Next Article in Journal
Inception of Constructional Submarine Conduit by Asymmetry Generated by Turbidity Current
Next Article in Special Issue
Numerical Analysis of Leading-Edge Roughness Effects on the Aerodynamic Performance of a Thick Wind Turbine Airfoil
Previous Article in Journal
Combustion Control of Ship’s Oil-Fired Boilers Based on Prediction of Flame Images
Previous Article in Special Issue
Utilizing WFSim to Investigate the Impact of Optimal Wind Farm Layout and Inter-Field Wake on Average Power
 
 
Font Type:
Arial Georgia Verdana
Font Size:
Aa Aa Aa
Line Spacing:
Column Width:
Background:
Article

Research on the Power Output of Different Floating Wind Farms Considering the Wake Effect

1
School of Power and Energy, Northwestern Polytechnical University, Xi’an 710129, China
2
Goldwind Science & Technology Co., Ltd., Urumqi 830026, China
3
The State Key Laboratory of Advanced Design and Manufacturing for Vehicle Body, Hunan University, Changsha 410082, China
4
School of Electrical Engineering, Shenyang University of Technology, Shenyang 110870, China
*
Author to whom correspondence should be addressed.
J. Mar. Sci. Eng. 2024, 12(9), 1475; https://doi.org/10.3390/jmse12091475
Submission received: 16 July 2024 / Revised: 20 August 2024 / Accepted: 21 August 2024 / Published: 24 August 2024
(This article belongs to the Special Issue Advances in Offshore Wind—2nd Edition)

Abstract

For floating wind turbines, one of the most interesting and challenging issues is that the movement of the rotor is strongly related to its floating platform, which results in corresponding variations in the wake characteristics of the turbine. Because the aerodynamic efficiency of the downstream turbines is affected by the wake characteristics, the power output will consequently vary depending on the different types of floating wind turbines and floating wind farms used. In this study, the rotor movement, wake characteristics, and corresponding wind farm power output are analyzed using a numerical method for three typical floating wind turbines: the semisubmersible type, spar buoy type, and tension leg platform type with a 5 MW configuration. A fixed-bottom monopile wind turbine is adopted as a benchmark. The simulation results show that of the three floating wind turbines, the rotor position and wake center are most dispersed in the case of the spar buoy type, and its wake also has the lowest impact on downstream wind turbines. Additionally, the power output of the corresponding spar buoy type wind farm is also the highest at different wind speeds, followed by the semisubmersible type, tension leg platform type, and then the fixed-bottom type. In particular, at low wind speeds, the wake effects differ significantly among the various types of wind turbines.

1. Introduction

Considering the gradual saturation of land and offshore areas available for wind power development, together with the excellent wind resources of the deep sea, countries around the world have adopted floating wind turbines adapted to the deeper sea environments, representing the future direction of wind power technology development [1]. Compared with land and offshore areas, the wind resources of the deep sea have several advantages, such as smoother sea level along with weaker wind shear phenomenon, meaning that the inflow wind speed of the rotor is more uniform. There is also higher wind speed, contributing to more wind energy being captured by the rotor. Moreover, the distance far from the coast results in much fewer restrictions related to visual and noise considerations [2,3].
It has been well established that, in a wind farm, the power output and load of downstream turbines are affected by the wake of upstream turbines [4,5]. In most studies, multiple wind turbines are generally considered when evaluating the energy output of a wind farm [6]. González-Longatt et al. [7] pointed out that the power output of a wind farm can be considerably improved by considering the wake effect when planning the geometric distribution of wind turbines, both for steady-state and dynamic cases. In their optimization of floating wind farms, Rodrigues et al. [8] achieved up to 4.4% higher wind farm efficiency by reducing wake losses. De-Prada-Gil et al. [9] optimized wind power plant generation by reducing the wake effect for onshore or fixed-base offshore wind farms, with an increase from 1.86% to 6.24% in the annual energy captured by the wind power plant. Archer et al. [10] examined the performance of different wake models for fixed-base offshore wind farms. To account for the more complex cases potentially encountered by real wind turbines, Wei et al. [11] considered the yaw conditions and simulated the wake effects for multiple wind turbines.
Two widely accepted reasons for the wake effect on the power output of a wind turbine/farm are the variations in inflow speed and turbulence intensity of downstream turbines in the wake of upstream turbines. Mirsane and Torabi [12] highlighted the effects of wake interaction from the perspective of turbine inflow speed. Dong et al. [13] investigated the wake of a wind farm using an actuator disk model combined with large-eddy simulation, and their results showed that even at 55 rotor diameters downstream of the wind farm, only 95% of the velocity in the wake could be recovered, indicating that the wake effect must be fully considered. Astolfi et al. [14] evaluated the wake effect using a data-driven method based on real-world test data for onshore wind turbines, revealing that the turbulence intensity in the wake was prominent for the wake-induced power loss in the cases of low rotational speed. Furthermore, both wind direction and turbulence intensity should be considered to accurately predict the performance of wind turbines within wakes. Zheng et al. [15] measured the wake characteristics of a model wind turbine, and the data showed the wake patterns were affected by the inflow, rotor-generated turbulence, and wake shear layer. Uchida and Gagnon [16] studied the wake characteristics of an isolated model wind turbine considering the effects of continuously changing inlet wind direction, observing a faster recovery of the mean velocity in the wake (for example, 93% of streamwise mean velocity at 10 rotor diameters downstream of the wind turbine). These previous studies have allowed progress in comprehensively understanding the effects of wake on the power output of a wind turbine and a wind farm, along with the inherent wake characteristics. However, most existing results were obtained for isolated onshore or fixed-base offshore wind turbines or wind farms.
For future floating wind turbines and wind farms, the wake effect will be much more complex due to the coupling of aerodynamics as well as the hydrodynamics and structural dynamics of a turbine, thus greatly increasing the complexity associated with resolving this problem. For instance, ignoring the complex movements of floating wind turbines and the differences between the various types of floating platforms, Yuan Fang et al. [17] numerically studied the pure surge motion of a scaled floating wind turbine and its impacts on the rotor aerodynamics and wake characteristics, and the results demonstrated that the rotor’s aerodynamic performance was remarkably changed due to surge motion, even with small motions, and the wake-recovery process was also affected greatly by the surge motion.
In reality, the floating platform has six additional degrees of freedom (DOF), and the movement of the rotor is largely related to the floating platform. Therefore, it is suggested that the wake of the different types of floating wind turbines will show disparate characteristics. At the same time, the downstream turbines’ and wind farm’s power output under the wake effects for the corresponding floating wind turbines will display an obvious difference. Nevertheless, investigations into this problem are quite rare, resulting in a very limited understanding of the differences in the wake characteristics and the power output between the various types of floating wind turbines, even under the same environmental conditions.
Concerning the above-mentioned knowledge gap, this paper investigates and compares the structural movements, the resulting characterizations of wake, and the resulting power output of three typical floating wind turbines and the corresponding floating wind farms. It is worth noting that, for the purpose of representativeness, semisubmersible (Semi), spar buoy (Spar), and tension leg platform (TLP) floating platforms are adopted, which are the dominant types of floating wind turbines [18]. In addition, a fixed-bottom wind turbine with a monopile (Mnpl) configuration is used as a benchmark. In this study, the rotor motions of the different types of floating wind turbines were first analyzed, followed by the characteristics of the wake, and finally, the impact of the wake effect on the power output of wind turbines and wind farms.
The remainder of this paper is structured as follows: In Section 2, the numerical tools and models to perform simulations are described, including the FAST.Farm tool, three types of floating wind turbines, and the wind farm layout. In Section 3, the case conditions concerning wind speed, turbulence intensity, and sea conditions are defined. In Section 4, the computed results are compared and discussed in terms of rotor movement, wake characteristics, and power output with the purpose of obtaining a deeper insight into the relationships between the three factors for different floating wind farms. Finally, the conclusions are given in Section 5.

2. Simulation Tools and Models

2.1. Numerical Tools

For the simulations, the FAST.Farm code [19], developed by the National Renewable Energy Laboratory (NREL), was utilized to accurately predict the power output and loads of wind turbines while maintaining a relatively low computational cost. FAST.Farm uses OpenFAST to model the aero-hydro-servo-elastics of distinct turbines, relying on some principles of dynamic wake meandering (DWM) modeling. FAST.Farm is composed of OpenFAST (F), super controller (SC), wake dynamics (WD), and ambient wind and array effects (AWAEs). Included among the broad applications of FAST.Farm for wind farms are increasing the power output, reducing the load of wind turbines, providing a field-level control platform, improving the manipulability, providing location reference for the construction of new wind farms, and providing ideas for wind turbine design to be used in different environments [20]. After verifying that there are similar results for FAST.Farm and other wind farm simulation tools, such as Simulator fOr Wind Farm Applications (SOWFA) [21], it was considered that FAST.Farm correctly reflects certain characteristics of wind farms [22].

