Formula
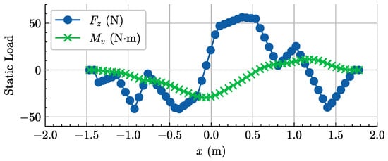
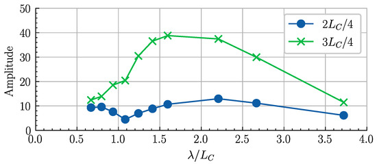
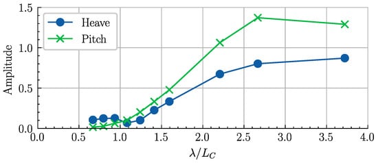
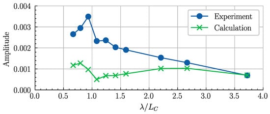
3. Test Results and Analysis
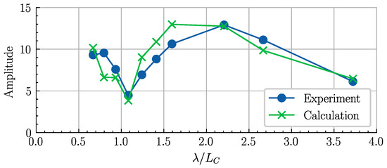
3.1. Amplitude-Frequency Response Analysis
3.1.1. Model Test Results for the Amplitude-Frequency Response
3.1.2. Numerical Calculation and Results for the Amplitude-Frequency Response
3.2. Analysis of the Relationship between the Air Chamber Pressure and Volume
3.2.1. Model Test results for the Air Chamber Pressure and Volume
3.2.2. Numerical Calculation and Results for the Air Chamber Pressure and Volume
| Frequency (Hz) | Front-Left Air Chamber | ||
| PC-VC Fitting Function | Domain | R2 | |
| 0.385 | [0.255, 0.348] | 0.9460 | |
| 0.455 | [0.250, 0.359] | 0.9708 | |
| 0.500 | [0.240, 0.373] | 0.9587 | |
| 0.588 | [0.272, 0.336] | 0.9809 | |
| 0.625 | [0.283, 0.329] | 0.9729 | |
| 0.667 | [0.287, 0.320] | 0.9238 | |
| 0.714 | [0.293, 0.314] | 0.7632 | |
| 0.769 | [0.295, 0.311] | 0.4233 | |
| 0.833 | [0.293, 0.311] | 0.2091 | |
| 0.909 | [0.293, 0.316] | 0.1846 | |
| 1.00 | [0.292, 0.320] | 0.1114 | |
| Frequency (Hz) | Rear-Left Air Chamber | ||
| PC-VC Fitting Function | Domain | R2 | |
| 0.385 | [0.228, 0.315] | 0.8899 | |
| 0.455 | [0.237, 0.307] | 0.8040 | |
| 0.500 | [0.239, 0.299] | 0.7922 | |
| 0.588 | [0.257, 0.283] | 0.8205 | |
| 0.625 | [0.260, 0.284] | 0.7279 | |
| 0.667 | [0.264, 0.280] | 0.7012 | |
| 0.714 | [0.265, 0.280] | 0.6135 | |
| 0.769 | [0.266, 0.282] | 0.6816 | |
| 0.833 | [0.264, 0.279] | 0.5730 | |
| 0.909 | [0.265, 0.287] | 0.2568 | |
| 1.00 | [0.265, 0.283] | 0.1990 | |
| Frequency (Hz) | Front-Left Air Chamber | Rear-Left Air Chamber | ||||
| PaVC-VC Fitting Function | Domain | R2 | PaVC-VC Fitting Function | Domain | R2 | |
| 0.385 | [0.255, 0.348] | 1 | [0.228, 0.315] | 1 | ||
| 0.455 | [0.250, 0.359] | 1 | [0.237, 0.307] | 1 | ||
| 0.500 | [0.240, 0.373] | 1 | [0.239, 0.299] | 1 | ||
| 0.588 | [0.272, 0.336] | 1 | [0.257, 0.283] | 1 | ||
| 0.625 | [0.283, 0.329] | 1 | [0.260, 0.284] | 1 | ||
| 0.667 | [0.287, 0.320] | 1 | [0.264, 0.280] | 0.9999 | ||
| 0.714 | [0.293, 0.314] | 1 | [0.265, 0.280] | 0.9999 | ||
| 0.769 | [0.295, 0.311] | 1 | [0.266, 0.282] | 0.9998 | ||
| 0.833 | [0.293, 0.311] | 0.9996 | [0.264, 0.279] | 0.9996 | ||
| 0.909 | [0.293, 0.316] | 0.9998 | [0.265, 0.287] | 0.9996 | ||
| 1.00 | [0.292, 0.320] | 0.9996 | [0.265, 0.283] | 0.9996 | ||
4. Conclusions
Author Contributions
Funding
Data Availability Statement
Acknowledgments
Conflicts of Interest
Nomenclature
| Symbol | Description |
| PC | Air chamber pressure |
| AC | Air chamber area |
| hc | Height of air chamber center from still water surface |
| he | Height of skirt hem from still water surface |
| xc, yc | Horizontal and vertical coordinates of center of air chamber |
| xg | Longitudinal position of gravity center of test model (aft of mid-ship) |
| z, ϕ, θ | Heave, pitch, and roll motion displacements of hull |
| VC | Air chamber volume |
| LC | Cushion length overall (sum of lengths of front and rear air chambers) |
| l1, l2 | Lengths of front and rear air chambers |
| BC | Width of test model (equal to cushion beam) |
| Q | Flow rate |
| Ce | Flow coefficient |
| ve | Leakage velocity |
| ρa, ρw | Air and water density |
| g | Acceleration due to gravity |
