Abstract
The salmon industry’s challenges with skin health and sea lice emphasize the necessity for fish-sensitive measures like functional nutrition to boost skin health and fish welfare. The present study investigated the efficacy of krill meal (KM) for skin mucosal health and sea lice in Atlantic salmon (170 g). Following an 8-week feeding period, in duplicate tanks, on test diets (8% KM, 12% KM, and the control group), fish underwent a 2-week sea lice challenge, reaching 350 g. The 8% KM diet group had thicker skin epithelium (72.3 µ) compared to the 12% KM (51.3 µ) and the control groups (43.8 µ) after 8 weeks. Additionally, skin mucosal health parameters—cell size (208 µ2), cell density (25.2%), and defense activity (1.19)—were significantly enhanced with 8% KM compared to the 12% KM (cell size: 162.3 µ2, cell density: 17%, defense activity: 1.04) and the control group (cell size: 173.5 µ2, cell density: 16.4%, defense activity: 0.93). Furthermore, fish fed with 8% KM significantly showed the lowest sea lice, along with reduced cell size while maintaining a high abundance of skin mucous cells, suggesting efficient turnover of the skin mucosal layer to remove sea lice effectively. This study highlights the potential of KM as part of a functional nutrition strategy to enhance skin mucosal health and mitigate sea lice challenges.
1. Introduction
Advancements in the aquaculture industry and improved fish farming have enabled salmon to thrive in captivity, allowing for increased production to meet global seafood demand. However, welfare concerns persist, primarily related to diseases, delousing operations, and the aquatic environment in which they are raised. In 2022, the Directorate of Fisheries in Norway reported that 58 million farmed salmon either died or were in poor condition [1]. Though not a perfect indicator, high mortality suggests poor welfare. One of the key reasons for this high mortality is the use of delousing treatments against salmon lice, a natural ectoparasite of Atlantic salmon. The impact of salmon lice is a significant concern for sustainably farmed Atlantic salmon production. Current non-medicinal lice treatment methods often lead to increased mortality and reduced growth in the post-treatment period, affecting the external immune barriers of the fish (skin and gills) and farmer profitability, as well as compromising the welfare and sustainability of the industry [2]. Costly treatments, leading to substantial economic losses within the salmon farming industry, are designed to meet the strict regulations, permitting a maximum prevalence of 0.2 adult female lice per farmed fish during spring [3]. The traditional reliance on medicinal measures for sea lice control in salmon farming has given way to alternative methods due to rising chemical resistance [4,5]. Farmers now implement a blend of preventive strategies, including continuous delousing with cleaner fish, as well as non-medicinal and medicinal approaches [6,7]. This shift has led to a significant rise in production costs, particularly in open cage salmon farming where up to 30% of production costs are attributed to “biological risk”, exclusive of sea lice treatments and the cost of feeds and fish [8]. Additionally, the heightened frequency of treatment carries a welfare cost for the fish, increasing the risk of injury and mortality with each intervention. The annual expenditure on delousing in Norway has surpassed 6 billion NOK [9]. This overwhelming figure does not even account for the additional losses incurred due to reduced growth rates and heightened mortality, further emphasizing the financial burden this issue poses to the aquaculture industry.
Optimal skin health is vital in salmon farming to ensure fish welfare and maximize productivity. The skin of a salmon acts as its primary defense, but it can be compromised by different factors like delousing treatments, handling, etc., causing lesions, infections, reduced welfare, and lower product quality. The increasing sea lice resistance to different chemical treatments, coupled with the challenges of treating large fish cages with bath treatments, highlights the pressing need for alternative control measures like functional nutrition, which are gentler towards fish and require less handling, hence, reducing skin damage. Various immunostimulants, as a part of functional diets, have demonstrated effectiveness in reducing sea lice infestations in salmon, specifically, diets enriched with β-1,3-1,6-glucans or mannan oligosaccharides (MOS) have shown promise in reducing sea lice burdens on the skin [10,11]. Furthermore, researchers have developed methods to boost salmon’s immune response to lice. Adding substances like CpG-ODN or yeast extracts to salmon feed reduced lice infections by around 40% and increased immune responses, but how they work is not fully understood [12].
The mucosal epidermis of salmon skin acts as first line of defense against any physical or parasitic challenge. It comprises goblet or mucous cells embedded in undifferentiated cells and epithelial cells, and surrounding the scales is a dynamic and metabolically active tissue that is influenced by external factors and forms part of the innate immune system [13,14]. Salmon skin mucus serves as a multifunctional protective barrier containing enzymes, antibacterial agents, and immune-related compounds [15]. This mucosal layer and its cellular composition are an active living and learning intermediary between the environment and the fish, with multiple possible responses to various stimuli. The cellular composition of the skin’s mucosal barrier is dynamic and may also exude substances that are in excess for somatic or physiological function [16]. The mucosal variables are unbiased measures of (a) mucous cell size (mean cell size in µ2 or “S”), (b) mucous cell volumetric density in the epithelium (“D” in %), and (c) the calculated mucosal cell defense activity in the epithelium using the equation 1/((S/D) × 1000), indicating the abundance of mucous cells in the epithelium [14,17]. The abundance of a given cell size helps determine how robust the tissue is physically and how hard it is working to ward off dysregulation or return to homeostasis. The mucosal variables measured correspond to mucous cell size, mucous cell density, and defense activity that together form the basis of statistically robust measures of mucosal homeostasis and cell pathology of the skin and gills of any fish species.
Sea lice infections have been shown to reduce the size of epidermal mucous cells [18,19]. A functional diet can influence epidermal thickness and mucous cell density, thereby enhancing the robustness of the skin barrier to cope with sea lice infestation (QD unpublished data) [19]. Feeding trials offer a promising avenue for enhancing sea lice control by modifying the properties or content of mucosal epithelia using putatively functional diets [20]. A recent study demonstrated the benefits of high levels of eicosapentaenoic acid (EPA) and docosahexaenoic acid (DHA) from low-trophic organisms (diatoms) for reducing the number of sea lice [21]. The effects were suggested to be due to the oxylipins, the lipids produced enzymatically from membrane-bound PUFAs, especially LC-PUFAs (EPA and DHA). Antarctic krill is the largest single-species, low-trophic biomass that primarily feeds on diatoms in the Antarctic Ocean [22,23]. Krill meal (KM) is derived from whole Antarctic krill and offers a package of high-quality nutrients such as a well-balanced amino acids profile, phospholipids, omega-3 polyunsaturated fatty acids (n-3 PUFAs) including EPA and DHA, valuable micronutrients like astaxanthin, vitamins, minerals, choline, and nucleotides, trimethylamine N-oxide (TMAO), chitin, etc. ([24], Supplementary Table S1). Numerous studies have highlighted the positive impact of KM on the growth, organ health (liver, intestine, and heart), and fillet quality of Atlantic salmon [24,25,26,27]. However, so far nothing has been published on the effect of KM on sea lice infestation and its effect on the mucosal barriers in salmon. In the present study, our goal was to investigate the potential benefits of incorporating KM for reducing sea lice infestation in Atlantic salmon smolts. Additionally, we aimed to assess the impact of KM on the skin mucosal tissue to determine its role in enhancing mucosal health.