2.2. Wind Turbine Model

In this paper, three types of floating turbines and one kind of fixed-bottom wind turbine based on the NREL 5-MW wind turbine configuration are subjected to comparative analysis [23]. The basic parameters of the NREL 5-MW wind turbine are shown in Table 1, and the structural concepts of the three types of floating wind turbines are shown in Figure 1. The rotor radius of the 5 MW wind turbine is about 63 m. In this study, the hub height of the reference wind turbine is set to 90 m with the aim of reducing the overturning moment as much as possible during normal operations. For extreme working conditions that occur once in 50 years, the blade maximum deformation amplitude is 15 m; consequently, an air gap of about 30 m remains between adjacent blades. A 2.5° upwind pre-cone is chosen for the baseline wind turbine to represent the actual pre-cone amount.
The Semi [24] is a semisubmersible model created for the University of Maine’s DeepCwind project. It consists of a main column connected to the tower and three offset columns connected to the main column. The total platform draft is 20 m. The catenary of the mooring system is connected near the bottom of each offset column. The floating foundation of this design is relatively large in terms of volume and weight.
The Spar [25] is a platform that was developed within the Offshore Code Comparison Collaboration (OC3) project. The Spar system has three notable features: a very deep draft, a long and thin spar buoy, and three catenary lines. The three catenaries are usually distributed in triangles to increase the yaw stiffness of the floating platform.
MIT/NREL TLP [26] (referred to hereafter as TLP) is a platform derived from modifications to a tension leg platform design. Its main structure is cylindrical, the ballast tank is filled with concrete, and the mooring system consists of four pairs of vertical steel bars. The concrete ballast and the mooring system jointly ensure the stability of the floating platform. Even when there is no mooring system, the platform can remain stable within a certain range.

2.3. Wind Farm Model

The model wind farm is shown in Figure 2. For this study, a line-like arrangement of wind turbines in the wind farm is selected to ensure that the downstream turbine is completely within the wake of the upstream units. This means the wake effect would generally be more significant than for a staggered arrangement. This feature is preferred given the purposes of this investigation. In detail, the wind farm consists of nine wind turbines lined up in a row, which is also defined as the inflow direction. In Figure 2, T1 to T9 represent the first to the ninth wind turbine in the wind farm layout, respectively. According to the previous results and engineering applications, the distance of eight diameters (8D) of the rotor between adjacent two turbines will generally allow the wake to recover free-flow velocity, which has little impact on the power output of the downstream wind turbine [4]. Therefore, the distance between the adjacent turbines is fixed to 8D. To study the influence of wake on more downstream wind turbines in depth, only a 1 × 9 form layout was used for the wind farm. Similarly to Reference [27], the spatial scope of the entire wind farm in this simulation is 19,000 m × 1500 m × 480 m.

2.4. Power Output Model

The power output of variable-pitch wind turbines is affected by many factors, including the pitch angle, which mainly affects the wind energy utilization coefficient; the yaw angle and the inclination of the wind turbine affect the swept area; the altitude affects the air density; and wake and environmental wind mainly affect wind speed. The power output of a single wind turbine can be calculated according to Equation (1):
P = 1 2 C P ρ A D V
where CP is the wind power coefficient, ρ represents the air density, AD denotes the swept area of the wind wheel, and V signifies the wind speed at the center of the hub.
The total power generation of a wind farm is the summary of the output of each unit in the field [28], as depicted in Equation (2).
P w i n d f a r m = i = 1 N T P i
where Pi indicates the output of the i-th unit in the wind farm, NT is the total number of units in the wind farm, and Pwindfarm means the total power output of the wind farm.

3. Case Conditions

3.1. Inflow Wind

Since the main focus of this study is the wake characteristics of offshore floating wind turbines and the wake effect on power output, the wind conditions are set according to the normal turbulence model (NTM), and the wind turbine level is IIB. The corresponding turbulence reference intensity Iref under this level is 0.14, together with the sea shear coefficient α of 0.14. The wind speed covers a wide range from 9 m/s to 20 m/s.
According to the Wind Energy Handbook [29], in the absence of site data for calculating turbulence, the standard deviation of turbulence σ1 can be estimated using the roughness parameter z0. As shown in Equations (3) and (4), the turbulence intensity (TI) can be obtained from the turbulence standard deviation and the average wind speed at the height of the hub.
z 0 = A c g [ k U h u b ln ( z h u b / z 0 ) ] 2
σ 1 = 1 ln ( z h u b / z 0 ) + 1.28 × 1.44 × I ref U h u b
where g is the acceleration of gravity in m / s 2 , k represents the von Karman constant with a value of 0.4, Ac signifies the Charnock constant (for the open sea, the value is 0.011), Uhub denotes the wind speed at the height of the hub, zhub suggests the height of the hub center, and z0 is the roughness parameter.
Once the wind speed and turbulence intensity are determined, the wind data file can be generated by Turbsim [30].

3.2. Sea Conditions

The sea conditions are based on NREL data, which cover 13-year wind and wave meteorological statistics from a reference station in northeastern Scotland from BMT ARGOSS [31]. In Figure 3, the statistical relationship among wave height, wave peak period, and the wind speed at the hub height is demonstrated [31]. It can be seen that the wave height and wave peak period change with the increment of wind speed. In view of this fact, the Pierson–Moskowitz spectrum is employed to generate a single-directional wave along the direction of the turbine alignment.

3.3. Studied Cases

The studied cases are briefly summarized in Table 2. The simulations are performed for a wind speed range from 9 m/s to 20 m/s, with an interval of 1 m/s for four types of offshore wind turbines, i.e., the fixed-bottom Mnpl type and the floating Semi, Spar, and TLP types. Each simulation runs for 6000 s. In order to obtain stable and reliable data, there is an initial stage where data earlier than 2000 s are discarded. For the discretization of wake regions, each rotor includes 136 wake planes, and each wake plane is further discretized into 44 nodes with a distance of 5 m along the radial direction. The wind farm is divided into two domains with different spatial and temporal resolutions to achieve a sufficient volume of accurate results for relatively low computational cost [19,20]. The low-resolution domain includes the entire wind farm and mainly solves the problem of wake characteristics. The spatial resolution of this domain is 10 m, and the time resolution is 3 s. The high-resolution domain contains each individual wind turbine, and it is mainly used for the analysis of an individual wind turbine. In this domain, the spatial resolution of these domains is 5 m, and the time resolution is 0.5 s.
As is noted in Section 2.3, for the purpose of simulating the practical distributions of wind turbines in a wind farm while generating a significant wake effect, a line-like arrangement of wind turbines in the wind farm is investigated by lining up nine turbines in a row (Figure 2). Furthermore, a constant inflow direction along the direction of the row of turbines (i.e., X direction) is adopted for the sake of typicality.

4. Results and Discussion

In this section, rotor motion, wake dispersion, wind speeds within the wake region, and the power output of wind turbines and wind farms are discussed according to causality. Due to the huge amount of time series data, only representative data at four wind speeds of 10 m/s, 13 m/s, 16 m/s, and 19 m/s are selected for analysis regarding the wind turbine movement and wake characteristics. For the power output of different types of wind turbines, a histogram is used to analyze the time series data under wind speeds of 9–20 m/s.