| M | Mass of test model |
| Iy, Ix | Pitch and roll moments of inertia |
| Fz, Mv | Vertical shear force and vertical bending moment at hull cross section |
| ζw, λ | Wave amplitude, wavelength |
Appendix A


References
- Kristoffersen, Y.; Hall, J. Hovercraft as a Mobile Science Platform Over Sea Ice in the Arctic Ocean. Oceanography 2014, 27, 170–179. [Google Scholar] [CrossRef]
- Nguyen, Q.K.; Jung, K.H.; Lee, G.N.; Park, S.B.; Kim, J.M.; Suh, S.B.; Lee, J. Experimental Study on Pressure Characteristics and Flow Coefficient of Butterfly Valve. Int. J. Nav. Archit. Ocean. Eng. 2023, 15, 100495. [Google Scholar] [CrossRef]
- Reynolds, A. A Linear Theory for the Heaving Response of a Hovercraft Moving over Regular Waves. J. Mech. Eng. Sci. 1972, 14, 147–150. [Google Scholar] [CrossRef]
- Reynolds, A. A Nonlinear Theory for a Hovercraft Moving over Regular Waves. J. Mech. Eng. Sci. 1974, 16, 310–316. [Google Scholar] [CrossRef]
- Doctors, L. Nonlinear Motion of an Air-Cushion Vehicle over Waves. J. Hydronautics 1975, 9, 49–57. [Google Scholar] [CrossRef]
- Milewski, B.; Connell, B.; Wilson, J.; Kring, D. Dynamics of Air Cushion Vehicles Operating in a Seaway. In Proceedings of the 9th International Conference on Numerical Ship Hydrodynamics, Ann Arbor, MI, USA, 5–8 August 2007; pp. 1–15. [Google Scholar]
- Milewski, W.; Connell, B.; Petersen, B.; Kring, D. Initial Validation of the ACVSIM Model for Dynamics of Air Cushion Vehicles. In Proceedings of the 27th Symposium on Naval Hydrodynamics, Seoul, Republic of Korea, 5–10 October 2008; pp. 5–10. [Google Scholar]
- Xu, S.; Tang, Y.; Chen, K.; Zhang, Z.; Ma, T.; Tang, W. Numerical Investigation on Pressure Responsiveness Properties of the Skirt-Cushion System of an Air Cushion Vehicle. Int. J. Nav. Archit. Ocean. Eng. 2020, 12, 928–942. [Google Scholar] [CrossRef]
- Jiang, Y.; Tang, W. Numerical Investigation on Water Entry of a Three-Dimensional Flexible Bag of an Air Cushion Vehicle. Ocean Eng. 2022, 247, 110653. [Google Scholar] [CrossRef]
- Jiang, Y.; Tang, W. Numerical Prediction of Interaction between a Flexible Bag of an Air Cushion Vehicle and Solitary Waves. Ocean Eng. 2022, 265, 112583. [Google Scholar] [CrossRef]
- Gu, M.; Zhu, R.; Yang, X.; Wang, H.; Shi, K. Numerical Investigation on Evaluating Nonlinear Waves Due to an Air Cushion Vehicle in Steady Motion by a Higher Order Desingularized Boundary Integral Equation Method. Ocean Eng. 2022, 246, 110598. [Google Scholar] [CrossRef]
- Petoft, H.; Fakhari, V.; Rahi, A. Investigating the Effect of Geometric Shape on Air Cushion Lift Force. J. Mar. Sci. Appl. 2024, 23, 74–84. [Google Scholar] [CrossRef]
- Pinkster, J.A.; Scholte, E.J.A.M. The Behaviour of a Large Air-Supported MOB at Sea. Mar. Struct. 2001, 14, 163–179. [Google Scholar] [CrossRef]
- Ricci, J.; Becnel, A.; Butler, M.; Hoyt, J.; Snyder, L. Towing Tank Report on a Comparative Study of Four LCAC Skirt Systems; Technical Report, NSWC PCD/TN-E32-08/014; Naval Systems Warfare Center: Panama City, FL, USA, 2008; p. 192. [Google Scholar]
- Zhang, P.; Chen, H.; Bao, W.; Zhao, L.; Zhuge, L. Research on Wave Load Forecasting Methods for Air-cushion Craft. Shipbuild. Eng. 2016, 38, 4. (In Chinese) [Google Scholar]
