Abstract
This article considers the issues of ensuring operational performance and environmental sustainability of marine diesel engines by using biodiesel fuel. This research was conducted on 5S60ME-C8 MAN-B&W Diesel Group and 6DL-16 Daihatsu Diesel marine diesel engines, which are operated using RMG380 petroleum fuel and B10 and B30 biodiesel fuels. The efficiency of biofuel usage was assessed based on environmental (reduced nitrogen oxide concentration in exhaust gases) and economic (increased specific effective fuel consumption) criteria. It was found that the use of B10 and B30 biofuels provides a reduction in nitrogen oxide concentration in exhaust gases by 14.71–25.13% but at the same time increases specific effective fuel consumption by 1.55–6.01%. Optimum fuel injection advance angles were determined that ensure the best thermal energy, economic and environmental performance of diesel engines. The optimum angle of biofuel supply advance is determined experimentally and should correspond to the limits recommended by the diesel engine operating instructions. It has been proven experimentally that the use of biofuel increases the environmental sustainability of marine diesel engines by 13.75–29.42%. It increases the diesel engines environmental safety in case of emergency situations as well as accidental and short-term emissions of exhaust gases with an increased content of nitrogen oxides into the atmosphere phenomena that are possible in starting modes of diesel engine operation as well as in modes of sudden load changes. It is the increase in the environmental friendliness of marine diesel engines in the case of using biofuel that is the most positive criterion and contributes to the intensity of biofuel use in power plants of sea vessels.
1. Introduction
Sea transport vessels provide transportation of goods between countries and continents separated by seas and oceans. At the same time, depending on the type of characteristics, different vessels are used:
- General Cargo (their displacement is 30,000–40,000 tons, and their main power plant capacity is 10,000–12,000 kW);
- Bulk Carriers (displacement of which reaches 100,000–120,000 tons, and their main power plant capacity is 18,000–20,000 kW);
- Oil Product/Crude Oil/Chemical Tanker (with displacement up to 300,000–350,000 tons and main engine power of 18,000–20,000 kW);
- Liquefied Natural Gas Ship (LNG) and Liquefied Petroleum Gas Ship (LPG) (volume of their cargo tanks reaches 250,000 m3 and their main engine power reaches 30,000–35,000 kW);
- Container Ship (capable of carrying 20,000 containers equipped with a main propulsion unit of up to 80,000 kW).
The main and auxiliary engines on marine vessels are internal combustion engines/diesels [1,2]. This type of heat engine has the highest efficiency and the lowest specific fuel consumption [3,4]. Diesels are the main type of heat engines that ensure the movement of marine vessels, as well as the functioning of their systems and mechanisms [5,6]. Modern alternatives to marine diesel engines, such as solar panels, wind generators, rigid sails and light sails, batteries and fuel cells can meet the energy needs of marine vessels only under certain conditions and for limited periods of time.
Solar panels can only be used on ships with large open deck areas (General Cargo, Bulk Carrier, Crude Oil or Chemical Tanker). Their installation on LNG and LPG ships is problematic (due to the complex geometry of cargo tanks), and their installation on Container Ships is impossible. In addition, the main problem with the use of solar panels is the need to install them after cargo operations and dismantle them before cargo operations [7,8].
Wind generators require additional space for installation. They cannot be placed on cargo hold covers or on open superstructure decks. In the first case, it is technically impossible (due to periodic opening/closing of the cargo hold covers); in the second case, it increases vibration loads on the ship’s living quarters. The only place for installation of wind generators is the tank and stern of the vessel, but this complicates mooring operations [9,10].
Rigid sails increase aerodynamic drag in the case of headwinds or side winds. Skite sails lose their effectiveness if the hydro-meteorological conditions deteriorate, and in some cases (in high wind and rain), skite sail handling becomes impossible and dismantling becomes difficult and dangerous for the crew that performs it [11,12].
Batteries require constant restoration of their capacity, so they are effectively used only in cases of coastal navigation of ships [13,14].
The power of fuel cells meets the energy needs of small displacement ships only [15,16]. In addition, fuel cells (in comparison with diesel engines) are characterised by a longer start-up time, as well as the time of transition from minimum load to maximum load [17,18].