4.1. Rotor Movement

4.1.1. Distributions of the Center Position of Rotor

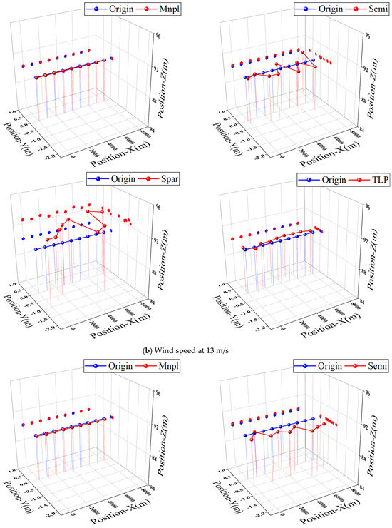
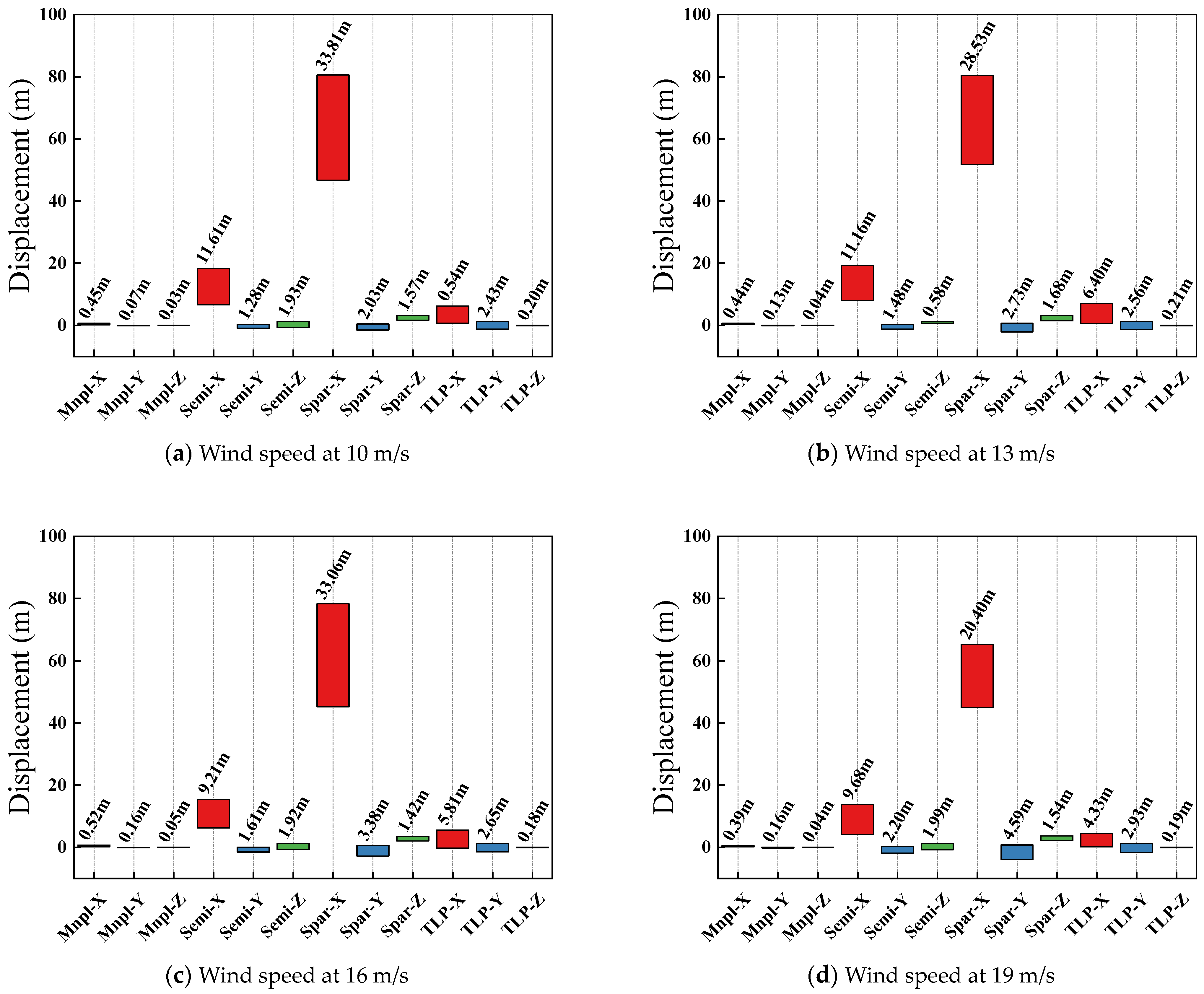
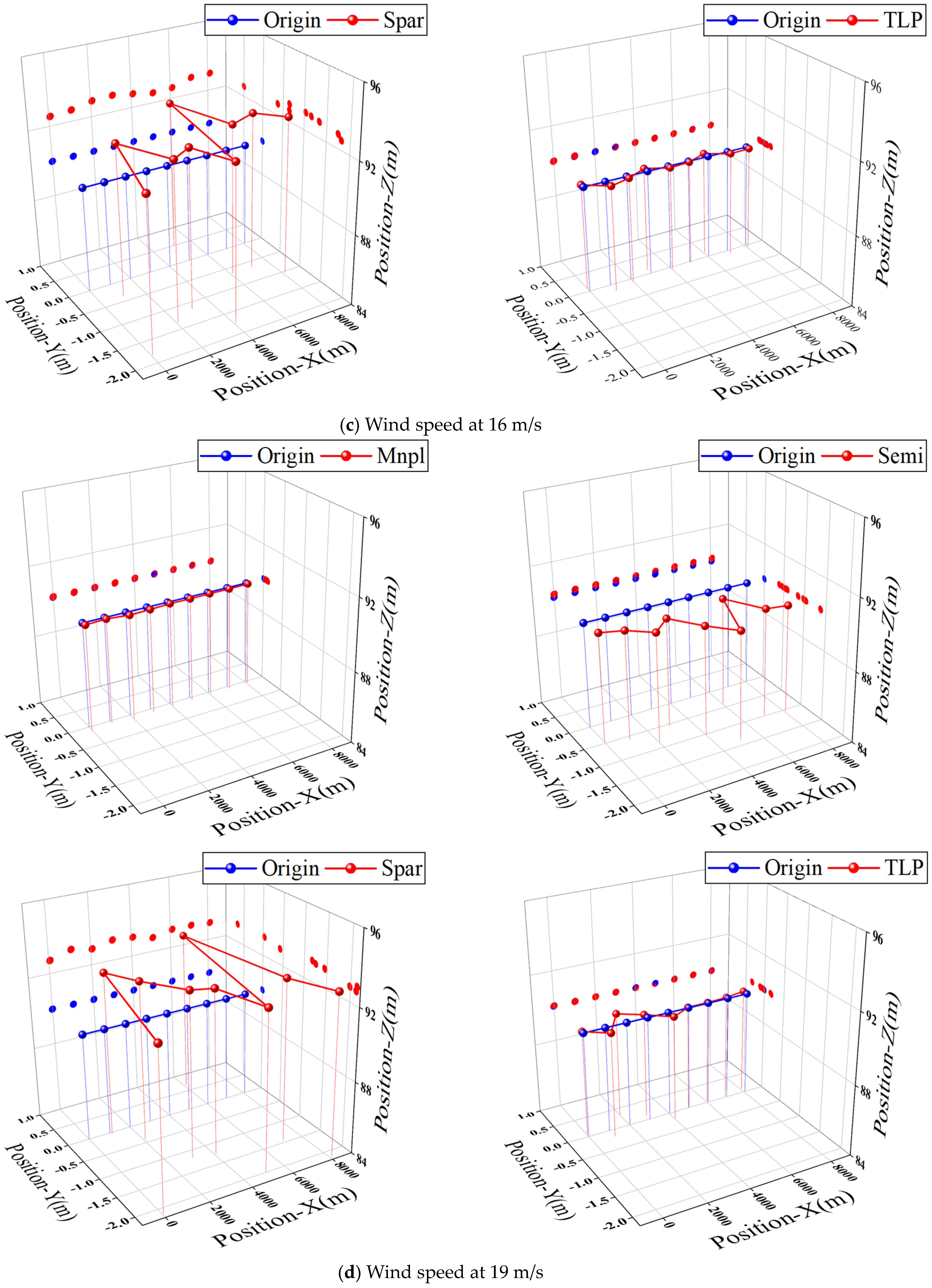
Figure 4 shows the distribution of the rotor positions of three types of floating and fixed-bottom wind turbines at the wind speeds of 10 m/s, 13 m/s, 16 m/s, and 19 m/s. It can be seen that under different wind speeds, the center positions of the rotors of the Spar- and Semi-type wind turbines are more scattered. From the projection on the XZ plane, we can see that the center position of the type of Spar wind turbine has the largest distribution range in the X-axis direction, while the Semi wind turbine is second. In the direction of the Z-axis, the conclusion is the opposite. On the YZ plane, the center positions of the rotor of Spar wind turbines at different wind speeds are most dispersed in the Y-axis, the TLP is second, and the Semi is third. Taking the distribution range of the Y-axis at a wind speed of 19 m/s as an example, the rotor displacement range is 4.59 m for the Spar-type wind turbine and 63.73% (2.93 m) of the Spar-type for the TLP-type and 47.92% of the Spar-type (2.20 m) for the Semi-type. The center positions of the rotors of the TLP-type wind turbines are only scattered in the Y-axis direction, and with the change in wind speed, the distribution range remains basically unchanged. This is due to the small difference in the Y-axis component of the turbulence intensity at the corresponding wind speed and its special mooring system. The Mnpl-type wind turbine is used as a benchmark, for which is found that the center of the rotor position hardly changes.
We can find some consistent conclusions with the studies by researchers from the University of Massachusetts and the National Renewable Energy Laboratory of the USA. They used the high-fidelity simulator—SOWFA—to study downstream wake characteristics of the NREL 5 MW reference turbine mounted on the Spar and Semi platform for several different metocean conditions. In their studies, the surge movement displacement of floating wind turbines is much larger than that in other directions including sway and heavy. The surge, sway, and heavy movements correspond, respectively, to the X, Y, and Z in our paper, and this result is exactly the same as ours. At the same time, we can also find the same law with their studies that the Spar-type floating wind turbine’s displacement is larger than the Semi-type on surge movement direction, and the sway and heavy movement of Spar- and Semi-type floating wind turbine is smaller than the surge movement and their values are same basically [32,33].