2. Materials and Methods
2.1. Fish
Atlantic salmon hatched and reared at ILAB in Bergen were used in this study. The eggs were brought in as eyed eggs from Stofnfiskur, Iceland, in 2021. The fish were specific-pathogen-free, as they had been examined for several pathogens prior to the experiment (infectious pancreatic necrosis virus IPNV; infectious salmon anemia virus ISAV; salmon pancreas disease virus SPDV; salmonid alphavirus SAV; piscine myocarditis virus PMCV; piscine reovirus PRV; and salmon gill poxvirus SGPV). At the start of this study, the average weight of the salmon was 106.6 g. The salmon had smoltified when the experiment started and were held in seawater.
2.2. Ethical Statement
The animal experiment was approved by the Norwegian Food Safety Authorities in 2022, under the identification code 29909.
2.3. Experimental Set-Up
The experiment was conducted in six 500 L tanks in a flow-through system (water flow of 1000–1300 L/h per tank throughout the experiment). The water temperature was set to 12 °C. Oxygen saturation was set to >77% and the salinity levels was set to 34‰ throughout the period. The light regime was 12 h light/12 h dark throughout this study. Each tank contained 50 Atlantic salmon smolts. Rearing conditions such as water temperature, oxygen, salinity, and water flow were registered daily. Fish were fed from automatic feeders prior to the start of the experiment. The average weight of the fish was 106.6 g at the start of the experiment. Prior to the experiment, the fish had been reared in fresh water under continuous light at slowly decreasing temperatures (12 °C to 8 °C over 4 weeks), followed by the gradual introduction of saltwater over the next 4 weeks. The fish were acclimated over 14 days in 12 °C seawater in their respective tanks and fed 3 mm Nutra Olympic pellets from Skretting until reaching 170 g before introducing the experimental diets. Fish were given three test diets, in duplicate tanks, using automatic feeders and 4 mm pellets (Figure 1). The experiment lasted 86 days.
Figure 1.
Representation of the experimental design. Fish were kept in acclimation for 14 days on a common commercial diet, reaching 170 g, followed by feeding trial for 8 weeks on respective test diets. After 8 weeks, fish were exposed to a sea lice copepodite challenge for 2 weeks while being fed their respective test diets. The feeding was conducted in seawater tanks. The average weights at the time of acclimation, before feeding on test diets, before sea lice challenge, and at the end of trial are mentioned in the figure.
2.4. Challenge with Salmon Lice, Lepeophtheirus salmonis
After 8 weeks of feeding on test diets, the fish were challenged with sea lice infestation for 2 weeks (Figure 1). On the day of the challenge, the water level in each tank was reduced to approximately 200 L. Copepodites of Lepeophtheirus salmonis, reared at ILAB, were added to each tank (30 copepodites per fish or 1800 lice/tank). The water level was reinstated after approximately 15–20 min.
2.5. Feed Formulation and Characterization
Three test diets were formulated (Table 1) including a control diet, similar to today’s conventional Norwegian salmon feed, and two diets with different inclusion levels of KM (8 and 12%, KM was supplied by Aker BioMarine Antarctic AS, Oslo, Norway), with the aim to partially replace both fish meal (FM) and fish oil (FO). The feeds were produced by Nofima AS (Bergen, Norway). All dry ingredients were ground to less than 1 mm particle size before extrusion in a Wenger TX-52 double screw extruder, maximum temperature of 110 °C. Pellet size was 4.2 mm before drying. After production, the proximate composition and fatty acid profiles for all the feeds were analyzed at Biolabs.
Table 1.
Formulation and chemical composition of the experimental feeds as produced by NOFIMA and as analyzed by Biolabs.
2.6. Sampling for Sea Lice Counting
A total of 40 fish/tank were sampled for sea lice counting. Briefly, fish in the respective tanks were lightly sedated with AQUIS and 3–4 fish were gently netted into buckets (anesthetized with MS-222 (100 mg/L)) and transported to the sampling facility. Each fish was lice-counted by a trained operator who examined the fish visually for lice by holding the fish and examining all sides.
2.7. Skin Mucosal Mapping
The left dorsolateral skin (DOR) is a standardized sampling site for mucosal mapping. At 2 weeks post-lice challenge, the random lice landing site (LLS) on the right flank was sampled, regardless of distance to a standard sampling site. Samples for mucosal mapping were collected from stock fish (n = 30) before giving the test diets, thereafter at 8 weeks of feeding (pre-challenge) on the respective test diets. Both DOR and LLS were sampled at 2 weeks post-sea lice challenge. Tissues from the pre-challenge stage were collected from 10 fish per tank (duplicate tanks/diet), and five fish from each tank 2 weeks post-challenge. All fish were euthanized by an overdose (200 mg/L) of metacain (Finquel Vet.) and the length and weight of each fish was measured. Biopsies of the skin tissue for mucous cell analyses were collected from freshly over-sedated fish from the dorsolateral left side of the fish at all dates (DOR, standard protocol) and from lice attachment sites on the right flank regardless of site (LLS) at 2 weeks post-challenge sampling.
2.7.1. Dorsolateral Skin (DOR) for Mucosal Mapping
The standard sampling site is the dorsolateral skin adjacent to the anterior of the dorsal fin, where a scalpel is used to incise a shallow but broad biopsy with very little muscle to anchor the section. The Day 0 sampling of 30 fish was taken from a pooled stock before the start of test feeding, while the second sampling after 8 weeks of test diet feeding comprised 10 salmon from each of the two tanks in each diet treatment (n = 10, N = 60). The third sampling followed 2 weeks post-sea lice infestation and samples were taken from 5 fish per tank per diet (n = 5, N = 30). Histological processing was achieved by following the standard protocol of QuantiDoc (fixation in buffered formalin, dehydration, embedding in paraffin, tangential sectioning, staining with PAS-AB, and scanning of one section per tissue per individual followed by analysis of high-resolution digital images for mucosal parameters) [13,14,17]. All samples were analyzed with calibrated semi-automated proprietary software VERIBARR™ Master version 2, the trademarked name of mucosal mapping technology. Universally applicable units of reporting measure standardized mucosal parameters: (a) the mean area of the mucous cells in the tissue (“S” for size) was measured in square microns, (b) the mucous cell volumetric density in the epithelium (“D”) was measured in %, which gives the percentage of the epithelium filled by mucous cells, and (c) the defense activity of the mucous cells in the epithelium, calculated using the equation (1/(S/D)) × 1000, which indicates the abundance of mucous cells in the epithelium. The results for each tissue were visualized using the Dicer App v2 using the stereological VERIBARR™ method developed by QuantiDoc.