2. Literature Review
The functioning of marine diesel engines is impossible without the use of liquid fuel of petroleum origin, which is the main source of energy for all heat engines. In accordance with the international fuel standard DIS DP-8217, developed by the international standardisation organisation ISO [19], two grades of distillate fuel are used in marine diesel engines: pure diesel fuel DMA, DMB and mixed fuel DMC, as well as purified fuel RM [20]. The viscosity range of DMA, DMB and DMC fuels at 50 °C is within 2–15 sSt, and their density at 15 °C is 880–920 kg/m3. Considering the abovementioned, these fuels are called light fuels. Calorific value of DMA, DMB and DMC fuels is within 42–44 MJ/kg.
RM-class fuels (for example, RMA30, RME180, RMG380 and RMK700) have 30–700 sSt viscosity at 50 °C and 960–1010 kg/m3 density at 15 °C and are called heavy fuels. The calorific value of RM-class fuels is in the range of 39–42 MJ/kg. Heavy grades have a lower cost compared to light grades, which determines their use in marine diesel engines to reduce the financial costs of fuel purchase [21,22,23]. It should also be noted that for modern marine diesel engines (both main and auxiliary), heavy grades of fuels are used to ensure all modes of operation, including starting and reversing modes [24,25,26].
One of the criteria for the use of petroleum fuels in marine power plants is the sulphur content [27,28,29]. According to the requirements of Annex VI MARPOL, the sulphur content in fuel in the case of operating diesel engines in special environmental sulphur emission control areas (SECAs) should not exceed 0.1% by mass; in the case of operation outside SECAs, the sulphur content in fuel should not exceed 0.5% by mass (Figure 1). The use of fuel with sulphur content exceeding 0.5% by mass is possible only in the case of additional purification of exhaust gases in special purification systems (usually in scrubbers) [30,31,32]. The main task, which is achieved by using fuel with low sulphur content or scrubbers, is to reduce the emission of sulphur oxides (SOX) with exhaust gases [33,34,35].
Figure 1.
Sulphur emission control areas: 1—The North American SECA with most of the United States, Canadian coast and Hawaii; 2—The United States Caribbean SECA with Puerto Rico and the United States Virgin Islands; 3—The North Sea SECA with the English Channel; 4—The Baltic Sea SECA; 5—All European Union Ports.
Another component of marine diesel exhaust gases, the value of which is regulated by Annex VI MARPOL, is the emission of nitrogen oxides (NOX) with exhaust gases [36,37,38]. In accordance with the requirements of Annex VI MARPOL, three levels of nitrogen oxide emissions are established, which depend on the year of construction of the ship and diesel engine speed (Figure 2).
Figure 2.
Annex VI MARPOL emission requirements for nitrogen oxides (NOX) [23,38].
The sources of NOX are airborne nitrogen and fuelborne nitrogen. During combustion of the fuel–air mass, thermal NOX and fast NOX are formed from the nitrogen in the air; fuel NOX is formed from the nitrogen in the fuel. At temperatures above 1500 °C (which is only possible in the diesel cylinder), a chain reaction of nitrogen oxides formation occurs. Therefore, all methods and technologies that ensure the reduction in NOX emissions are aimed at reducing the maximum temperature in the diesel cylinder [39,40,41].
In addition to oxides of sulphur (SOX) and nitrogen (NOX), the exhaust gases of marine diesel engines also contain other harmful components. Primarily, these are carbon dioxide CO, particulate matter PM and black carbon C. However, international standards for limiting such emissions have not been approved at the moment. The emission of carbon dioxide CO is regulated by the requirements of the Kyoto Protocol; monitoring of particulate matter PM emissions is more relevant for road transport, which operates in urban regions and affects the atmosphere significantly; monitoring of black carbon C emissions is especially relevant for the northern latitudes of Europe and the Polar regions.
One of the options for reducing SOX and NOX emissions with exhaust gases of marine diesel engines is the use of alternative fuels, the main types of which are Liquefied Natural Gas, Liquefied Petroleum Gas, hydrogen, ammonia, vegetable oils and biofuels [42,43,44].