4.1.2. Instantaneous Position of Rotor Center

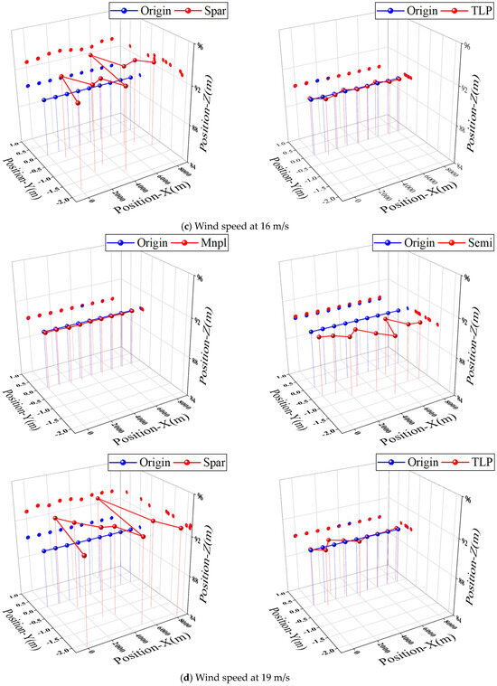
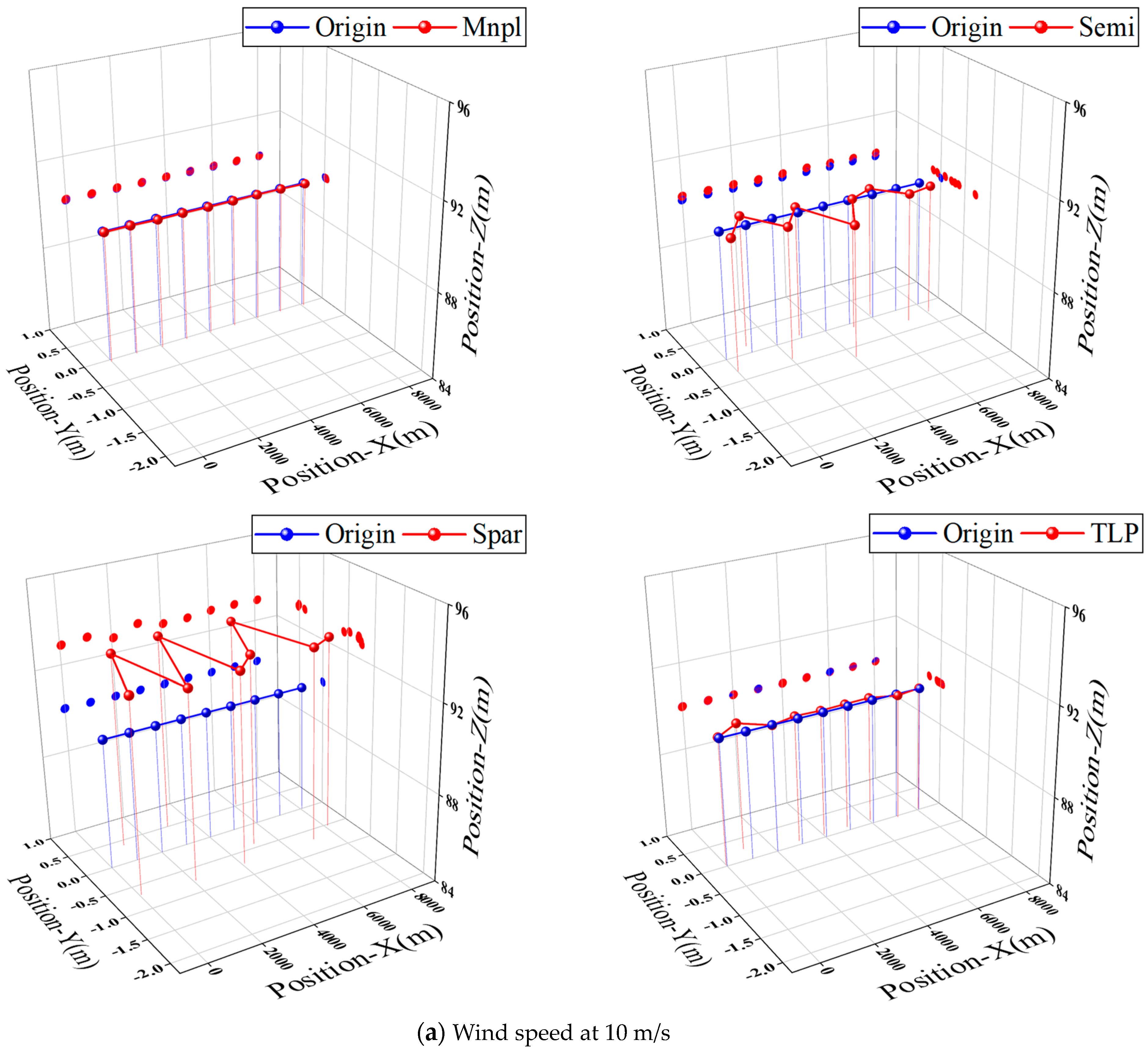
The changes in the position of the rotor for the different types of wind turbines are more intuitively presented as three-dimensional trajectory diagrams in Figure 5, which demonstrate the center positions of the rotor of T1 to T9 at different wind speeds for t = 4000 s as a representative.
As the results show, of the four working conditions, the Y-axis position fluctuation range of the wind turbines in the Spar-type wind farm is the largest, followed by the Semi-type. In the vertical direction, Spar and Semi wind turbines have similar motion ranges. The TLP-type wind turbine only has a small range of movement along the Z-axis direction, and there is almost no movement in the vertical direction due to the tensioned mooring system and excess buoyancy. When t = 4000 s, the displacement range of the rotor in the Spar-type wind farm on the Y-axis increases most obviously with the increase in wind speed; the maximum ranges of T1 to T9 are, respectively, 1.29 m, 1.68 m, 2.24 m, and 2.81 m at the four wind speeds. The displacement range of the wind turbines on the Y-axis of the Semi-type wind farm first increases and then decreases. The displacement range of the rotor in the TLP-type wind farm on the Y-axis remains basically unchanged with the increase in wind speed, which is basically consistent with the conclusion of the rotor center position distribution diagram in Section 4.1.1.
In addition, the results also indicate that floating wind turbine component loads will vary for different platforms. Therefore, understanding and utilizing the load characteristics of floating wind turbines is beneficial for their operation and control.

4.1.3. Swept Area of Rotor

It can be seen from Equation (1) that the energy captured by a wind turbine is related not only to external environmental factors, such as wind speed and air density, but also a factor related to the wind turbine itself—the swept area. For fixed-bottom wind turbines, the actual swept area of the rotor mainly depends on the yaw angle. Since the floating wind turbine platform can move within a certain range, the resulting inclination of the wind turbine changes the effective sweep area of the rotor. Therefore, for floating wind turbines, the factors that affect the swept area of the rotor include the yaw angle and the degree of inclination. For floating wind turbines and wind farms, it is, thus, of great importance to evaluate the swept area of the rotor to ensure the precise prediction of power output.
A wind speed of 10 m/s is lower than the rated wind speed of the wind turbine. According to the wind energy manual, the wind turbine is operating in the maximum wind power tracking area at this time, and the pitch angle is 0° [22,32]. Meanwhile, the thrust of the turbine in the direction of incoming flow is proportional to the square of the wind speed. Figure 6 depicts the swept area of rotors at four typical wind speeds. It can be seen from Figure 6a that, of the nine turbines in this farm, the wind speed is the fastest at T1, the thrust of its rotor is also the largest, the degree of tilt is the most severe, and the swept area of the rotor is the smallest, with an average value of approximately 12,423 m2. Turbines T2 to T9 are affected by the wake, but the energy exchange between the free-flow area and the wake area reduces the wind speed difference in the downstream wind. Similar thrusts are acting on turbines T2 to T9; therefore, the inclination degrees of these turbines are similar. As a consequence, the swept areas of these wind turbines are also similar, with an average value of about 12,443 m2, 20 m2 larger than that of T1.
For the wind speeds of 13 m/s, 16 m/s, and 19 m/s, which are higher than the rated wind speed of the wind turbine, the pitch angle of some turbines will change. Meanwhile, the thrust of the wind turbine is affected by both the wind speed and the thrust coefficient. The overall trend is that the swept area of the rotor is gradually reduced from upstream to downstream, and the difference among T1 to T9 is gradually diminished with increasing wind speed. Moreover, as the wind speed increases, the disparity in the swept area between the four types of wind turbines also decreases.