2.7.2. Lice Landing Site (LLS) for Mucosal Mapping
Lice Landing Site (LLS) was sampled only after 2 weeks post-sea lice exposure, where the site for biopsy was on the right flank wherever lice were found. One site per fish was chosen regardless of proximity to any standard skin sampling site. These LLS samples were then fixed and processed in the same manner as DOR samples.
2.7.3. Epidermal Thickness
Thickness of the skin, on stock fish (n = 2) and post-8 weeks of feeding on test diets (n = 16 per tank prior to lice exposure), was assessed on biopsies recut for transverse sectioning (see Supplemental Figure S4 for examples of transverse and tangential skin sections used in this study). Measurements of the epidermis were made on 9 to 77 random spots, depending on the section length, and averaged for each section.
2.7.4. Comparison to Wild Salmon Database
Comparison to the wild salmon database is a baseline QuantiDoc uses to compare the results of projects with the wild values. Data from the skin of salmon have been systematically collected in a standardized way, with metadata for over 12 years from several thousand fish and 7 general systems including the wild. As such, the past collection of wild salmon samples stands as an anchor in the overall database, illustrating how the farmed fish have changed their barrier activation due to conditions in commercial farming.
2.8. Statistics
All data produced were analyzed using R Core Team, Version 4.3.2 (2023-10-31 ucrt) [28]. Due to the random effect of individual tanks within the groups, a linear mixed effect model (lme) from the nlme package (R package version 3.1-164) [29] was used for the analysis of VERIBARRTM data (mean mucous cell size and mean mucous cell density). However, the lice count data were analyzed using a generalized linear mixed effect model using Penalized Quasi-Likelihood (glmmPQL) with a poisson distribution. Significant difference was set to p < 0.05, while a trend to significant differences was considered when p value was between 0.05 and 0.1. The model structures used are described in the Supplementary Figures S1–S3.
3. Results
3.1. Fish Growth
A statistically non-significant (p > 0.05) but numerically higher growth was observed in the 8% KM group in comparison to the 12% KM group and the control group. Specifically, after 8 weeks of test feeding, the 8% KM group had numerically the highest average weight of 319.8 + 48.7 g in comparison to the 12% KM group, with an average of 311.8 + 39.6 g, and the control group, with an average of 308.2 + 48.5 g. A similar trend was observed 2 weeks post-sea lice challenge, with the 8% KM group exhibiting numerically the highest average weight of 362.1 + 52.5 g in comparison to the 12% KM group, with an average of 349.8 + 41.6 g, and the control group, with an average of 351.8 + 52.1 g, respectively.
3.2. Sea Lice Numbers
A total of 80 fish from two tanks per diet group (40 fish/tank) were counted for sea lice at the preadult stage. The 8% KM group showed a statistically significant lower lice count, with an average of 7.34 ± 4.08 lice per fish (p = 0.0374). In contrast, the control and 12% KM groups had higher lice counts, averaging 9.75 ± 5.13 and 9.1 ± 4.71 lice per fish, respectively, as shown in Figure 2.
Figure 2.
Box plot representation of mean ± standard deviation number of preadult sea lice per fish in the three diet groups. The box represents the interquartile range (IQR), which is the range of values that cover the 25th percentile (Q1) to 75th percentile (Q3). The whiskers show the minimum (Q1 − 1.5 × IQR) and maximum (Q3 + 1.5 × IQR). The value in the boxplot is the mean ± standard deviation values of preadult sea lice per fish in the different diet groups. The 8% KM group provided a significant reduction of mean values (p = 0.0374, glmmPQL) of sea lice numbers/fish (n = 80 fish/per diet group).
3.3. Skin Mucosal Response
General skin mucosal response after 8 weeks of test feeding and pre-sea lice challenge: VERIBARRTM values of skin mucous cell size (S), volumetric density (D), and the defense activity increased over the 8 weeks compared to the start values measured in stock fish. The 8% KM group resulted in higher mucosal protection and thicker skin compared to the 12% KM and control groups after 8 weeks of feeding on test diets (Figure 3 and Figure 4, Supplementary Table S2).
Figure 3.
The average dorsolateral skin thickness. The epithelial skin thickness (in microns) in stock fish prior to feeding with the test diets and in test groups 8 weeks after feeding. The box represents the interquartile range (IQR), which is the range of values that cover the 25th percentile (Q1) to 75th percentile (Q3). The whiskers show the minimum (Q1 − 1.5 × IQR) and maximum (Q3 + 1.5 × IQR). The value in the boxplot is the mean ± standard deviation values of epithelial thickness per group. n = 2 for the stock fish and n = 16/diet after 8 weeks of feeding. N = 50.

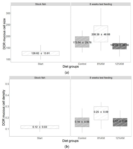
Figure 4.
The changes in dorsolateral skin mucosa (DOR) in stock fish and after 8 weeks of feeding on the test diets. Mean mucous cell size in square microns (a), the mucous cell volumetric density in the epithelium (b), and the calculated defense activity of the mucosa (see Section 2) (c). The box represents the interquartile range (IQR), which is the range of values that cover the 25th percentile (Q1) to 75th percentile (Q3). The whiskers show the minimum (Q1 − 1.5 × IQR) and maximum (Q3 + 1.5 × IQR). The value in the boxplot is the mean ± standard deviation values per group. N = 30 for stock fish, n = 20/diet for the trial groups.
3.3.1. Skin Thickness Pre-Sea Lice Challenge
Fish fed on 8% KM had thicker skin (72.3 µ) than the 12% KM (51.3 µ) and the control groups (43.7 µ) after 8 weeks of feeding, though this was statistically not significant. Interestingly, only the 8% KM group resulted in thicker skin in comparison to stock fish (71.2 µ), whereas skin thickness reduced in both the 12% KM and the control groups, having only 61% of the original thickness (Figure 3).
3.3.2. Skin Mucosal Response Pre-Sea Lice Challenge
The mean mucous cell size increased after 8 weeks of test feeding from the initial 126 µ2 in stock fish to over 208 µ2 in the 8% KM group, which was significantly larger than the mean mucous cell size in the control (173 µ2; p = 0.0461, lme) and the 12% KM (162 µ2; p = 0.0048, lme) groups. There was no significant difference in mean mucous cell size between the 12% KM group and the control group (Figure 3). The mean mucous cell volumetric density increased from the initial 12% in stock fish to 25% in the 8% KM group, which was significantly denser than both the 12% KM (17% density; p = 0.00125, lme) and the control groups (16% density; p = 0.000494, lme). Again, there was no significant difference between the 12% KM and control fish for mucous cell density (Figure 4). The calculated mean defense activity in the skin showed a similar diet-induced trend, increasing from an initial 0.93 to 1.19 in the 8% KM group, significantly more than the control group (0.93, p = 0.00135, lme) but not significantly different from the 12% KM group (1.04) (Figure 4).
