Force Element Analysis in Vortex-Induced Vibrations of Side-by-Side Dual Cylinders: A Numerical Study
Abstract
1. Introduction
2. Control Equations and Numerical Methods
2.1. Flow Field Setting
2.2. Control Equations
2.3. Vibration Response System Model
2.4. Numerical Verification
2.4.1. Flow Meshing
2.4.2. Independence Verification
2.4.3. Model and Method Validation
3. Results and Discussion
3.1. Frequency and Amplitude Response
3.1.1. Frequency Response
3.1.2. Amplitude Response
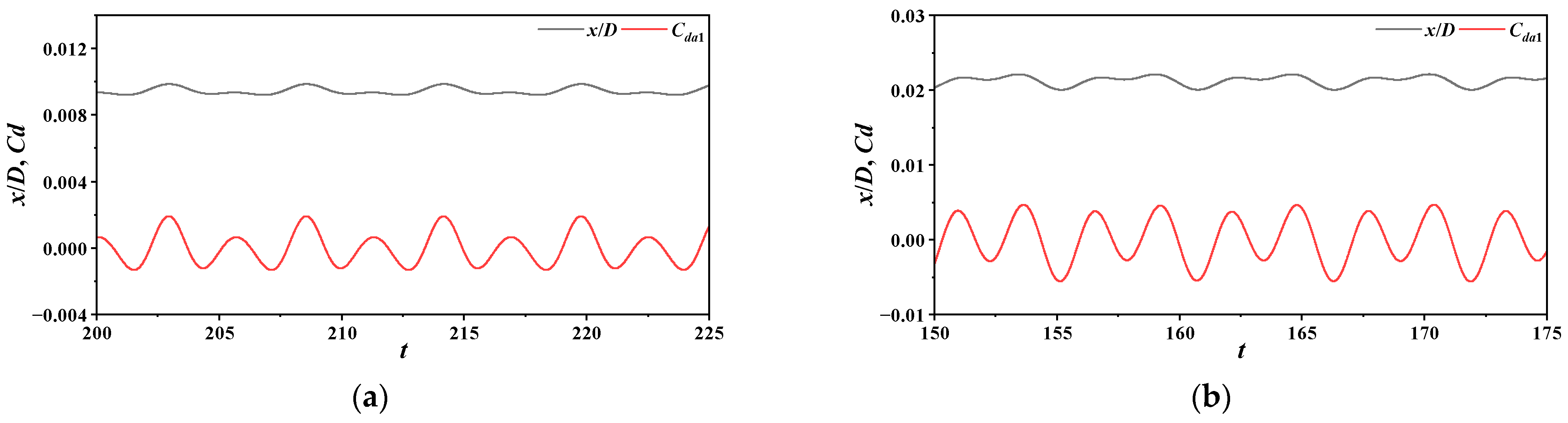
3.2. Lift and Drag Coefficients
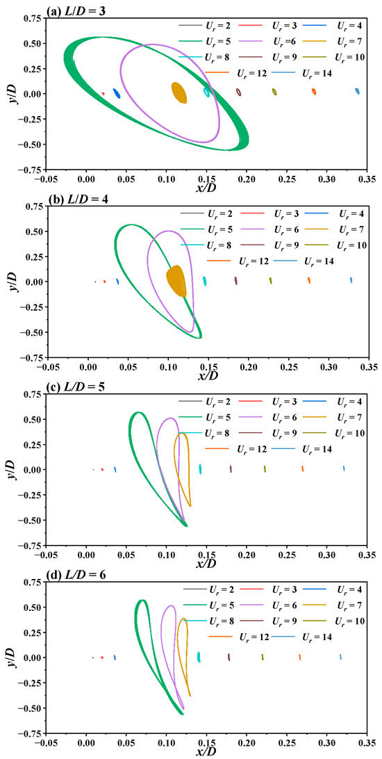
3.3. Motion Trajectory
3.3.1. Trajectory Modes
3.3.2. Trajectory Patterns Analyses
3.4. Wake-Stream Pattern
4. Conclusions
- (1)
- The VIV phenomenon for side-by-side dual cylinders exhibits three vibration regions with different spacing ratios, similar to those observed for a single cylinder, namely the initial branch (IB), the lower branch (LB), and the desynchronization branch (DB). When the spacing ratio L/D is greater than or equal to five, the range of reduced velocities Ur corresponding to the lower branch is wider and more closely resembles that of a single cylinder. For side-by-side cylinders at different spacing ratios, the maximum displacements in the streamwise and cross-flow directions occur at a reduced velocity Ur = 5. Cross-flow displacements are comparable to those of a single cylinder. In the streamwise direction, the amplitude decreases gradually with increasing spacing ratio, approaching the behavior of a single cylinder. Notably, there is no sudden increase in streamwise amplitude at a Ur = 8, unlike the case for a single cylinder.