4.2. Wake Characteristics and Wake Velocity Loss

The degree of dispersion of the wake center directly reflects the intensity of the energy exchange between the wake and the free-flow region. The more dispersed the wake’s center position, the stronger the energy exchange and the shorter the wake region recovery time. Wake radial velocity loss can be used to more intuitively judge the degree of wake loss. Therefore, the impacts of the wake effect on the power output can be more accurately assessed using wake characteristics and wake radial velocity loss. At the same time, the wind speeds of the three types of floating and fixed-bottom wind farms, including wake and rotor movement at the center of the rotor, have been verified.

4.2.1. Time Series Date of the Center Position of the Wake

Figure 7 shows the time series data of the wake center position at distances of 1D to 7D (number signifies multiple, and ‘D’ is the ‘diameter of the rotor’) downstream of T1 in the four types of wind farms. It can be seen that under four working conditions, the wake centers at different distances downstream of the Spar-type wind turbine are most dispersed in the vertical direction, followed by the Semi-type. The center positions of the TLP-type and Mnpl-type wind turbines have similar degrees of dispersion, which is consistent with the degree of dispersion of the center position of the rotor shown in Section 4.1.1. The impact of the wake is mostly represented by 7D, which is closest to the downstream wind turbine in terms of position [33]. Therefore, the vertical distribution range of the wake center at the position of 7D is quantitatively analyzed. The results show that the center distribution range of the wake is 122.4 m for the Spar-type wind turbine, and the ranges of the Semi-type and TLP-type are about 93.86% (114.89 m) and 86.63% (106.03 m), respectively, for the Spar-type. For the fixed-bottom Mnpl-type, the center distribution range of the wake is 106.35 m, similar to that of the TLP-type. As the wind speed increases, the vertical distribution range of the wake remains basically unchanged; however, the overall height of the wake decreases. In the Y-axis direction, the distribution ranges of the wake center at different downstream positions are roughly identical for the four types of wind turbines and expand along with the increase in wind speed.
The results can be verified by the study that focuses on the large eddy simulations of different floating wind turbines’ wakes. That study used a simulation tool—SOWFA—to carry out these simulations. And, we can obtain an intuitive conclusion that the floating-turbine wakes are deflected upwards and more decentralized compared to the fixed-turbine wakes from Figure 8 in that study. The spar wake center is deflected upward more than the semi wake center [33]. The above results can be obtained from Figure 7 in our paper. It can thus be verified that our simulation calculations here are reliable.
Table 3 provides detailed data on the specific area encompassing the region created by the dispersion of the center of the wake at 7D downstream of T1. As can be seen, the results are similar to the 3D scatterplot shown in Figure 7.

4.2.2. Axial Wake Velocity Loss

The radial profiles of the azimuth and temporal averages of the axial wake deficits in the meandering frame of reference from 1D to 7D downstream of each turbine in 8D intervals are shown in Figure 8. In the plots, ‘R’ and ‘r’ represent the radius of the rotor and the distance from the center of the rotor to the blade tip, respectively. The minimum value r/R of 0 suggests the blade root, and the maximum value of 1 notifies the blade tip. The abscissa is the lost wind speed relative to inflow wind speed. In order to present clearer information in each subgraph, we divide the representation from half the distance of the blade, but the horizontal ranges of the upper and lower graphs in 1D, 3D, 5D, and 7D are the same. It can be seen that in most cases, the most serious wake speed loss is observed in the center of the rotor, and speed loss is gradually mitigated along the blades. This is because at the wake boundary, the energy exchange between the wake region and the free-flow region is the most direct, and the speed recovery is the fastest. As the wind speed increases, the magnitude of wake speed loss decreases. Taking the wind turbine center of an Mnpl-type wind turbine as an example, at 10 m/s, the speed loss at the center of the rotor is about 4 m/s. When the wind speed is 19 m/s, the speed loss is only 60% of that when the ambient wind speed is 10 m/s. For the case of a wind speed of 19 m/s, the wake loss curve is steeper when measured at downstream 7D than at downstream 1D, showing that as the downstream distance increases, the wake loss at different positions in the radial direction becomes similar. From the perspective of the effects caused by wind turbine types, the wake loss difference in the various turbines is minute. Overall, the wake loss of the Spar-type wind turbines is the lowest, followed by the Semi-type. The wake loss curves of the TLP-type and Mnpl-type wind turbines are basically the same.

4.2.3. Average Wind Speed of the Center of Rotor in the Wake Region

At the ambient wind speeds of 10 m/s, 13 m/s, 16 m/s, and 19 m/s, the wind speed curves of the three types of floating and fixed-bottom wind farms, including the wake and rotor movement at the center of the rotor, are shown in Figure 9.
Based on the principle of the wake effect, the wind speed at the center of the wind turbine rotor should gradually decrease from upstream to downstream. This effect is confirmed by the trend in decreasing wind speeds at the center of the rotors of the different types of wind turbines shown in Figure 9. In Figure 9a and Figure 9b, at 10 m/s and 13 m/s, respectively, the wind speeds of the four types of wind turbines are clearly distinguished. It can be seen from the data that the wind speed at the center of the hub is significantly higher in the Spar-type wind farm than in the other wind farms. The Semi wind farm is second, followed by the TLP. Due to the scattered distributions of the center positions of the rotors of the Spar- and Semi-type wind turbines, there is a stronger energy exchange between the wake and the free flow. Hence, there is faster recovery of wake loss; that is, the wind speeds are generally higher at different downstream locations than for the TLP and Mnpl wind turbine types. Since the wind speeds of 16 m/s and 19 m/s (Figure 9c and Figure 9d) are much higher than the rated wind speed, the wind speeds at different positions in the four kinds of wind farms are similar, and the wake effects are not obvious.
One study paying attention to the wake characteristics of floating offshore wind turbines under surge motion has conclusions consistent with our paper. That study applies different frequencies and amplitudes’ surge motion including six cases to investigate the wake characteristic and velocity loss of floating wind turbines. From that study’s cloud diagram (computing) of Figure 8 and Figure 9, we can conclude that the wake velocity loss is lower than that of the bottom-fixed wind turbine under frequency or amplitude surge movement. In our paper, we can find the same result the wind speed in the wake region of the floating wind turbine is higher than that of the Mnpl-type wind turbine. Although we adopted three kinds of floating platforms and a series of wind and wave conditions, ultimately, that difference was only reflected in the different frequencies and amplitudes’ surge motion. From Figure 9 in our paper, we can find that the wake velocity in the downstream location of the floating wind turbine is higher; particularly, the difference in wake velocity is more obvious around the wind turbine’s rated wind speed [34].

