Capacity Optimization for RSMA-Based Multi-User System over Underwater Turbulence Channel
Abstract
1. Introduction
2. System Model

3. Underwater Channel Model
3.1. Oceanic Turbulence Model
3.2. Pointing Errors Model
3.3. Attenuation Model
3.4. Joint Fading Channel Model
4. Channel Simulation and System Performance Analysis
4.1. Channel Simulation

4.2. Ergodic Capacity
4.3. Outage Probability
4.4. Joint Optimization of RASM and Power Allocation Algorithm
| Algorithm 1 JO algorithm: | |
| Initialize: N and Pt, Pmin ≤ Pt ≤ Pmax; | |
| 1: | According to (24), calculate ap,i, ap,j, i, j∈{1, …, N}, i ≠ j; |
| 2: | Satisfy , obtain ac; |
| 3: | Based on (25), obtain Pi, Pc; |
| 4: | Set Pout, Determine Rmin and the SINR range for each user based on (22); |
| 5: | According to , optimization variables of (23a) reduce to the power allocation using CVX tool until convergence, i.e., ap,i, ac, Rp,i, Rc. |
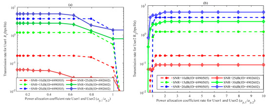
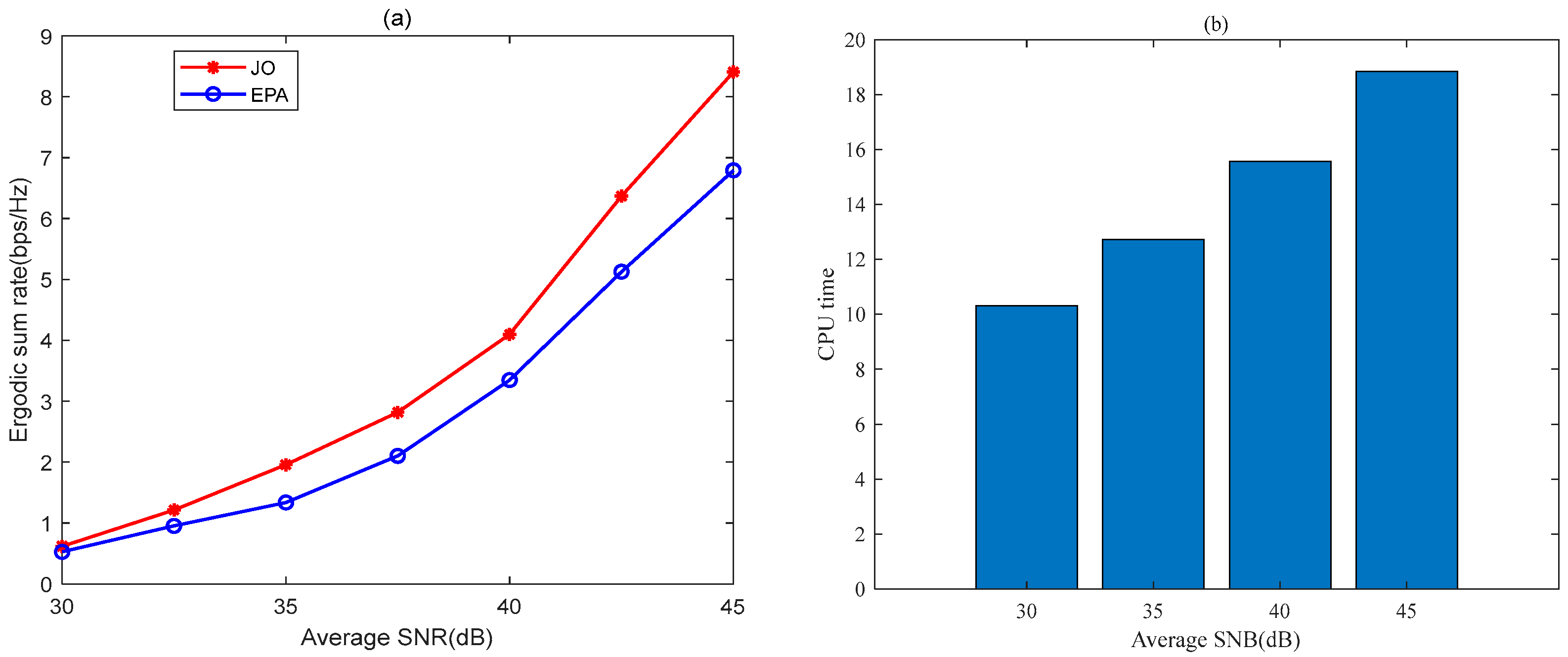
5. Numerical Results and Discussions





6. Conclusions
Author Contributions
Funding
Institutional Review Board Statement
Informed Consent Statement
Data Availability Statement
Acknowledgments
Conflicts of Interest
References
- Huang, G.; Zhang, L. Reliable Rotation Transform Aided MIMO Scheme for Underwater Visible Light Communication. In Proceedings of the 2019 IEEE/CIC International Conference on Communications in China (ICCC), Changchun, China, 11–13 August 2019. [Google Scholar]
- Amantayeva, A.; Yerzhanova, M.; Kizilirmak, R.C. Multiuser MIMO for Underwater Visible Light Communication. In Proceedings of the 2018 International Conference on Computing and Network Communications (CoCoNet), Astana, Kazakhstan, 15–17 August 2018. [Google Scholar]
- Zhang, L.; Wang, Z.; Wei, Z.; Chen, C.; Wei, G.; Fu, H.Y.; Dong, Y. Towards a 20 Gbps multi-user bubble turbulent NOMA UOWC system with green and blue polarization multiplexing. Opt. Express 2020, 28, 31796–31807. [Google Scholar] [CrossRef] [PubMed]
- Liang, Y.; Yin, H.; Jing, L.; Ji, X.; Wang, J. Performance analysis of relay-aided NOMA optical wireless communication system in underwater turbulence environment. Remote Sens. 2022, 14, 3894. [Google Scholar] [CrossRef]
- Palitharathna, K.W.S.; Suraweera, H.A.; Godaliyadda, R.I.; Herath, V.R.; Ding, Z. Impact of receiver orientation on Full-Duplex relay aided NOMA underwater optical wireless systems. In Proceedings of the 2020 IEEE International Conference on Communications (ICC), Dublin, Ireland, 7–11 June 2020; pp. 1–7. [Google Scholar]
- Palitharathna, K.W.S.; Suraweera, H.A.; Godaliyadda, R.I.; Herath, V.R.; Thompson, J.S. Average rate analysis of cooperative NOMA aided underwater optical wireless systems. IEEE Open J. Commun. Soc. 2021, 2, 2292–2310. [Google Scholar] [CrossRef]
- Xing, F.; He, S.; Yue, Y.; Yin, H. Ergodic rate characterization for rate-splitting multiple access based underwater wireless optical communications. In Proceedings of the IEEE 95th Vehicular Technology Conference (VTC-Spring), Helsinki, Finland, 19–22 June 2022. [Google Scholar]
- Rahman, Z.; Romdhane, I.; Kaddoum, G. Performance of RSMA-based UOWC systems over oceanic turbulence channel with pointing errors. IEEE Open J. Commun. Soc. 2024, 5, 127–138. [Google Scholar] [CrossRef]
- Rahman, Z.; Hassan, M.Z.; Kaddoum, G. Ergodic capacity optimization for RSMA-based UOWC systems over EGG turbulence channel. IEEE Commun. Lett. 2024, 28, 587–591. [Google Scholar] [CrossRef]