- (2)
- During the VIV phenomenon, the lift and drag forces acting on side-by-side cylinders are primarily due to the volume vorticity forces associated with the cylinders themselves, combined with surface vortices (including friction) forces. When entering the “lock-in” zone, as cylinder vibrations intensify increase, the acceleration forces on the cylinder surface also increase. The volume vorticity lift force phase opposes the total lift force, thus inhibiting (negatively contributing) to the lift force. As the reduced velocity increases and the cylinder amplitude reaches its maximum, the surface acceleration forces begin to suppress changes in lift force, decreasing with further increases in reduced velocity. At lower reduced velocities, side-by-side cylinders are mainly influenced by the surface vorticity forces from the surface of the other cylinder. As reduced velocity increases, the influence of inter-cylinder surface acceleration forces grows, leading to increased amplitudes. The effect of surface vorticity forces in lift direction stabilizes over time. As the spacing ratio between cylinders increases, the influence between cylinders diminishes, and the force variation trends approach those of a single cylinder.
- (3)
- Once in the “lock-in” zone and experiencing significant vibrations, the wake vortices of side-by-side cylinders transition from a 2S mode to a C(2S) mode. The smaller the spacing ratio, the more pronounced this transformation becomes. At the onset and end of the wake mode transition, the displacement trajectories of the cylinders exhibit irregular “bounded” motions. During this period, the lift and drag coefficients display a “multi-frequency” behavior. Simultaneously, the vibration trajectories of side-by-side cylinders form “bounded elliptical”, and “bounded teardrop” shapes.
Author Contributions
Funding
Institutional Review Board Statement
Informed Consent Statement
Data Availability Statement
Conflicts of Interest
Nomenclature
| Re | Reynolds number |
| U∞ | Uniform incoming fluid velocity |
| D | Diameter of the cylinder |
| ρ | Density of the fluid |
| P | Non-dimensional pressure |
| P* | Pressure |
| Ur | Reduced velocity |
| St | Strouhal number |
| fs | Frequency of the vortex shedding |
| fn | Natural frequency |
| f * | Frequency ratio |
| k | Spring constant |
| c | Damping coefficient |
| ζ | Damping ratio |
| m* | Mass ratio |
| FD | Drag force |
| FL | Lift force |
| Cd | Drag force coefficient |
| Cl | Lift force coefficient |
| Time-averaged drag force coefficient | |
| Time-averaged lift force coefficient | |
| Cda | Surface acceleration drag force coefficient |
| Cdv | Volume vorticity drag force coefficient |
| Cds | Surface vorticity drag force coefficient |
| Cla | Surface acceleration lift force coefficient |
| Clv | Volume vorticity lift force coefficient |
| Cls | Surface vorticity lift force coefficient |
| In-line amplitude | |
| Cross-flow amplitude | |
| h* | Nondimensional mesh spacing |
| hfirst | Near-wall first grid height |
| L | Center-to-center spacing of cylinders |
| L/D | Spacing ratio |
| Ctotal | Total hydrodynamic force coefficient |
| Ftotal | Total hydrodynamic force |
References
- Williamson, C.H.K.; Govardhan, R. Vortex-induced vibrations. Annu. Rev. Fluid Mech. 2004, 36, 413–455. [Google Scholar] [CrossRef]
- Zhao, M. Flow induced vibration of two rigidly coupled circular cylinders in tandem and side-by-side arrangements at a low Reynolds number of 150. Phys. Fluids 2013, 25, 123601. [Google Scholar] [CrossRef]