Liquefied Natural Gas (LNG) is the most common of all the alternative fuels used in stationary power generation. The advantage of LNG is its high calorific value, which can reach 55–48 MJ/kg. In addition, LNG does not contain nitrogen; this makes the formation of fuel NOX impossible and reduces the overall emission of nitrogen oxides. However, LNG requires regasification for combustion, which requires additional volumes of consumption tanks. The density of LNG in liquid after regasification at 20 °C is 0.67 kg/m3 [45,46]. Therefore, it requires the use of a separate fuel system to feed it into the diesel cylinder. In addition, LNG is characterised by a higher autoignition temperature compared to petroleum fuel. Its value can reach 700–750 °C as a result of the compression process of the fuel–air mixture; this value cannot be achieved in all operating modes of the diesel engine. In this connection, LNG is used in marine diesel engines as an additional fuel to liquid fuel of oil origin [47,48]. As a rule, LNG is used on ships by which it is transported as cargo. In this case, diesels operate both on the gas–diesel cycle (in the case of using a mixture of LNG and liquid petroleum fuel) and on the diesel cycle (in the case of ballast passages and absence of LNG on the ship).
Liquefied Petroleum Gas (LPG) is a mixture of light hydrocarbons liquefied under pressure. The calorific value of LPG is 47–49 MJ/kg, and the density of the gas phase at 20 °C is 1.87–2.52 kg/m3. As with LNG, when using LPG, a separate fuel system is required to supply the gas to the diesel cylinder. The autoignition temperature of LPG is 500–550 °C, which allows its use as a separate fuel. However, as with LNG use cases, LPG-only diesel operation is only possible when the ship is in cargo transition (when carrying LPG). In the case of a ballast crossing a vessel, the diesel is operated on petroleum origin fuel. A common disadvantage of using both LNG and LPG is the tendency of these fuels to condense when the pressure and temperature in the fuel system change. This increases the hydraulic resistance in the LNG/LPG supply system, which leads to a decrease in the amount of gas entering the diesel cylinder for combustion [49,50].
Nowadays, hydrogen as a fuel is used practically in all types of transport, as well as in stationary power engineering. When hydrogen burns, only water vapour is produced, so hydrogen is the most environmentally friendly fuel. The calorific value of hydrogen is 120–140 MJ/kg, which is significantly higher than that of all other fuels. However, at combustion of hydrogen, mechanical loads of cylinder group and crank mechanism parts sharply increase. Hydrogen, reacting with lubricating oil, increases its oxidation rate. In addition, hydrogen is explosive. Hydrogen must be stored in special cylinders under high pressure and supplied to the cylinder at a certain temperature. There are also difficulties with hydrogen bunkering in seaports. There are fuel cells that generate hydrogen, the energy of which is further converted into electrical or mechanical energy. However, the power of such fuel cells can only provide the energy consumption of small displacement ships [51,52]. All these limit the usage of hydrogen as a fuel on marine ships.
One of the promising alternative fuels is ammonia. Its main advantage is the absence of carbon emissions during combustion. The calorific value of ammonia is 18–19 MJ/kg, which reduces the efficiency of its use as a separate fuel. It is most expedient to use ammonia in a mixture with fuel of oil origin on gas carriers that transport ammonia as a cargo [53,54]. The disadvantage of ammonia is its toxicity and explosion hazard.
Mixtures of methyl and ethyl alcohols with diesel fuel—methanol and ethanol—can be used as an alternative fuel for marine diesel engines. Methanol and ethanol combustion occurs with less (compared to diesel fuel) emission of toxic components—carbon oxides and nitrogen oxides—into the atmosphere [55,56,57]. At the same time, in pure form (without mixture with diesel fuel), methanol and ethanol are poisonous substances. The flash point of methanol and ethanol is in the range of 8–12 °C; therefore, they belong to the class of hazardous liquids. The density of methanol and ethanol is 800–820 kg/m3 at 20 °C. This allows their usage without re-completion of marine fuel systems. The calorific value of methanol is 22–23 MJ/kg, which leads to increased time of methanol injection into the diesel cylinder and also makes it difficult to start the diesel engine. Methanol can be used both in diesel engines to produce mechanical energy and in special fuel cells to produce electrical energy [58,59].
Vegetable oils as motor fuels can be used either pure or blended with diesel fuel, as well as with gas condensates, alcohols, esters and other alternative fuels [60,61].
Vegetable oils come from oilseeds that contain vegetable fats. The most common vegetable oil used in internal combustion engines is rapeseed oil. The density of rapeseed oil at 20 °C is between 900 and 920 kg/m3. This makes it possible to use fuel equipment for transporting rapeseed oil through the fuel system, as well as for its injection into the diesel cylinder, which is used for transporting and injecting diesel fuel. The sulphur content in rapeseed oil does not exceed 0.02% by mass; this makes it possible to use rapeseed oil in special ecological areas (SECAs). The calorific value of rapeseed oil is 37–37.5 MJ/kg; this reduces the torque on the diesel shaft and limits the use of rapeseed oil in high-power diesel engines [62,63].