4.3. Power Output

4.3.1. The Power Output of Individual Wind Turbines

As was concluded in Section 4.1 and Section 4.2, the center position of the wakes of the Spar-type wind turbines is distributed in a relatively scattered range such that the wake is relatively dispersed. This results in the fact that there is more direct contact between the wake area and the free-flow area, and thus there is a more sufficient energy exchange. Therefore, the wake speed recovery of the Spar-type wind turbine is faster and more effective, and the downstream turbines are also less impacted by the wake effect, contributing to a higher power output. The wake is less dispersed for the Semi-type than Spar-type wind turbines, and the same applies to the wake effect on their downstream turbines. As for the TLP-type wind turbines, due to the special mooring system, there is minimal displacement of the rotor in the Z-axis direction, and a large range of movement is observed only in the Y-axis direction. It can also be seen from the distributions of the center position of the wind turbines that the wake center distribution is similar for the TLP-type and Mnpl wind turbines. Their wake loss curves are also similar. The power output of downstream wind turbines is greatly affected by the wake effect.
Figure 10 shows a comparison of output for wind turbines at various positions (i.e., T1 to T9) under different wind speeds ranging from 9 m/s to 20 m/s for the four types of wind farms. It can be seen that when examining the power output of T2–T9, the Spar-type and Semi-type wind turbines are all higher than that of the TLP-type and Mnpl-type wind turbines at all the wind speeds. This is especially true at the low wind speed range as shown in Figure 10a. Taking the T7 turbine at a wind speed of 12 m/s as an example, the power output of the Spar-type wind turbine is 3528 kW, which is 127 kW higher than the Semi-type and 234 kW higher than the TLP-type. Due to the tilt of the floating wind turbines, the Semi, Spar, and TLP types of wind turbines at T1 generate less power than the Mnpl wind turbine under certain conditions. For example, at a wind speed of 15 m/s (seen in Figure 10b), the sweeping area of the Mnpl wind turbine is larger than that of the three other floating wind turbines because the fixed-bottom wind turbine is not tilted. On the other hand, the T1 turbine is not affected by wake; thus, the ambient wind speed in the center of the hub is the same for the four kinds of wind turbines. Therefore, the power output of T1 in the Mnpl wind farm is higher than that of the corresponding T1 turbines in the three other types of floating wind farms.
Referring to the results shown in Figure 10c, when the wind speed is much higher than the rated wind speed, the power output of the downstream wind turbines is barely affected in the case of all the wind farm types. This is because at such high wind speeds, the dominant factor affecting the power output is the wind speed rather than the wake effect. At the locations of downstream turbines, the wind speed in the wake area is still higher than the rated wind speed, so the wake effect on the power output of the downstream turbines is negligible despite the variation in the wake characteristics of the different types of wind turbines.

4.3.2. The Power Output of Wind Farm

Figure 11 shows a comparison of the power output of the different types of wind farms at wind speeds ranging from 9 m/s to 20 m/s. It can be seen that for low wind speeds (9 m/s to 13 m/s), there are more obvious differences in the output between the different types of wind farms. Of the wind farms, the power output is highest for the Spar-type, followed by the Semi-type. The TLP-type wind farm is similar to the Mnpl-type wind farm, showing only a slightly higher output. In particular, the divergence in power output between the different types of wind farms is most obvious at a wind speed of 12 m/s. In such a case, the Spar wind farm outputs 5.16% higher power than the Mnpl wind farm, with a value of 1616.9 kW. As the wind speed increased to 14 m/s, 15 m/s, and 16 m/s, the differences in power output for the four types of wind farms gradually diminished, with the highest difference between all the wind farms being only 333 kW. At this stage, the difference in the output between the Spar and Semi wind farms is further reduced. The results for the TLP wind farm are almost the same as for the Mnpl wind farm. When the wind speed ranges from 17 m/s to 20 m/s, there is a loss of wind speed in the wake area following energy exchange between the wake area with the free-flow area; however, the power of the downstream wind turbine is barely affected because the wind speed is still higher than the rated wind speed. In this range of wind speeds, the difference in power output of the different types of wind farms is, therefore, quite minute, only tens of kilowatts.
Many researchers have reached similar conclusions through calculations and experiments. One study adopting the two-wind turbine wind farm using Semi or bottom-fixed wind turbines arranged in tandem to simulate the power output derived the result that the floating wind farm had 3.39% (241.58 kW) higher output than the fixed wind farm at 11.4 m/s [35]. The percentage in our paper is 2.35% at 11 m/s and 2.39% at 12 m/s; the result is similar. A wind and water tunnel experiment through a scaling ratio of 1:400 5-MW wind turbine in a scaled wind farm is performed and the wind farm experiment is performed with twelve floating turbine models organized in four rows and three columns. That study reveals the relation among the power output, the wind turbine movement, and the wave condition. It also shows that the floating wind farm has a higher power output [36]. They all found that the wind speed in the wake area of floating wind turbines recovered faster and had less impact on the power output of downstream units.

5. Conclusions

To the best of the authors’ knowledge, this is the first paper to analyze the rotor movement, wake characteristics, wake velocity loss, and power output with three different types of floating wind turbines and wind farms. Previous research suggests that the wake of a certain floating wind turbine has a lower influence on the downstream units. The contents of research and experiments that coincide with this paper which can be used for verification have been shown in the part of the discussion. This study investigated the difference in wake effect and power output among three kinds of floating wind turbines and one type of bottom-fixed wind turbine under the same external environment by using a reliable tool—FAST.Farm.
In this study, line-like floating wind farms with three typical types of floating platforms based on an NREL 5-MW turbine configuration are established. The rotor movement, wake characteristics, and power output of the different floating wind turbines, as well as their corresponding wind farms, are analyzed. The following conclusions were obtained.
Even under the same wind conditions, the rotor movements of the different types of floating wind turbines are quite varied. The centers of the rotor of the Spar-type and Semi-type wind turbines are more scattered, and the movement of the center of the TLP-type wind turbines is relatively limited.
The wake characteristics are closely related to the dynamic response of the wind turbine rotor. Within the investigated wind speed range, the wake at different distances downstream is most dispersed in the case of the Spar-type wind turbine, followed by the Semi-type turbine. The extent of wake dispersion represents the level of energy exchange between the wake area and the free-flow area. The speed recovery in the wake region is fastest for the Spar and Semi wind turbine types.
Compared with the fixed-base wind turbine, the power output of downstream units is less influenced by all the wind turbines with different floating platforms. Meanwhile, the wake effect on the power output of downstream turbines shows significant differences between the three studied types of floating platforms, especially under low wind speed conditions. Conversely, at high wind speeds vastly exceeding the rated speed, the power output of downstream wind turbines is impacted by only the wake effect, resulting in the same output for all the wind turbine types. Regarding the power output, the impacts are the same for all wind farms. At low wind speeds, the highest difference in power output is 1617 kW, which is observed between the Spar-type and the Mnpl-type wind farm. In comparison, the maximum difference is only dozens of kilowatts at high wind speeds.
In summary, the wake effect of a floating wind farm can be diminished by the movement of wind turbines. The more scattered the rotor movement, the more dispersed the wake (corresponding to a more sufficient energy exchange between the wake and free flow), and the less impact the wake effect has on power output. Under the same environment, the floating wind farms will have greater power output than the fixed-bottom wind farms. In most cases, the wind farms can be ranked according to the finer division of wind farm power output, from largest to smallest, as Spar, Semi, and then TLP. Based on this conclusion, readers can more intuitively understand the differences in the impact of the wake effect on the different floating wind turbines and, therefore, on power output.
By constructing a 1 × 9 layout wind farm and setting up different wind and wave conditions, the rotor motion, the degree of wake dispersion of the three floating wind turbines, and the influence of the wake effect on the downstream units’ and the total wind farm’s power output is analyzed to reveal the wake characteristics of the floating wind turbines as well as the influence on the power output. The conclusions obtained from this study can serve as a reference for the layout of floating wind farms (including in terms of location, arrangement, and distance between units), the synergistic optimization of wind turbines with the goal of maximizing power output, controlling the wakes of floating wind turbines, and choosing a more suitable type of wind turbine according to different wind farm environment.

Author Contributions

Conceptualization, J.C. and X.W.; methodology, J.C. and P.L.; software: J.C. and R.M.; formal analysis, J.C. and T.Z.; investigation, J.C. and R.M.; resources, X.W. and P.L.; writing—original draft preparation, J.C.; writing—review and editing, Y.L., Q.L. and R.M.; project administration, P.L.; funding acquisition, R.M. and Q.L. All authors have read and agreed to the published version of the manuscript.

Funding

This work is supported by the National Key Research and Development Program of China (Grant 2022YFB4201400), the Innovation Capability Support Program of Shaanxi Province of China (Grant 2023-CX-TD-30), and China Scholarship Council (Grant 202306290109).

Institutional Review Board Statement

Not applicable.

Informed Consent Statement

Not applicable.

Data Availability Statement

There is a lot of data and uploading these data to a network drive is not easy to achieve. If someone needs these data, they can contact the author via e-mail: cuijiaping2024@163.com. We can provide key data that are not so large.

Conflicts of Interest

The authors declare no conflicts of interest. The funders had no role in the design of the study; in the collection, analyses, or interpretation of data; in the writing of the manuscript; or in the decision to publish the results.