- Zdravkovich, M.M. Review of flow interference between two circular cylinders in various arrangements. ASME J. Fluids Eng. 1977, 99, 618–633. [Google Scholar] [CrossRef]
- Zdravkovich, M.M. Flow induced oscillations of two interfering circular cylinders. J. Sound Vib. 1985, 101, 511–521. [Google Scholar] [CrossRef]
- Zdravkovich, M.M. The effects of interference between circular cylinders in cross flow. J. Fluids Struct. 1987, 1, 239–261. [Google Scholar] [CrossRef]
- Williamson, C.H.K. Vortex dynamics in the cylinder wake. Annu. Rev. Fluid Mech. 1996, 28, 477–539. [Google Scholar] [CrossRef]
- Alam, M.M.; Zhou, Y. Flow around two side-by-side closely spaced circular cylinders. J. Fluids Struct. 2007, 23, 799–805. [Google Scholar] [CrossRef]
- Zhao, M.; Cheng, L. Two-dimensional numerical study of vortex shedding regimes of oscillatory flow past two circular cylinders in side-by-side and tandem arrangements at low Reynolds numbers. J. Fluid Mech. 2014, 751, 1–37. [Google Scholar] [CrossRef]
- Bai, X.D.; Zhang, W.; Guo, A.X.; Wang, Y. The flip-flopping wake pattern behind two side-by-side circular cylinders: A global stability analysis. Phys. Fluids 2016, 28, 044102. [Google Scholar] [CrossRef]
- Feng, C.C. The Measurement of Vortex Induced Effects in Flow Past Stationary and Oscillating Circular and D-section Cylinders. Ph.D. Thesis, University of British Columbia, Vancouver, BC, Canada, 1968. [Google Scholar]
- Bearman, P.W. Vortex shedding from oscillating bluff bodies. Annu. Rev. Fluid Mech. 2012, 16, 195–222. [Google Scholar] [CrossRef]
- Williamson, C.H.K.; Govardhan, R. A brief review of recent results in vortex-induced vibrations. J. Wind Eng. Ind. Aerod. 2008, 96, 713–735. [Google Scholar] [CrossRef]
- Sarpkaya, T. A critical review of the intrinsic nature of vortex-induced vibrations. J. Fluid Struct. 2004, 19, 389–447. [Google Scholar] [CrossRef]
- Gabbai, R.D.; Benaroya, H. An overview of modeling and experiments of vortex induced vibration of circular cylinders. J. Sound Vib. 2005, 282, 575–616. [Google Scholar] [CrossRef]
- Zhao, M.; Cheng, L. Numerical simulation of two-degree-of-freedom vortex-induced vibration of a circular cylinder close to a plane boundary. J. Fluid Struct. 2011, 27, 1097–1110. [Google Scholar] [CrossRef]
- Wu, X.; Ge, F.; Hong, Y. A review of recent studies on vortex-induced vibrations of long slender cylinders. J. Fluid Struct. 2012, 28, 292–308. [Google Scholar] [CrossRef]
- Williamson, C.H.K. Evolution of a single wake behind a pair of bluff bodies. J. Fluid Mech. 1985, 159, 1–18. [Google Scholar] [CrossRef]
- Kim, H.J.; Durbin, P.A. Investigation of the flow between a pair of cylinders in the flopping regime. J. Fluid Mech. 1988, 196, 431–448. [Google Scholar] [CrossRef]
- Alam, M.M.; Moriya, M.; Sakamoto, H. Aerodynamic characteristics of two side-by-side circular cylinders and application of wavelet analysis on the switching phenomenon. J. Fluids Struct. 2003, 18, 325–346. [Google Scholar] [CrossRef]
- Cui, Z.; Zhao, M.; Teng, B. Vortex-induced vibration of two elastically coupled cylinders in side-by-side arrangement. J. Fluids Struct. 2014, 44, 270–291. [Google Scholar] [CrossRef]
- Chen, W.; Ji, C.; Wang, R.; Xu, D.; Campbell, J. Flow-induced vibrations of two side-by-side circular cylinders: Asymmetric vibration, symmetry hysteresis and near-wake patterns. Ocean Eng. 2015, 110, 244–257. [Google Scholar] [CrossRef]