3.3.3. General Skin Response to Sea Lice Challenge
The three parameters (cell size, cell density, and the defense activity of mucosal layer) at the standard left dorsolateral skin samples (DOR, without sea lice) was similar (not significantly different) in all the three diet groups, as shown in Figure 5.
Figure 5.
The standard dorsolateral skin (DOR) on the left flank after 2 weeks of exposure to sea lice. The mean mucous cell size (A), the volumetric density of mucous cells in the epithelium (B), and the defense activity of the mucosal layer (C) for the salmon given either the control diet, a diet of 8% KM, or a diet of 12% KM. The box represents the interquartile range (IQR), which is the range of values that cover the 25th percentile (Q1) to 75th percentile (Q3). The whiskers show the minimum (Q1 − 1.5 × IQR) and maximum (Q3 + 1.5 × IQR). The value in the boxplot is the mean ± standard deviation values per group. N = 30 and 5 fish per tank and n = 10 fish/diet.
3.3.4. Specific Skin Site Response to Sea Lice Attachment
The site of sea lice landings on the right flank (LLS) showed that the control diet gave mean cell sizes that were intermediate to the other diet groups (168 µ2), the lowest mucous cell density (15.6%), and the lowest defense activity (0.92). The skin of salmon fed 12% KM had the largest mean cell size (183 µ2) and density (18%), but a low defense activity (0.92), equal to that of the control group (0.92). On the contrary, the skin of salmon fed the 8% KM diet responded to the sea lice with smaller mucous cells (153 µ2) at the middle density (16%) but the highest defense activity (1.03) in comparison to the control and 12% KM groups. The LLS results were not significantly different between diet groups (Figure 6, Supplementary Table S2).
Figure 6.
The lice landing site on the right flank (LLS) after 2 weeks of exposure to sea lice. Within these two weeks, the lice had grown to preadults. (A) the mean mucous cell size, (B) the volumetric density of mucous cells in the epithelium, and (C) the calculated defense activity of the mucosa for the salmon given either the control diet, a diet of 8% KM, or a diet of 12% KM. The box represents the interquartile range (IQR), which is the range of values that cover the 25th percentile (Q1) to 75th percentile (Q3). The whiskers show the minimum (Q1 − 1.5 × IQR) and maximum (Q3 + 1.5 × IQR). The value in the boxplot is the mean ± standard deviation values per group. N = 30 and 5 fish per tank and n = 10 fish/diet.
3.3.5. Comparison to Wild Salmon in the Database
The stock fish DOR skin values were between those of the wild smolt and wild adults, and lie in the “intermediate zone”, corresponding to measures between 0.5 and 1.0 standard deviations of the grand mean and representing 38–68% of all measures, suggesting an elevated defense because of farming conditions (Figure 7a). After 8 weeks of feeding on test diets, all diets had moved skin mucosal parameters to the “central zone” (common in healthy farmed fish), where the data were within 0.5 standard deviations of the grand mean, or about 38% of all measures, suggestive of functional homeostasis (Dussault et al. 2015), with the 8% KM group having the largest and most dense mucosal skin protection (Figure 7b). At two weeks post-sea lice challenge, there was a reduction in the mucosal cell size in only the 8% KM group (Figure 7c), while non-significant increases in defense activity were observed in both the 12% KM and the control groups (Figure 7c).

Figure 7.
Grayscale traffic light model for salmon skin from three sampling dates and two sites (DOR and LLS) in relation to QuantiDoc’s database of salmon (N = 2630). (a) Initial values of mean cell size and calculated defense activity in dorsolateral skin, DOR, of stock fish in comparison to the database, wild adult, and wild smolts; (b) dorsolateral skin, DOR, after 8 weeks of feeding on the control diet, 8% KM, and 12% KM; (c) dorsolateral skin, DOR, two weeks after the sea lice challenge of 30 copepodites per fish and continued feeding on the control diet, 8% KM and 12% KM; (d) the lice landing sites on the right flank, LLS, two weeks after the sea lice challenge. The charts include means for wild smolt (cross) and wild adults (asterisk). Symbols = group means. Black dots = individual salmon measures. Central zone = common in farmed salmon (0.5 standard deviations from grand mean or 38% of measures); intermediate zone = potentially vulnerable or active reaction and recovering (0.5 to 1.0 standard deviations from the mean or between 38 and 68% of the data); and peripheral zone = transition to vulnerable (more than 2.0 standard deviations from the mean or 68–95% of the measures).
The LLS values showed that the lice challenge gave the control group a mean cell size close to that of the wild adult salmon and which lay in the “central zone” (functional homeostasis), whereas the 12% KM group had larger mean cell size yet remained within the central zone. The 8% KM diet group displayed a mean mucous cell size that was smaller than those of the wild adult salmon but larger than that of wild smolt and lay at the transition between the central and intermediate zones. The defense activities of the 12% KM and the control groups were equal (0.92) and lay in the central zone, higher than that of wild adults and smolts, whereas the defense activity of the 8% KM group was highest of all at 1.03 (Figure 7d).
4. Discussion
This study reports first documentation on the effect of feeds with KM inclusion for the enhancement of mucosal barriers in skin tissue and for reducing sea lice infestation in Atlantic salmon smolts. The research involved the evaluation of two doses of KM (8% and 12%) in comparison to a control diet formulated to mimic a conventional commercial diet for Atlantic salmon. Fish fed with 8% KM resulted in significantly better skin mucosal health, measured on three parameters—cell size, cell density, and defense activity of mucosal cells after 8 weeks of feeding and pre-sea lice challenge (Figure 4) and a thicker skin epithelium (Figure 3). Notably, both KM diets exhibited a positive effect in reducing sea lice numbers per fish compared to the control diet, as illustrated in Figure 2. However, the reduction in sea lice numbers was statistically significant only in the 8% KM group, demonstrating a beneficial effect of 8% KM against sea lice infestation. This study acknowledges a limitation in using duplicate tanks instead of triplicates, where the average number of fish per tank are 26 (can range from 14 to over 150 fish/tank) [30]. While triplicates typically have 26 fish per tank, the present study used 50 fish in duplicate tanks for each of the three treatments, to examine the response to diet and the presence or absence of sea lice on external barrier tissues. As such, the response variable is the interaction between fish and the environment, rather than expected differences in growth, emphasizing individual biological variability, which is context dependent [31]. Nevertheless, we recommend future research, particularly field trials, to validate and further explore the current findings.