References

  1. Veers, P.; Dykes, K.; Lantz, E.; Barth, S.; Bottasso, C.L.; Carlson, O.; Clifton, A.; Green, J.; Green, P.; Holttinen, H.; et al. Grand challenges in the science of wind energy. Science 2019, 366, 443. [Google Scholar] [CrossRef]
  2. Flower, M.; Lenfest, E.; Viselli, A.; Goupee, A.; Kimball, R.; Bergua, R.; Wang, L.; Zalkind, D.; Wright, A.; Robertson, A. Wind/Wave Testing of a 1:70-scale performance-matched model of the IEA wind 15 MW reference wind turbine with real-time ROSCO control and floating feedback. Machines 2023, 11, 865. [Google Scholar] [CrossRef]
  3. Yang, C.; Chen, P.; Cheng, Z.; Xiao, L.; Chen, J.; Liu, L. Aerodynamic damping of a semi-submersible floating wind turbine: An analytical, numerical and experimental study. Ocean Eng. 2023, 281, 114826. [Google Scholar] [CrossRef]
  4. Behnood, A.; Gharavi, H.; Vahidi, B.; Riahy, G.H. Optimal output power of not properly designed wind farms, considering wake effects. Int. J. Electr. Power Energy Syst. 2014, 63, 44–50. [Google Scholar] [CrossRef]
  5. Baker, N.F.; Stanley, A.P.; Thomas, J.J.; Ning, A.; Dykes, K. Correction: Best practices for wake model and optimization algorithm selection in wind farm layout optimization. In Proceedings of the AIAA Scitech 2019 Forum, San Diego, CA, USA, 7–11 January 2019. [Google Scholar]
  6. Liu, Y.; Wang, Y.; Wang, X.; Miao, Y. Optimal active power dispatch for wind farm based on the improved fatigue load sensitivity. J. Renew. Sustain. Energy 2019, 11, 033306. [Google Scholar] [CrossRef]
  7. González-Longatt, F.; Wall, P.; Terzija, V. Wake effect in wind farm performance: Steady-state and dynamic behavior. Renew. Energy 2012, 39, 329–338. [Google Scholar] [CrossRef]
  8. Rodrigues, S.F.; Teixeira Pinto, R.; Soleimanzadeh, M. Wake losses optimization of offshore wind farms with moveable floating wind turbines. Energy Convers. Manag. 2015, 89, 833–941. [Google Scholar] [CrossRef]
  9. De-Prada-Gil, M.; Alas, C.G.; Gomis-Bellmunt, O.; Sumper, A. Maximum wind power plant generation by reducing the wake effect. Energy Convers. Manag. 2015, 101, 73–84. [Google Scholar] [CrossRef]
  10. Archer, C.L.; Vasel-Be-Hagh, A.; Yan, C.; Wu, S.; Pan, Y.; Brodie, J.F.; Maguire, A.E. Review and evaluation of wake loss models for wind energy applications. Appl. Energy 2018, 226, 1187–1207. [Google Scholar] [CrossRef]
  11. Wei, D.; Zhao, W.; Wan, D.; Xiao, Q. A new method for simulating multiple wind turbine wakes under yaw conditions. Ocean Eng. 2021, 239, 109832. [Google Scholar] [CrossRef]
  12. Mirsane, R.S.; Torabi, F. An innovative method of investigating the wind turbine’s inflow speed in a wind farm due to the multiple wake effect issue. Energy Convers. Manag. 2022, 269, 116077. [Google Scholar] [CrossRef]
  13. Dong, G.; Li, Z.; Qin, J.; Yang, X. How far the wake of a wind farm can persist for? Theor. Appl. Mech. Lett. 2022, 12, 100314. [Google Scholar] [CrossRef]
  14. Astolfi, D.; De Caro, F.; Vaccaro, A. Characterizing the wake effects on wind power generator operation by data-driven techniques. Energies 2023, 16, 5818. [Google Scholar] [CrossRef]
  15. Zheng, Y.; Liu, H.; Chamorro, L.P.; Zhao, Z.; Li, Y.; Zheng, Y.; Tang, K. Impact of turbulence level on intermittent like events in the wake of a model wind turbine. Renew. Energy 2024, 203, 45–55. [Google Scholar] [CrossRef]
  16. Uchida, T.; Gagnon, Y. Effects of continuously changing inlet wind direction on near-to-far wake characteristics behind wind turbines over flat terrain. J. Wind Eng. Ind. Aerodyn. 2022, 220, 104869. [Google Scholar] [CrossRef]
  17. Fang, Y.; Li, G.; Duan, L.; Han, Z.; Zhao, Y. Effect of surge motion on rotor aerodynamics and wake characteristics of a floating horizontal-axis wind turbine. Energy 2021, 218, 119519. [Google Scholar] [CrossRef]
  18. Robertson, A.N.; Jonkman, J.M. Loads Analysis of several offshore floating wind turbine concepts. In Proceedings of the International Society of Offshore and Polar Engineers, Maui, HI, USA, 19–24 June 2011. [Google Scholar]
  19. Jonkman, J.M.; Annoni, J.; Hayman, G.; Jonkman, B.; Purkayastha, A. Development of FAST.Farm: A new multi-physics engineering tool for wind-farm design and analysis. In Proceedings of the AIAA SciTech 2017 Forum, Grapevine, TX, USA, 9–13 January 2017. [Google Scholar]
  20. Shaler, K.; Jonkman, J. FAST.Farm development and validation of structural load prediction against large eddy simulations. Wind Energy 2021, 24, 428–449. [Google Scholar] [CrossRef]
  21. Doubrawa, P.; Annoni, J.; Jonkman, J.; Ghate, A. Optimization-based calibration of fast.farm parameters against sowfa. In Proceedings of the 2018 Wind Energy Symposium, Kissimmee, FL, USA, 8–12 January 2018. [Google Scholar]
  22. Shaler, K.; Jonkman, J.; Hamilton, N. Effects of inflow spatiotemporal discretization on wake meandering and turbine structural response using FAST.Farm. J. Phys. Conf. Ser. 2019, 1256, 012023. [Google Scholar] [CrossRef]
  23. Jonkman, J.M.; Butterfield, S.; Musial, W.; Scott, G. Definition of a 5-MW Reference Wind Turbine for Offshore System Development; Office of Scientific & Technical Information Technical Reports; National Renewable Energy Laboratory: Golden, CO, USA, 2009. [Google Scholar]
  24. Robertson, A.; Jonkman, J.; Masciola, M.; Song, H.; Goupee, A.; Coulling, A.; Luan, C. Definition of the Semisubmersible Floating System for Phase II of OC4; NREL Technical Report, NREL/TP-5000-60601; National Renewable Energy Laboratory: Golden, CO, USA, 2014. [Google Scholar]
  25. Jonkman, J. Definition of the Floating System for Phase IV of OC3; NREL Technical Report, NREL/TP-500-47535; National Renewable Energy Laboratory: Golden, CO, USA, 2010. [Google Scholar]
  26. Matha, D.; Fischer, T.; Kuhn, M.; Jonkman, J. Model development and loads analysis of a wind turbine on a floating offshore tension leg platform. In Proceedings of the 2009 European Offshore Wind, Stockholm, Sweden, 14–16 September 2009. [Google Scholar]
  27. Churchfield, M.J.; Lee, S.; Moriarty, P.J.; Martinez, L.A.; Leonardi, S.; Vijayakumar, G.; Brasseur, J.G. Large-eddy simulation of wind-plant aerodynamics. In Proceedings of the 50th AIAA Aerospace Sciences Meeting, Nashville, TN, USA, 9–12 January 2012. [Google Scholar]
  28. Gonzalez, J.S.; Payan, M.B.; Santos, J.R. Optimal control of wind turbines for minimizing overall wake effect losses in offshore wind farms. In Proceedings of the IEEE International Conference on Power and Energy, Zagreb, Croatia, 1–4 July 2013. [Google Scholar]
  29. Burton, T.; Jenkins, N.; Sharpe, D.; Bossanyi, E. Wind Energy Handbook, 2nd ed.; Wiley: New York, NY, USA, 2011. [Google Scholar]
  30. Jonkman, B.J.; Buhl, M.L. TurbSim User’s Guide; NREL Technical Report, NREL/TP-500-39797; National Renewable Energy Laboratory: Golden, CO, USA, 2006. [Google Scholar]
  31. Robertson, A.N.; Jonkman, J.M. Loads Analysis of Several Offshore Floating Wind Turbine Concepts; NREL Office of Entific & Technical Information Technical Reports; National Renewable Energy Laboratory: Golden, CO, USA, 2011. [Google Scholar]
  32. Johlas, H.M.; Martínez-Tossas, L.A.; Schmidt, D.P.; Lackner, M.A.; Churchfield, M.J. Large Eddy Simulations of Floating Offshore Wind Turbine Wakes with Coupled Platform Motion; IOP Publishing: Bristol, UK, 2019. [Google Scholar]
  33. Johlas, H.M.; Lackner, M.A.; Schmidt, D.P.; Churchfield, M.J. Large Eddy Simulations of Offshore Wind Turbine Wakes for Two Floating Platform Types; IOP Publishing: Bristol, UK, 2020. [Google Scholar]
  34. Wang, T.; Cai, C.; Liu, J.; Peng, C.; Wang, Y.; Sun, X.; Zhong, X.; Zhang, J.; Li, Q. Wake characteristics and vortex structure evolution of floating offshore wind turbine under surge motion. Energy 2024, 302, 131788. [Google Scholar] [CrossRef]
  35. Wang, K.; Chen, S.; Chen, J.; Zhao, M.; Lin, Y. Study on wake characteristics of fixed wind turbines and floating wind turbines arranged in tandem. Ocean Eng. 2024, 304, 117808. [Google Scholar] [CrossRef]
  36. Bossuyt, J.; Ferčák, O.; Sadek, Z.; Meneveau, C.; Gayme, D.F.; Cal, R.B. Floating wind farm experiments through scaling for wake characterization, power extraction, and turbine dynamics. Phys. Rev. Fluids 2023, 8, 120501. [Google Scholar] [CrossRef]
Figure 1. Configurations of the three types of floating wind turbines: (a) Semi, (b) Spar, and (c) TLP.
Figure 1. Configurations of the three types of floating wind turbines: (a) Semi, (b) Spar, and (c) TLP.
Jmse 12 01475 g001
Figure 2. Schematic diagram of the wind farm layout.
Figure 2. Schematic diagram of the wind farm layout.
Jmse 12 01475 g002
Figure 3. Statistical relationship between spectral peak period and wave height at different wind speeds.
Figure 3. Statistical relationship between spectral peak period and wave height at different wind speeds.
Jmse 12 01475 g003
Figure 4. Distribution of the rotor center position of the different types of wind turbines for the wind speeds of (a) 10 m/s, (b) 13 m/s, (c) 16 m/s, and (d) 19 m/s.
Figure 4. Distribution of the rotor center position of the different types of wind turbines for the wind speeds of (a) 10 m/s, (b) 13 m/s, (c) 16 m/s, and (d) 19 m/s.
Jmse 12 01475 g004
Figure 5. The instantaneous position of the rotor center of T1 to T9 at the wind speeds of (a) 10 m/s, (b) 13 m/s, (c) 16 m/s, and (d) 19 m/s, when the time is 4000 s.
Figure 5. The instantaneous position of the rotor center of T1 to T9 at the wind speeds of (a) 10 m/s, (b) 13 m/s, (c) 16 m/s, and (d) 19 m/s, when the time is 4000 s.
Jmse 12 01475 g005aJmse 12 01475 g005bJmse 12 01475 g005c
Figure 6. The average value of the rotor swept area for the wind speeds of (a) 10 m/s, (b) 13 m/s, (c) 16 m/s, and (d) 19 m/s.
Figure 6. The average value of the rotor swept area for the wind speeds of (a) 10 m/s, (b) 13 m/s, (c) 16 m/s, and (d) 19 m/s.
Jmse 12 01475 g006aJmse 12 01475 g006b
Figure 7. Wake center distributions at different downstream positions for the wind speeds of (a) 10 m/s, (b) 13 m/s, (c) 16 m/s, and (d) 19 m/s.
Figure 7. Wake center distributions at different downstream positions for the wind speeds of (a) 10 m/s, (b) 13 m/s, (c) 16 m/s, and (d) 19 m/s.
Jmse 12 01475 g007aJmse 12 01475 g007bJmse 12 01475 g007cJmse 12 01475 g007d
Figure 8. Axial wake velocity loss for wind speeds at (a) 10 m/s, (b) 13 m/s, (c) 16 m/s, and (d) 19 m/s.
Figure 8. Axial wake velocity loss for wind speeds at (a) 10 m/s, (b) 13 m/s, (c) 16 m/s, and (d) 19 m/s.
Jmse 12 01475 g008aJmse 12 01475 g008b
Figure 9. Wind speed at the center of T1-T9’s rotor for the ambient wind speeds at (a) 10 m/s, (b) 13 m/s, (c) 16 m/s, and (d) 19 m/s.
Figure 9. Wind speed at the center of T1-T9’s rotor for the ambient wind speeds at (a) 10 m/s, (b) 13 m/s, (c) 16 m/s, and (d) 19 m/s.
Jmse 12 01475 g009
Figure 10. Wind turbines’ power output from T1 to T9 under different ambient wind speeds ranging from 9 m/s to 20 m/s for the four types of wind farms.
Figure 10. Wind turbines’ power output from T1 to T9 under different ambient wind speeds ranging from 9 m/s to 20 m/s for the four types of wind farms.
Jmse 12 01475 g010aJmse 12 01475 g010b
Figure 11. The total power output of the different types of wind farms at wind speeds ranging from 9 m/s to 20 m/s.
Figure 11. The total power output of the different types of wind farms at wind speeds ranging from 9 m/s to 20 m/s.
Jmse 12 01475 g011
Table 1. Gross properties of the NREL 5-MW baseline wind turbine.
Table 1. Gross properties of the NREL 5-MW baseline wind turbine.
ParametersProperties
Rating5 MW
Rotor Orientation, ConfigurationUpwind, 3 Blades
DrivetrainHigh Speed
Rotor Diameter126 m
Hub Diameter3 m
Hub Height90 m
Cut-in, Rated, and Cut-out Wind Speed3 m/s, 11.4 m/s, and 25 m/s
Cut-in and Rated Rotor Speed6.9 rpm and 12.1 rpm
Rotor Mass110,000 kg
Nacelle Mass240,000 kg
Tower Mass347,460 kg
Tower Height87.6 m
Tower-base and Top Diameter6 m and 3.87 m
Tower-base and Top Thickness0.027 m and 0.019 m
Table 2. Brief descriptions of the studied cases.
Table 2. Brief descriptions of the studied cases.
Wind SpeedTurbulence IntensityNumber of TurbinesTurbine SpacingTypes of TurbineShear Coefficient
9–20 m/s, interval 1 m/sCalculated using Formulas (3) and (4)98DMnpl
Semi
Spar
TLP
0.14
Table 3. Area encompassing the region created by the dispersion of the center of the wake at 7D downstream of T1.
Table 3. Area encompassing the region created by the dispersion of the center of the wake at 7D downstream of T1.
Wind SpeedType of Wind TurbineLength (m)
(X–Y Plane)
Height (m)
(X–Z Plane)
Area (m2)
(=Length × Height)
10 m/sMnpl246.4106.0326,125.792
Semi248.3114.8928,527.187
Spar248.2122.7130,456.622
TLP246.2106.3526,183.37
13 m/sMnpl258110.8728,604.46
Semi248.3114.8928,527.187
Spar248.2122.7130,456.622
TLP246.2106.3526,183.37
16 m/sMnpl269.4101.4227,322.548
Semi267.6113.1130,268.236
Spar272.8119.7132,656.888
TLP269.1101.3327,267.903
19 m/sMnpl267.1105.1628,088.236
Semi270.8113.2830,676.244
Spar272.5119.9132,675.475
TLP266.7104.7627,939.492
Disclaimer/Publisher’s Note: The statements, opinions and data contained in all publications are solely those of the individual author(s) and contributor(s) and not of MDPI and/or the editor(s). MDPI and/or the editor(s) disclaim responsibility for any injury to people or property resulting from any ideas, methods, instructions or products referred to in the content.