- Rahmanian, M.; Cheng, L.; Zhao, M.; Zhou, T. Lock-in study of two side-by-side cylinders of different diameters in close proximity in steady flow. J. Fluids Struct. 2014, 49, 386–411. [Google Scholar] [CrossRef]
- Xu, W.; Wu, H.; Sha, M.; Wang, E. Numerical study on the flow-induced vibrations of two elastically mounted side-by-side cylinders at subcritical Reynolds numbers. Appl. Ocean Res. 2022, 124, 103191. [Google Scholar] [CrossRef]
- Chen, W.; Ji, C.; Xu, D. Vortex-induced vibrations of two side-by-side circular cylinders with two degrees of freedom in laminar cross-flow. Comput. Fluids 2019, 193, 104288. [Google Scholar] [CrossRef]
- Chen, W.; Ji, C.; Xu, D.; An, H.; Zhang, Z. Flow-induced vibrations of two side-by-side circular cylinders at low Reynolds numbers. Phys. Fluids 2020, 32, 023601. [Google Scholar] [CrossRef]
- Chang, C.C.; Yang, S.H.; Chu, C.C. A many-body force decomposition with applications to flow about bluff bodies. J. Fluid Mech. 2008, 600, 95–104. [Google Scholar] [CrossRef]
- Chang, C.C. Potential flow and forces for incompressible viscous flow. Proc. R. Soc. A-Math. Phy. 1992, 437, 517–525. [Google Scholar]
- Lee, J.J.; Hsieh, C.T.; Chang, C.C.; Chu, C.C. Vorticity forces on an impulsively started finite plate. J. Fluid Mech. 2012, 694, 464–492. [Google Scholar] [CrossRef]
- Lin, Y.S.; Tzeng, Y.T.; Hsieh, C.T.; Chang, C.C.; Chu, C.C. A mechanism of thrust enhancement on a heaving plate due to flexibility at moderately low Reynolds numbers. J. Fluid Struct. 2018, 76, 573–591. [Google Scholar] [CrossRef]
- Menon, K.; Mittal, R. On the initiation and sustenance of flow-induced vibration of cylinders: Insights from force partitioning. J. Fluid Mech. 2020, 907, A37. [Google Scholar] [CrossRef]
- Menon, K.; Kumar, S.; Mittal, R. Contribution of spanwise and cross-span vortices to the lift generation of low-aspect-ratio wings: Insights from force partitioning. Phys. Rev. Fluids 2022, 7, 114102. [Google Scholar] [CrossRef]
- Yin, G.; Janocha, M.J.; Ong, M.C. Estimation of hydrodynamic forces on cylinders undergoing flow-induced vibrations based on modal analysis. J. Offshore Mech. Arct. 2022, 144, 060904. [Google Scholar] [CrossRef]
- Luo, X.G.; Gao, A.K.; Lu, X.Y. Enhanced performance of a self-propelled flexible plate by a uniform shear flow and mechanism insight. Phys. Fluids 2023, 35, 021903. [Google Scholar] [CrossRef]
- Xu, H.L.; Lei, J.C.; Chang, C.C.; Wang, C.Y. Lifting Stokes’ paradox by accelerating flow past a circular cylinder and extension of the analysis to the sphere. Phys. Fluids 2023, 35, 033608. [Google Scholar] [CrossRef]
- Moriche, M.; Sedky, G.; Jones, A.R.; Flores, O.; García-Villalba, M. Characterization of aerodynamic forces on wings in plunge maneuvers. AIAA J. 2021, 59, 751–762. [Google Scholar] [CrossRef]
- Carini, M.; Auteri, F.; Giannetti, F. Secondary instabilities of the in-phase synchronized wakes past two circular cylinders in side-by-side arrangement. J. Fluids Struct. 2015, 53, 70–83. [Google Scholar] [CrossRef][Green Version]
- Han, X.; Lin, W.; Wang, D.; Qiu, A.; Feng, Z.; Tang, Y.; Wu, J. Numerical simulation of super upper branch of a cylindrical structure with a low mass ratio. Ocean Eng. 2018, 168, 108–120. [Google Scholar] [CrossRef]
- Vu, H.C.; Ahn, J.; Hwang, J.H. Numerical simulation of flow past two circular cylinders in tandem and side-by-side arrangement at low Reynolds numbers. KSCE J. Civ. Eng. 2016, 20, 1594–1604. [Google Scholar] [CrossRef]