4.1. Impact of Dietary Elements
The present results align with a previous study indicating the positive impact of a diet incorporating diatoms biomass, which significantly reduced sea lice numbers compared to diets with FO and oil extracted from Calanus finmarchicus. The authors proposed that active sea lice-deterring ingredients, such as polyunsaturated aldehydes (PUAs), e.g., 2-trans, 4-trans decadienal in diatom biomass, may contribute to these effects [21]. Notably, a positive correlation was observed between trophic levels of ingredients and sea lice numbers, with the lowest infestation in salmon fed diatom mass, followed by Calanus, FO, and the highest numbers in salmon fed control feed with terrestrial ingredients. Based on this observation, the authors concluded that some bioactive compound(s) in the diatom mass contributes to the reduction in sea lice infestation, and this effect weakens as the trophic level of ingredient increases [21]. According to this hypothesis, since Antarctic krill naturally feed on diatoms, they might acquire these potential sea lice-deterring agents from diatoms and that could have led to the reduced sea lice numbers with KM diets in the present study. The positive effects of diets with 8% and 12% KM inclusion on sea lice reduction may be attributed to the unique nutritional composition of KM compared to the control diet. KM provides essential nutrients, including phospholipids (PLs), a crucial factor for mucosal health. Research indicates that the skin mucus of Atlantic salmon comprises of approximately 63% neutral lipids and 30% polar lipids, as a percentage of total lipids. Within the polar fraction, phosphatidylcholine (PC) is a dominant component, making up 16% and consisting largely of polyunsaturated fatty acids (PUFA) at 36.11% [32]. KM is a rich source of PLs with PC constituting 80% of the PL fraction [33]. Therefore, it is plausible to suggest that PC derived from KM may play a significant role in contributing to the formation of polar lipids in the skin mucus of Atlantic salmon. This insight highlights the potential link between the nutrient content of KM, particularly PL and PC, and the improvement of mucosal health in farmed Atlantic salmon. Similarly, in other marine fish species, such as Gilthead seabream, the PL fraction, accounting for 40% of the total lipid fraction in fish, has been documented to be an important part of the skin lipid mucus composition [34]. Further, a study identified a correlation between fish mucus PL and glycoprotein fractions, revealing that mucus viscosity increases with higher levels of mucus PL [35]. Specifically, in Labroides dimidiatus, it is proposed that the skin mucus PL content influences the protective role and rigidity of the mucus layer, impacting the fish’s ability to thrive in a parasitic environment [33]. However, further studies would be warranted to explore the mechanisms involved and how mucus PL could provide a protective effect against sea lice infestation. In addition to PL, other nutrients from KM, such as chitin, could have positively influenced skin mucosal health. It is a known fact that commensal microbiota play a vital role in maintaining mucosal barrier functions and preventing colonization by potential pathogens, which can be influenced by feed ingredients and additives like probiotics and prebiotics [36,37]. Chitin is an important component of the krill exoskeleton, with 2–4% of chitin in KM that may function as a prebiotic and an immunostimulant. Ringø et al. documented the positive effects of chitin from KM on the composition of mucosa-associated bacteria in the distal intestine of Atlantic salmon [38].
4.2. Impact on Skin’s Epithelial Thickness
In addition to mucous cell dynamics on barrier tissues, the skin’s epithelial thickness characterizes health status, as a robust epidermis is the first line of defense against injury by mechanical or parasitic agents [39]. Skin thickness increased only in the 8% KM group after 8 weeks of test feeding, indicating a positive effect of 8% KM for enhancing the robustness of the skin barrier (Figure 3). This could possibly suggest that the 8% KM diet contained necessary elements to support the generation of new cells destined for the epidermis. Reports on salmon skin thickness vary from 60–80 microns [19] to 40–100 microns [40], 47–65 microns, 24–58 microns [41], and about 50–80 microns [39], depending on factors such as age, stage, body site, maturity, temperature, and water flow rates. Thinner epidermis and thicker dermis in post-smolt arose under high water velocities in a recirculating aquaculture system (RAS) system, opening for higher susceptibility to bacterial infections and potentially more sensitive fish in regard to non-optimal water conditions [39]. The thicker skin epithelial layer of salmon fed 8% KM in the current trial may have exerted deterrence to the sea lice from wounding or attaching. Our measures of skin thickness fall within the established range but the speed at which thickness was lost in the control and in the 12% KM group leads to questions and warrants further research about the constructive ingredients in 8% KM that helped the fish to maintain skin epithelial thickness.
4.3. Impact of Diet on Skin Resilience to Sea Lice
The skin mucosal layer in all groups responded to both the diet composition and to the sea lice challenge by a general increase in the abundance of mucous cells. However, only the 8% KM group showed a significant increase in cell size, cell density, and skin mucus defense after 8 weeks of feeding. This suggests that 8% KM is beneficial for strengthening the skin mucus barrier by providing essential nutrients (Figure 4). Further, the 8% KM group displayed smaller mucous cells while maintaining a high cell density and defense activity 2 weeks post-sea lice challenge (Figure 5). This could suggest an adaptive skin behavior of fish fed 8% KM to “wash off” sea lice by a rapid production of smaller cells. A higher turnover of skin mucosal barrier components enhances cellular connectivity, increasing the biotensegrity of the mucosal layer [18]. Additionally, studies show a correlation between pre-challenge skin mucous cell density and vulnerability to sea lice infestation, emphasizing the role of mucous cell characteristics and tissue biotensegrity in protecting the skin barrier [15]. Similar findings have been observed by [18], where the authors exposed three groups of salmon (200 g) (one control and two with sea lice challenge) to varying levels of sea lice exposure. After allowing copepodites to mature into adult lice, one group had adult lice removed while another did not. A second challenge with sea lice showed significantly higher lice numbers in groups where adult lice were present compared to those without adult lice and to the control group. Additionally, reduced mucous cell production at the attachment sites of adult lice suggested stage-specific immunosuppression, indicating potential immune advantages for salmon with removed adult lice. The authors suggested an immune advantage of increased mobility and turnover of mucous cells in the skin of small salmon or a “washing off” of a challenge [18].
In our trial, the 8% KM group maintained higher defense activity than the other diet groups at the landing sites of sea lice (LLS) (Figure 5). These findings agree with other reports on the immunosuppressive effect of lice on skin and the positive effects of functional ingredients [42,43]. Combining these results and the present study could indicate that 8% KM provides resilience against the immunosuppression of preadult sea lice by maintaining a high abundance of small mucous cells, enhancing an ability to “wash off” a common threat, thus acting as a preventative health tool.