- Mao, Y.; Clerckx, B.; Li, V.O.K. Rate-splitting multiple access for downlink communication systems: Bridging, generalizing, and outperforming SDMA and NOMA. EURASIP J. Wireless Commun. Netw. 2018, 2018, 133. [Google Scholar] [CrossRef] [PubMed]
- Clerckx, B.; Mao, Y.; Schober, R.; Poor, H.V. Rate-splitting unifying SDMA, OMA, NOMA, and multicasting in MISO broadcast channel: A simple two-user rate analysis. IEEE Wireless Commun. Lett. 2020, 9, 349–353. [Google Scholar] [CrossRef]
- Xing, F.; Yin, H.; Shen, Z.; Leung, V.C.M. Joint relay assignment and power allocation for multiuser multirelay networks over underwater wireless optical channels. IEEE Internet Things J. 2020, 7, 9688–9701. [Google Scholar] [CrossRef]
- Ding, J.; Yu, S.; Fu, Y.; Ma, J.; Tan, L. New approximate and asymptotic closed-form expressions for the outage probability and the average BER of MIMO-FSO system with MRC diversity technique over Gamma-Gamma fading channels with generalized pointing errors. Opt. Commun. 2020, 456, 124633. [Google Scholar] [CrossRef]
- Chauhan, D.S.; Kaur, G.; Kumar, D. Design of novel MIMO UOWC link using gamma–gamma fading channel for IoUTs. Opt. Quantum Electron. 2022, 54, 512. [Google Scholar] [CrossRef]
- Baykal, Y. Expressing oceanic turbulence parameters by atmospheric turbulence structure constant. Appl. Opt. 2016, 55, 1228–1231. [Google Scholar] [CrossRef] [PubMed]
- Hamza, G.; Yahya, B. Depth dependence of power spectrum in underwater turbulence. Phys. Scr. 2022, 97, 125508. [Google Scholar]
- Yao, J.; Mohammed, E.; Olga, K.R. Spatial power spectrum of natural water turbulence with any average temperature, salinity concentration, and light wavelength. J. Opt. Soc. Am. A 2020, 37, 614–1621. [Google Scholar] [CrossRef] [PubMed]
- Lin, Z.; Xu, G.; Zhang, Q.; Song, Z. Average symbol error probability and channel capacity of the underwater wireless optical communication systems over oceanic turbulence with pointing error impairments. Opt. Express 2022, 30, 15327–15343. [Google Scholar] [CrossRef] [PubMed]
- Elamassie, M.; Uysal, M. Vertical underwater VLC links over cascaded Gamma-Gamma turbulence channels with pointing errors. In Proceedings of the 2019 IEEE International Black Sea Conference on Communications and Networking (BlackSeaCom), Sochi, Russia, 3–6 June 2019. [Google Scholar]
- Li, Y.; Li, B.; Jiang, H. Displacements of a spatially limited light beam in the slant path of oceanic turbulence. Opt. Express 2022, 30, 24232–24244. [Google Scholar] [CrossRef] [PubMed]
- Andrews, L.C.; Phillips, R.L. Laser Beam Propagation through Random Media., 2nd ed.; SPIE PRESS: Bellingham, DC USA, 2005. [Google Scholar]
- Johnson, L.J.; Green, R.J.; Leeson, M.S. Underwater optical wireless communications: Depth dependent variations in attenuation. Appl. Opt. 2013, 52, 7867–7873. [Google Scholar] [CrossRef] [PubMed]
- Gradshteyn, I.S.; Ryzhik, I.M. Table of Integrals, Series, and Products, 7th ed.; Academic Press: New York, NY, USA, 2007. [Google Scholar]
- Zhou, H.; Xie, W.; Zhang, L.; Bai, Y.; Wei, W.; Dong, Y. Performance analysis of FSO coherent BPSK systems over Rician turbulence channel with pointing errors. Opt. Express 2019, 27, 27062–27075. [Google Scholar] [CrossRef] [PubMed]
- The Wolfram Functions Site Wolfram Research, Inc. Available online: https://functions.wolfram.com/ (accessed on 1 May 2024).