One of the alternative fuels is biodiesel: biofuels [64,65]. The main components used in the production of biodiesel are vegetable and animal fats, the chemical composition of which slightly differs from each other [66,67]. As a result of esterification in the presence of methanol or ethanol and a catalyst (in the form of NaOH, KOH, NaOCH3 or KOCH3), these substances react to form monoalkyl esters; these are the products that are called biodiesel. The biodiesel phase is further purified by distillation and membrane fission [68,69].
Vegetable oils as motor fuels can be used both in pure form and in a mixture with diesel and other petroleum fuels, as well as with gas condensates, alcohols, ethers and other alternative fuels. The source of vegetable oils are oil crops, the seeds or fruits of which contain vegetable fats. Oil plants include more than 150 species of plants from which vegetable oils are produced. Depending on the climatic conditions and the availability of cultivation, raw materials for the production of biodiesel can be various vegetable oils, from olive oil to animal fat.
About 87.4% of the world production of vegetable oils comprises palm, soybean, rapeseed and sunflower oils; the remaining 12.6% comprises peanut, cottonseed, olive, coconut and palm kernel. Undoubtedly, most of this volume is used in the food industry. However, part of the oil is used as raw material for biofuel production. Rapeseed oil ranks third in terms of production in the world after palm and soybean oil. At the same time, rapeseed oil is the most actively used for the production of biodiesel fuel. Different vegetable oils contain different amounts of fatty acids, which leads to certain differences in their characteristics. All vegetable fuels have similar basic characteristics to each other: density, flash point and lower calorific value. During combustion, they emit approximately 10–12% less heat than petroleum-based diesel fuel. There are no standards for the calorific value of fuel from oil, but a higher calorific value of fuel is an important property used in determining its quality.
The American Society of Testing and Materials (ASTM) defines the cetane number as the main quality characteristic of fuel based on vegetable oils. The ASTM D6751 specification specifies a minimum cetane number of 47 for vegetable fuels.
All vegetable oil-based fuels made from the most commonly used feedstock exceed this value. A distinctive feature of oil fuels is the minimum level of sulphur content. This allows their use in special ecological areas (SECAs).
The ecological efficiency of biofuel use is also characterized by a lower amount of carbon dioxide produced during its combustion. When burned, traditional fuels produce a large amount of carbon dioxide, which is considered a greenhouse gas and the reason for keeping the sun’s heat on the planet. Burning coal and oil raises the temperature and causes global warming. The use of biofuel reduces the impact of greenhouse gases on the environment.
Various scientific studies contain conflicting data regarding the amount of nitrogen oxides (NOX) emissions when using biodiesel fuel. This discrepancy is related to the variability of the experiment, the type of petroleum fuel, as well as the conditions of the experiment (biofuel concentration in the fuel mixture with petroleum-derived fuel, diesel engine operating modes, features and characteristics of its cooling and exhaust systems).
Biodiesel (or FAME—Fatty Acid Methyl Ester), unlike petroleum-based diesel fuel, is produced from renewable organic sources. The main performance characteristics of FAME (density, viscosity, flash point and calorific value) coincide with similar indicators of diesel fuel; this allows its use in the majority of modern diesel engines [70,71,72]. As a rule, FAME biodiesel is not used in pure form. The most expedient variant of its use is fuel blends with fuels of petroleum origin. In such blends, petroleum fuel is the main component and its amount is 70–95% by mass. Biodiesel is used as an additive and its quantity is 5–30% by mass. Such fuels are classified as B5, B10 … B25, B30.
Fuels of biological origin are characterised by a lower calorific value compared to fuels of petroleum origin. At the same time, the amount of energy released during combustion of biofuel in the diesel cylinder decreases. This is the reason for the decrease in torque and power of the diesel when it operates only on biofuel. This is why biodiesel fuel is not used in its pure form (only as FAME fuel); in addition, the composition of biodiesel fuel in its mixture with fuel of petroleum origin does not exceed 30% (which corresponds to biodiesel fuel B30). In this case, maintaining the required torque (and consequently the power of the diesel engine) is ensured by maintaining the required crankshaft rotational frequency. This necessitates increasing the cycle fuel supply when using biodiesel fuel.