- Liu, N.; Zhuo, F.; Zhou, X.; Qiu, J.; Li, C.; Ren, H. Experimental Investigation of the Motion of a Fully Skirted Air Cushion Vehicle in Regular Waves. In Proceedings of the 29th International Ocean and Polar Engineering Conference, Honolulu, HI, USA, 16–21 June 2019. [Google Scholar]
- Xu, S.; Xiong, Y.; Chen, K.; Tang, Y.; Ma, T.; Tang, W. Numerical Calculation and Experimental Study on Skirt Formation of Air-cushion Craft. China Shipbuild. 2022, 63, 51–64. (In Chinese) [Google Scholar]
- Ruiz, M.T.; Mansuy, M.; Donatini, L.; Villagomez, J.; Delefortrie, G.; Lataire, E.; Vantorre, M. Wave Effects on the Turning Ability Of An Ultra Large Container Ship In Shallow Water. In Proceedings of the International Conference on Offshore Mechanics and Arctic Engineering, Glasgow, UK, 9–14 June 2019; American Society of Mechanical Engineers: New York, NY, USA, 2019. [Google Scholar]
- Yun, L.; Bliault, A. Theory and Design of Air Cushion Craft. Elsevier: Amsterdam, The Netherlands, 2000. [Google Scholar]






















| Parameter | Value |
|---|---|
| Cushion length LC (front chamber length and rear chamber length: l1 + l2) | 2.83 m (1.44 m + 1.39 m) |
| Width of hovercraft BC (same as cushion beam) | 1.22 m |
| Flexible skirt height | 0.14 m |
| Mass M | 92.9 kg |
| Pitch moment of inertia Iy | 56.9 kg × m2 |
| Longitudinal position of center of gravity (after mid-ship) | 0.114 m |
| Quantity | Value |
|---|---|
| Towing speed (m/s) | 4.8 |
| Wave amplitude ζw (mm) | 81 |
| Wave frequency (Hz) | 0.385~1.00 |
| Wave direction (deg) | 0 (head wave) |
| Quantity | Dimensionless Expression |
|---|---|
| Cushion pressure | |
| Cushion leakage flow rate | |
| Acceleration | |
| Heave | |
| Pitch | |
| Cross-sectional bending moment |
| Wave Frequency (Hz) | 0.385 | 0.455 | 0.500 | 0.588 | 0.625 | 0.667 | 0.714 | 0.769 | 0.833 | 0.909 | 1.00 |
| λ/LC | 3.72 | 2.67 | 2.21 | 1.60 | 1.41 | 1.24 | 1.08 | 0.93 | 0.80 | 0.67 | 0.55 |
Disclaimer/Publisher’s Note: The statements, opinions and data contained in all publications are solely those of the individual author(s) and contributor(s) and not of MDPI and/or the editor(s). MDPI and/or the editor(s) disclaim responsibility for any injury to people or property resulting from any ideas, methods, instructions or products referred to in the content. |
© 2024 by the authors. Licensee MDPI, Basel, Switzerland. This article is an open access article distributed under the terms and conditions of the Creative Commons Attribution (CC BY) license (https://creativecommons.org/licenses/by/4.0/).
Share and Cite
Zuo, Z.; Chen, G.; Zhou, X.; Ren, H.; Liu, N. Analysis of Wave Load Characteristics of Hovercraft Based on Model Test. J. Mar. Sci. Eng. 2024, 12, 1537. https://doi.org/10.3390/jmse12091537
Zuo Z, Chen G, Zhou X, Ren H, Liu N. Analysis of Wave Load Characteristics of Hovercraft Based on Model Test. Journal of Marine Science and Engineering. 2024; 12(9):1537. https://doi.org/10.3390/jmse12091537
Chicago/Turabian StyleZuo, Zhihua, Geng Chen, Xueqian Zhou, Huilong Ren, and Ning Liu. 2024. "Analysis of Wave Load Characteristics of Hovercraft Based on Model Test" Journal of Marine Science and Engineering 12, no. 9: 1537. https://doi.org/10.3390/jmse12091537
APA StyleZuo, Z., Chen, G., Zhou, X., Ren, H., & Liu, N. (2024). Analysis of Wave Load Characteristics of Hovercraft Based on Model Test. Journal of Marine Science and Engineering, 12(9), 1537. https://doi.org/10.3390/jmse12091537