4.4. Impact of Developmental Stage of Fish
The significantly lower sea lice infestation and enhanced skin mucosal health with 8% KM in comparison to 12% KM may be attributed to differences in chitin and fluoride levels between the two diets. While the chitin levels in KM are within the tolerable limits for salmonids, it is noted that small fish might be more sensitive to these chitin levels. The current study draws parallels with a mink growth study, where different doses of KM (8%, 17%, and 33%) were evaluated, revealing that an 8% KM dose was optimal for the growth of small mink. Higher inclusion levels (33%) resulted in negative effects, including reduced growth, liver inflammatory lesions, decreased plasma bile acid levels, and higher weights of the stomach and rectum [44]. The authors of the mink study attributed these adverse effects to potentially elevated chitin or fluoride levels from high KM inclusions in small mink. Likewise, in some Atlantic salmon studies, very high KM levels (40% and above) were found to reduce lipid digestibility. This reduction in lipid digestibility led to slower growth, primarily due to the high chitin content [45,46]. Studies on Atlantic salmon smolts, with two KM inclusion levels (7.5% and 15%), showed similar growth after seawater transfer, indicating that small fish are more sensitive to higher inclusion levels [47]. Similarly, a recent study on pre-smolts also indicated better weight gain with 8% KM compared to 12% KM [27]. However, high inclusion levels (10% and 12%) are well tolerated by bigger Atlantic salmon in the grower and pre-slaughter phases, offering benefits such as enhanced growth [47], improved health, better fillet quality [25], and reduced mortality in the field [48]. Considering these findings and the results of the present trial, this study suggests that an 8–10% KM inclusion could be considered the optimal dose to achieve the best growth performance in younger developmental stages, smolts, while providing preventive health care around the vulnerable seawater transfer period, whereas the higher inclusion levels (10–12%) may be suitable for the grower phase and the pre-slaughter phase.
5. Conclusions
The trial indicates that 8% KM could offer increased skin mucosal protection for salmon relative to 12% KM and the control diet in Atlantic salmon smolts. Fish fed on 8% KM were more resilient against sea lice infestation, as demonstrated by significantly lower sea lice numbers, and improved physical characteristics such as skin epithelial thickness, mucous cell size, mucous cell density and defense activity. These changes also suggest the potential for resilience to sea lice-induced immunosuppression in fish. Further studies are warranted to unravel the underlying mechanisms involved.
Supplementary Materials
The following supporting information can be downloaded at https://www.mdpi.com/article/10.3390/jmse12091486/s1.
Author Contributions
K.K.: involved in conceptualization, protocol design, data analysis, original draft preparation, and manuscript review and editing. M.A.O.: data analysis, statistics, and manuscript editing. S.H.E.: investigation and study administration. K.P.: histology analysis, and manuscript writing and editing. All authors have read and agreed to the published version of the manuscript.
Funding
This research received no external funding.
Institutional Review Board Statement
The animal experiment was approved by the Norwegian Food Safety Authorities in 2022 under the identification code 29909.
Informed Consent Statement
Not applicable.
Data Availability Statement
The authors will provide all the raw data on request.
Conflicts of Interest
Author Kiranpreet Kaur is employed by the company Aker, Mearge A. Okubamichael is employed by the company QuantiDoc AS, and Susanne Håvardstun Eide is employed by the company Stiftelsen Industrilaboratoriet. The remaining authors declare that the research was conducted in the absence of any commercial or financial relationships that could be construed as a potential conflict of interest.
References
- Agnalt, A.-L.; Diserud, O.H.; Dunlop, K.M.; Escobar, R.; Fiske, P.; Folkedal, O.; Glover, K.A.; Halvorsen, K.A.T.; Hannisdal, R.; Hindar, K. Risikorapport norsk fiskeoppdrett 2024-Produksjonsdødelighet hos oppdrettsfisk og miljøeffekter av norsk fiskeoppdrett. Rapp. Fra Havforskningen 2024. Available online: https://imr.brage.unit.no/imr-xmlui/bitstream/handle/11250/3127650/RH_2024_04.pdf (accessed on 17 July 2024).
- Walde, C.S.; Bang Jensen, B.; Stormoen, M.; Asche, F.; Misund, B.; Pettersen, J.M. The economic impact of decreased mortality and increased growth associated with preventing, replacing or improving current methods for delousing farmed Atlantic salmon in Norway. Prev. Veter.-Med. 2023, 221, 106062. [Google Scholar] [CrossRef] [PubMed]
- Costello, M. The global economic cost of sea lice to the salmonid farming industry. J. Fish Dis. 2009, 32, 115–118. [Google Scholar] [CrossRef] [PubMed]
- Aaen, S.M.; Helgesen, K.O.; Bakke, M.J.; Kaur, K.; Horsberg, T.E. Drug resistance in sea lice: A threat to salmonid aquaculture. Trends Parasitol. 2015, 31, 72–81. [Google Scholar] [CrossRef] [PubMed]
- Barrett, L.T.; Oppedal, F.; Robinson, N.; Dempster, T. Prevention not cure: A review of methods to avoid sea lice infestations in salmon aquaculture. Rev. Aquac. 2020, 12, 2527–2543. [Google Scholar] [CrossRef]
- Myhre Jensen, E.; Horsberg, T.E.; Sevatdal, S.; Helgesen, K.O. Trends in de-lousing of Norwegian farmed salmon from 2000–2019—Consumption of medicines, salmon louse resistance and non-medicinal control methods. PLoS ONE 2020, 15, e0240894. [Google Scholar] [CrossRef]