- De Langre, E. Frequency lock-in is caused by coupled-mode flutter. J. Fluid Struct. 2006, 22, 783–791. [Google Scholar] [CrossRef]
- Mittal, S.; Kumar, V. Finite element study of vortex-induced cross-flow and in-line oscillations of a circular cylinder at low Reynolds numbers. Int. J. Numer. Methods Fluid. 1999, 31, 1087–1120. [Google Scholar] [CrossRef]
- Jiang, H.; Cheng, L.; Draper, S.; An, H.; Tong, F. Three-dimensional direct numerical simulation of wake transitions of a circular cylinder. J. Fluid Mech. 2016, 801, 353–391. [Google Scholar] [CrossRef]
- Tu, J.; Tan, X.; Deng, X.; Han, Z.; Zhang, M.; Li, Z.; Xu, J.; Zhang, P. Dynamic responses and flow-induced vibration mechanism of three tandem circular cylinders in planar shear flow. Ocean Eng. 2020, 199, 107022. [Google Scholar] [CrossRef]
- Sumner, D. Two circular cylinders in cross-flows: A review. J. Fluids Struct. 2010, 26, 849–899. [Google Scholar] [CrossRef]
- Singh, S.P.; Mittal, S. Vortex- Induced Oscillations at Low Reynolds Numbers: Hysteresis and Vortex-Shedding Modes. J. Fluid Struct. 2005, 20, 1085–1104. [Google Scholar] [CrossRef]
- Prasanth, T.K.; Mittal, S. Vortex- Induced Vibrations of a Circular Cylinder at Low Reynolds Numbers. J. Fluid Mech. 2007, 594, 463–491. [Google Scholar] [CrossRef]

























| Mesh | Cell Number | h* | ∆tU∞/D | ||||
|---|---|---|---|---|---|---|---|
| M1 | 56,490 | 0.01 | 0.0025 | 1.901 | 0.191 | 0.069 | 0.514 |
| M2 | 80,550 | 0.005 | 0.0025 | 1.872 (1.5%) | 0.186 (2.7%) | 0.066 (4.5%) | 0.511 (0.6%) |
| M3 | 146,400 | 0.0025 | 0.0025 | 1.863 (0.5%) | 0.184 (1.1%) | 0.065 (1.5%) | 0.503 (1.6%) |
| M2 | 80,550 | 0.005 | 0.00125 | 1.860 (0.6%) | 0.187 (0.5%) | 0.066 (0%) | 0.508 (0.6%) |
| Chen et al. [24] | - | - | - | 1.828 | 0.187 | 0.060 | 0.536 |
Disclaimer/Publisher’s Note: The statements, opinions and data contained in all publications are solely those of the individual author(s) and contributor(s) and not of MDPI and/or the editor(s). MDPI and/or the editor(s) disclaim responsibility for any injury to people or property resulting from any ideas, methods, instructions or products referred to in the content. |
© 2024 by the authors. Licensee MDPI, Basel, Switzerland. This article is an open access article distributed under the terms and conditions of the Creative Commons Attribution (CC BY) license (https://creativecommons.org/licenses/by/4.0/).
Share and Cite
Song, M.; Guo, S.; Xu, H.; Tao, W.; Lei, J.; Chang, C.-C. Force Element Analysis in Vortex-Induced Vibrations of Side-by-Side Dual Cylinders: A Numerical Study. J. Mar. Sci. Eng. 2024, 12, 1529. https://doi.org/10.3390/jmse12091529
Song M, Guo S, Xu H, Tao W, Lei J, Chang C-C. Force Element Analysis in Vortex-Induced Vibrations of Side-by-Side Dual Cylinders: A Numerical Study. Journal of Marine Science and Engineering. 2024; 12(9):1529. https://doi.org/10.3390/jmse12091529
Chicago/Turabian StyleSong, Mengtian, Suxiang Guo, Hailong Xu, Weijian Tao, Jiechao Lei, and Chien-Cheng Chang. 2024. "Force Element Analysis in Vortex-Induced Vibrations of Side-by-Side Dual Cylinders: A Numerical Study" Journal of Marine Science and Engineering 12, no. 9: 1529. https://doi.org/10.3390/jmse12091529
APA StyleSong, M., Guo, S., Xu, H., Tao, W., Lei, J., & Chang, C.-C. (2024). Force Element Analysis in Vortex-Induced Vibrations of Side-by-Side Dual Cylinders: A Numerical Study. Journal of Marine Science and Engineering, 12(9), 1529. https://doi.org/10.3390/jmse12091529