Share and Cite

MDPI and ACS Style

Cui, J.; Wu, X.; Lyu, P.; Zhao, T.; Li, Q.; Ma, R.; Liu, Y. Research on the Power Output of Different Floating Wind Farms Considering the Wake Effect. J. Mar. Sci. Eng. 2024, 12, 1475. https://doi.org/10.3390/jmse12091475

AMA Style

Cui J, Wu X, Lyu P, Zhao T, Li Q, Ma R, Liu Y. Research on the Power Output of Different Floating Wind Farms Considering the Wake Effect. Journal of Marine Science and Engineering. 2024; 12(9):1475. https://doi.org/10.3390/jmse12091475

Chicago/Turabian Style

Cui, Jiaping, Xianyou Wu, Pin Lyu, Tong Zhao, Quankun Li, Ruixian Ma, and Yingming Liu. 2024. "Research on the Power Output of Different Floating Wind Farms Considering the Wake Effect" Journal of Marine Science and Engineering 12, no. 9: 1475. https://doi.org/10.3390/jmse12091475

APA Style

Cui, J., Wu, X., Lyu, P., Zhao, T., Li, Q., Ma, R., & Liu, Y. (2024). Research on the Power Output of Different Floating Wind Farms Considering the Wake Effect. Journal of Marine Science and Engineering, 12(9), 1475. https://doi.org/10.3390/jmse12091475

Note that from the first issue of 2016, this journal uses article numbers instead of page numbers. See further details here.

Article Metrics

Back to TopTop