- Powell, A.; Treasurer, J.W.; Pooley, C.L.; Keay, A.J.; Lloyd, R.; Imsland, A.K.; Garcia de Leaniz, C. Use of lumpfish for sea-lice control in salmon farming: Challenges and opportunities. Rev. Aquac. 2018, 10, 683–702. [Google Scholar] [CrossRef]
- Misund, B.; Landazuri-Tveteraas, S.; Oglend, A. Tiltak for å Øke Produksjonen av Laks og Ørret i Nordhordland; NORCE Norwegian Research Centre: Bergen, Norway, 2023. [Google Scholar]
- Kaldheim, O.; Nordbotn, S. Quantifying the Economic Impacts of Sea Lice and Sea Lice Mitigation Efforts on Norwegian Salmonid Aquaculture; University of Stavanger: Stavanger, Norway, 2019. [Google Scholar]
- Refstie, S.; Baeverfjord, G.; Seim, R.R.; Elvebø, O. Effects of dietary yeast cell wall β-glucans and MOS on performance, gut health, and salmon lice resistance in Atlantic salmon (Salmo salar) fed sunflower and soybean meal. Aquaculture 2010, 305, 109–116. [Google Scholar] [CrossRef]
- Sweetman, J.W.; Torrecillas, S.; Dimitroglou, A.; Rider, S.; Davies, S.J.; Izquierdo, M.S. Enhancing the natural defences and barrier protection of aquaculture species. Aquac. Res. 2010, 41, 345–355. [Google Scholar] [CrossRef]
- Sutherland, B.J.; Covello, J.M.; Friend, S.E.; Poley, J.D.; Koczka, K.W.; Purcell, S.L.; MacLeod, T.L.; Donovan, B.R.; Pino, J.; González-Vecino, J.L.; et al. Host–parasite transcriptomics during immunostimulant-enhanced rejection of salmon lice (Lepeophtheirus salmonis) by Atlantic salmon (Salmo salar). Facets 2017, 2, 477–495. [Google Scholar] [CrossRef]
- Pittman, K.; Sourd, P.; Ravnøy, B.; Espeland, Ø.; Fiksdal, I.U.; Oen, T.; Pittman, A.; Redmond, K.; Sweetman, J. Novel method for quantifying salmonid mucous cells. J. Fish Dis. 2011, 34, 931–936. [Google Scholar] [CrossRef]
- Pittman, K.; Pittman, A.; Karlson, S.; Cieplinska, T.; Sourd, P.; Redmond, K.; Ravnøy, B.; Sweetman, E. Body site matters: An evaluation and application of a novel histological methodology on the quantification of mucous cells in the skin of A tlantic salmon, Salmo salar L. J. Fish Dis. 2013, 36, 115–127. [Google Scholar] [CrossRef]
- Reverter, M.; Tapissier-Bontemps, N.; Lecchini, D.; Banaigs, B.; Sasal, P. Biological and ecological roles of external fish mucus: A review. Fishes 2018, 3, 41. [Google Scholar] [CrossRef]
- Leclercq, E.; Pontefract, N.; Rawling, M.; Valdenegro, V.; Aasum, E.; Andujar, L.V.; Migaud, H.; Castex, M.; Merrifield, D. Dietary supplementation with a specific mannan-rich yeast parietal fraction enhances the gut and skin mucosal barriers of Atlantic salmon (Salmo salar) and reduces its susceptibility to sea lice (Lepeophtheirus salmonis). Aquaculture 2020, 529, 735701. [Google Scholar] [CrossRef]
- Dang, M.; Pittman, K.; Sonne, C.; Hansson, S.; Bach, L.; Søndergaard, J.; Stride, M.; Nowak, B. Histological mucous cell quantification and mucosal mapping reveal different aspects of mucous cell responses in gills and skin of shorthorn sculpins (Myoxocephalus scorpius). Fish Shellfish. Immunol. 2020, 100, 334–344. [Google Scholar] [CrossRef]
- Hallberg, T.S. Mucosal Responses in Post-Smolt Atlantic Salmon (S. salar) following Salmon Lice (L. salmonis) Infections; The University of Bergen: Bergen, Norway, 2018. [Google Scholar]
- Holm, H.; Santi, N.; Kjøglum, S.; Perisic, N.; Skugor, S.; Evensen, Ø. Difference in skin immune responses to infection with salmon louse (Lepeophtheirus salmonis) in Atlantic salmon (Salmo salar L.) of families selected for resistance and susceptibility. Fish Shellfish. Immunol. 2015, 42, 384–394. [Google Scholar] [CrossRef]
- Sørensen, S.L. Influence of Feed Ingredients and Additives on Mucosal Health with Focus on the Intestine of Atlantic Salmon (Salmo salar). Ph.D. Thesis, Nord University, Bodø, Norway, 2022. [Google Scholar]
- Eilertsen, H.C.; Elvevoll, E.; Giæver, I.H.; Svenning, J.B.; Dalheim, L.; Svalheim, R.A.; Vang, B.; Siikavuopio, S.; Dragøy, R.; Ingebrigtsen, R.A.; et al. Inclusion of photoautotrophic cultivated diatom biomass in salmon feed can deter lice. PLoS ONE 2021, 16, e0255370. [Google Scholar] [CrossRef] [PubMed]
- Spiridonov, V.; Casanova, B. Order euphausiacea dana, 1852. In Treatise on Zoology-Anatomy, Taxonomy, Biology: The Crustacea, Volume 9 Part A; Brill: Boston, MA, USA, 2010; pp. 5–82. [Google Scholar]
- Krafft, B.A.; Macaulay, G.J.; Skaret, G.; Knutsen, T.; Bergstad, O.A.; Lowther, A.; Huse, G.; Fielding, S.; Trathan, P.; Murphy, E. Standing stock of Antarctic krill (Euphausia superba Dana, 1850) (Euphausiacea) in the Southwest Atlantic sector of the Southern Ocean, 2018–2019. J. Crustac. Biol. 2021, 41, ruab046. [Google Scholar] [CrossRef]
- Kaur, K.; Kortner, T.M.; Benitez-Santana, T.; Burri, L. Effects of Antarctic krill products on feed intake, growth performance, fillet quality, and health in salmonids. Aquac. Nutr. 2022, 2022, 3170854. [Google Scholar] [CrossRef]
- Mørkøre, T.; Moreno, H.M.; Borderías, J.; Larsson, T.; Hellberg, H.; Hatlen, B.; Romarheim, O.H.; Ruyter, B.; Lazado, C.C.; Jiménez-Guerrero, R.; et al. Dietary inclusion of Antarctic krill meal during the finishing feed period improves health and fillet quality of Atlantic salmon (Salmo salar L.). Br. J. Nutr. 2020, 124, 418–431. [Google Scholar] [CrossRef]
- Kaur, K.; Krogdahl, Å.; Kortner, T.M. Phosphatidylcholine in Krill Meal and Krill Oil as a Source of Choline for Prevention of Intestinal Steatosis in Atlantic Salmon. Aquac. Res. 2023, 2023, 4001633. [Google Scholar] [CrossRef]
- Kvingedal, R.; Vigen, J.; Nanton, D.; Ruohonen, K.; Kaur, K. Effects of Different Phospholipid Sources on Growth and Gill Health in Atlantic Salmon in Freshwater Pre-Transfer Phase. Animals 2023, 13, 835. [Google Scholar] [CrossRef]
- Team, R.C. RA language and environment for statistical computing, R Foundation for Statistical. Computing 2020. Available online: https://cir.nii.ac.jp/crid/1370298755636824325 (accessed on 17 July 2024).