- Available online: ftp://ftp.argo.org.cn/pub/ARGO/global/ (accessed on 21 June 2024).
- Deng, P.; Kavehrad, M.; Liu, Z.; Zhou, Z.; Yuan, X. Capacity of MIMO free space optical communications using multiple partially coherent beams propagation through non-Kolmogorov strong turbulence. Opt. Express 2013, 21, 15213–15229. [Google Scholar] [CrossRef] [PubMed]
- Luo, F.; Mao, Y. A practical max-min fair resource allocation algorithm for rate-splitting multiple access. IEEE Commun. Lett. 2023, 27, 3285–3289. [Google Scholar] [CrossRef]
- CVX Research. Available online: https://cvxr.com/cvx/download/ (accessed on 10 June 2024).

| Water | Argo Node ID | Longitude | Latitude | Location |
|---|---|---|---|---|
| 1 | 4902602 | −64.587 | 72.253 | Arctic ocean frigid zone |
| 2 | 2902878 | 156.977 | 39.616 | Pacific temperate zone |
| 3 | 6990505 | 53.498 | −12.681 | East African coastal tropical zone |
| Parameter Name | Symbol | Value |
|---|---|---|
| Minimum transmission power | Pmin | 30 mW |
| Maximum transmission power | Pmax | 200 mW |
| Electronic charge | q | 1.602 × 10−19 C |
| OBPF bandwidth | 30 nm | |
| Optical filter transmissivity | TF | 0.95 |
| Half-angle view field | 30° | |
| Receiver effective bandwidth | B | 100 MHz |
| Excess noise factor | FA | 0.5 |
| Receiving aperture radius | Rrx | 10 cm |
| Seawater depth at which user receiver is deployed | D | 40 m |
| O/E conversion efficiency of APDs | ηr | 0.6 |
| E/O conversion efficiency of LDs | ηt | 0.5 |
| APD responsivity | 0.8 A/W | |
| Initial beam waist | W0 | 5 cm |
| Communication coverage radius | R | 30 m |
| Number of LDs | Nt | 6 |
| Number of APDs for each user | Nr | 1 |
| Optical wavelength | λ | 532 nm |
Disclaimer/Publisher’s Note: The statements, opinions and data contained in all publications are solely those of the individual author(s) and contributor(s) and not of MDPI and/or the editor(s). MDPI and/or the editor(s) disclaim responsibility for any injury to people or property resulting from any ideas, methods, instructions or products referred to in the content. |
© 2024 by the authors. Licensee MDPI, Basel, Switzerland. This article is an open access article distributed under the terms and conditions of the Creative Commons Attribution (CC BY) license (https://creativecommons.org/licenses/by/4.0/).
Share and Cite
Wang, J.; Yin, H. Capacity Optimization for RSMA-Based Multi-User System over Underwater Turbulence Channel. J. Mar. Sci. Eng. 2024, 12, 1526. https://doi.org/10.3390/jmse12091526
Wang J, Yin H. Capacity Optimization for RSMA-Based Multi-User System over Underwater Turbulence Channel. Journal of Marine Science and Engineering. 2024; 12(9):1526. https://doi.org/10.3390/jmse12091526
Chicago/Turabian StyleWang, Jianying, and Hongxi Yin. 2024. "Capacity Optimization for RSMA-Based Multi-User System over Underwater Turbulence Channel" Journal of Marine Science and Engineering 12, no. 9: 1526. https://doi.org/10.3390/jmse12091526
APA StyleWang, J., & Yin, H. (2024). Capacity Optimization for RSMA-Based Multi-User System over Underwater Turbulence Channel. Journal of Marine Science and Engineering, 12(9), 1526. https://doi.org/10.3390/jmse12091526