- Pinheiro, J. nlme: Linear and nonlinear mixed effects models. R Package Version 2011, 3, 1. [Google Scholar]
- Thorarensen, H.; Kubiriza, G.K.; Imsland, A.K. Experimental design and statistical analyses of fish growth studies. Aquaculture 2015, 448, 483–490. [Google Scholar] [CrossRef]
- Voelkl, B.; Altman, N.S.; Forsman, A.; Forstmeier, W.; Gurevitch, J.; Jaric, I.; Karp, N.A.; Kas, M.J.; Schielzeth, H.; Van de Casteele, T.; et al. Reproducibility of animal research in light of biological variation. Nat. Rev. Neurosci. 2020, 21, 384–393. [Google Scholar] [CrossRef]
- Sprague, M.; Desbois, A.P. Fatty acid and lipid class composition in cutaneous mucus of Atlantic salmon, Salmo salar (L.). Aquac. Res. 2021, 52, 6808–6813. [Google Scholar] [CrossRef]
- Albessard, E.; Mayzaud, P.; Cuzin-Roudy, J. Variation of lipid classes among organs of the northern krill Meganyctiphanes norvegica, with respect to reproduction. Comp. Biochem. Physiol. Part A Mol. Integr. Physiol. 2001, 129, 373–390. [Google Scholar] [CrossRef]
- Torrecillas, S.; Montero, D.; Domínguez, D.; Robaina, L.; Izquierdo, M. Skin mucus fatty acid composition of gilthead sea bream (Sparus aurata): A descriptive study in fish fed low and high fish meal diets. Fishes 2019, 4, 15. [Google Scholar] [CrossRef]
- Brinchmann, M.F. Immune relevant molecules identified in the skin mucus of fish using-omics technologies. Mol. Biosyst. 2016, 12, 2056–2063. [Google Scholar] [CrossRef]
- Lowrey, L.; Woodhams, D.C.; Tacchi, L.; Salinas, I. Topographical mapping of the rainbow trout (Oncorhynchus mykiss) microbiome reveals a diverse bacterial community with antifungal properties in the skin. Appl. Environ. Microbiol. 2015, 81, 6915–6925. [Google Scholar] [CrossRef]
- Nimalan, N.; Sørensen, S.L.; Fečkaninová, A.; Koščová, J.; Mudroňová, D.; Gancarčíková, S.; Vatsos, I.N.; Bisa, S.; Kiron, V.; Sørensen, M. Mucosal barrier status in Atlantic salmon fed marine or plant-based diets supplemented with probiotics. Aquaculture 2022, 547, 737516. [Google Scholar]
- Ringø, E.; Zhou, Z.; Olsen, R.; Song, S. Use of chitin and krill in aquaculture–the effect on gut microbiota and the immune system: A review. Aquac. Nutr. 2012, 18, 117–131. [Google Scholar] [CrossRef]
- Timmerhaus, G.; Lazado, C.C.; Cabillon, N.A.R.; Reiten, B.K.M.; Johansen, L.-H. The optimum velocity for Atlantic salmon post-smolts in RAS is a compromise between muscle growth and fish welfare. Aquaculture 2021, 532, 736076. [Google Scholar] [CrossRef]
- Rydevik, M. Epidermis thickness and secondary sexual characters in mature male and immature Baltic salmon, Salmo salar L., parr: Seasonal variations and effects of castration and androgen treatment. J. Fish Biol. 1988, 33, 941–944. [Google Scholar] [CrossRef]
- Karlsen, C.; Ytteborg, E.; Timmerhaus, G.; Høst, V.; Handeland, S.; Jørgensen, S.M.; Krasnov, A. Atlantic salmon skin barrier functions gradually enhance after seawater transfer. Sci. Rep. 2018, 8, 9510. [Google Scholar] [CrossRef]
- Umasuthan, N.; Xue, X.; Caballero-Solares, A.; Kumar, S.; Westcott, J.D.; Chen, Z.; Fast, M.D.; Skugor, S.; Nowak, B.F.; Taylor, R.G.; et al. Transcriptomic profiling in fins of Atlantic salmon parasitized with sea lice: Evidence for an early imbalance between chalimus-induced immunomodulation and the host’s defense response. Int. J. Mol. Sci. 2020, 21, 2417. [Google Scholar] [CrossRef]
- Núñez-Acuña, G.; Gonçalves, A.T.; Valenzuela-Muñoz, V.; Pino-Marambio, J.; Wadsworth, S.; Gallardo-Escárate, C. Transcriptome immunomodulation of in-feed additives in Atlantic salmon Salmo salar infested with sea lice Caligus rogercresseyi. Fish Shellfish. Immunol. 2015, 47, 450–460. [Google Scholar] [CrossRef]
- Krogdahl, Å.; Ahlstrom, Ø.; Burri, L.; Nordrum, S.; Dolan, L.C.; Bakke, A.M.; Penn, M.H. Antarctic krill meal as an alternative protein source in pet foods evaluated in mink (Neovison vison). II. Growth. Open Access Anim. Physiol. 2015, 7, 43–56. [Google Scholar]
- Olsen, R.; Suontama, J.; Langmyhr, E.; Mundheim, H.; Ringø, E.; Melle, W.; Malde, M.; Hemre, G.I. The replacement of fish meal with Antarctic krill, Euphausia superba in diets for Atlantic salmon, Salmo salar. Aquac. Nutr. 2006, 12, 280–290. [Google Scholar] [CrossRef]
- Hansen, J.Ø.; Penn, M.; Øverland, M.; Shearer, K.D.; Krogdahl, Å.; Mydland, L.T.; Storebakken, T. High inclusion of partially deshelled and whole krill meals in diets for Atlantic salmon (Salmo salar). Aquaculture 2010, 310, 164–172. [Google Scholar] [CrossRef]
- Hatlen, B.; Berge, K.; Nordrum, S.; Johnsen, K.; Kolstad, K.; Mørkøre, T. The effect of low inclusion levels of A ntarctic krill (Euphausia superba) meal on growth performance, apparent digestibility and slaughter quality of A tlantic salmon (Salmo salar). Aquac. Nutr. 2017, 23, 721–729. [Google Scholar] [CrossRef]
- Kaur, K.; Knudsen, D.; Keitel-Gröner, F.; Lagos, L.; Burri, L.; Berge, K. Krill Meal Improves Growth and Reduces Mortality in Atlantic Salmon Smolts after Seawater Transfer; Aker BioMarine: Oslo, Norway, 2024. [Google Scholar]
Disclaimer/Publisher’s Note: The statements, opinions and data contained in all publications are solely those of the individual author(s) and contributor(s) and not of MDPI and/or the editor(s). MDPI and/or the editor(s) disclaim responsibility for any injury to people or property resulting from any ideas, methods, instructions or products referred to in the content. |
© 2024 by the authors. Licensee MDPI, Basel, Switzerland. This article is an open access article distributed under the terms and conditions of the Creative Commons Attribution (CC BY) license (https://creativecommons.org/licenses/by/4.0/).