Biodiesel fuel is used in both main and auxiliary engines of various capacities. However, the majority of scientific studies, which are aimed at studying the possibility of using biodiesel fuel, are mainly devoted to road and railway transport [73,74,75]. In addition, the criteria by which the efficiency of biodiesel usage in marine diesel engines can be assessed have not been developed. Despite the use of different types of biodiesel, general recommendations for determining its optimal concentration in diesel fuel have not been developed. Also, there are no recommendations for achieving economic and environmental efficiency of using a mixture of diesel and biodiesel fuel at different diesel operating modes.
The use of alternative fuels (including biofuels) in marine diesel engines improves the environmental performance of diesel engines and their impact on the environment. At the same time, the operational indicators of the diesel engine change, which leads to changes in dynamic and thermal loads on its parts, as well as the efficiency of its operation.
In this regard, the aim of this study was to determine the optimal operating modes of marine diesel engines when using biodiesel.
3. Materials and Methods
Studies on the influence of biodiesel fuel on the operational parameters of marine diesel engines were carried out on a Bulk Carrier-class vessel with deadweight of 58,640 tons. A marine diesel engine 5S60ME-C8 MAN-B&W Diesel Group (New Diesel Machinary Co., Ltd., Kunshan Jiangsu, China) was used as the main engine and three marine diesel engines 6DL-16 Daihatsu Diesel (Daihatsu Diesel MFG. Co., Ltd., Shanghai, China) were used as auxiliary ones. The main characteristics of the marine diesel engines are given in Table 1.
Table 1.
Main characteristics of marine diesel engines.
The MAN-B&W Diesel Group’s 5S60ME-C8 main engine transmitted its power to the fixed-pitch propeller using a direct drive. Depending on navigation conditions and the commercial assignment for the voyage, the operating modes of the 5S60ME-C8 MAN-B&W Diesel Group diesel engine were 65–95% of the rated load. During starting and shunting modes, the diesel engine was operated at loads of 10–50%. The main engine could be operated using fuel with a viscosity of up to 700 sSt at 40 °C.
A general view of the main engine 5S60ME-C8 MAN-B&W Diesel Group is shown in Figure 3.
Figure 3.
A general view of the main engine 5S60ME-C8 MAN-B&W Diesel.
The auxiliary engine 6DL-16 Daihatsu Diesel were the drivers for the electric generators and were part of the ship’s power plant. Their power is sufficient for ensuring all operations on the vessel in all modes (emergency, mooring, cargo and normal). In this case, one or two of the three engines are in operation. In this case, they work in parallel mode. Depending on the load on the ship’s power plant, the operating modes of the 6DL-16 Daihatsu Diesel engines are 50–80% of the nominal load. The operation of auxiliary diesel engines is possible using fuel with a viscosity of up to 500 sSt at 40 °C.
A general view of the auxiliary engine 6DL-16 Daihatsu Diesel is shown in Figure 4.
Figure 4.
A general view of the auxiliary engine 6DL-16 Daihatsu Diesel.
The 5S60ME-C8 MAN-B&W Diesel Group and the 6DL-16 Daihatsu Diesel have a common fuel system, the scheme of which is shown in Figure 5.
Figure 5.
Principal fuel scheme of marine diesel engines 5S60ME-C8 MAN-B&W Diesel Group and 6DL-16 Daihatsu Diesel: 1—heavy fuel, S about 0.5% (black on the Figure); 2, 5, 8 and 11—fuel filter; 3, 6, 9 and 12—fuel pump; 4—diesel fuel, S < 0.1% (gray on the Figure); 7—biodiesel B10 (brown on the Figure); 10—biodiesel B30 (yellow on the Figure); 13, 14 and 15—auxiliary engine 6DL-16 Daihatsu Diesel; 16—main engine 5S60ME-C8 MAN-B&W Diesel Group.
Fuel supply to main engine 16 and auxiliary engines 13, 14 and 15 is carried out from fuel tanks 1, 4, 7 and 10 using fuel filters 2, 5, 8 and 11 and fuel pumps 3, 6, 9 and 12. The main parameters of the fuel system operation (pressure, flow rate, temperature and fuel viscosity) are controlled and maintained automatically. The speed and load of the main engine and auxiliary engines are also automatically maintained [76,77]. In addition, the load distribution between several auxiliary engines (two or three) is automatically maintained in the case of their parallel operation [78,79]. The diesels are equipped with the ProPower diagnostic system, which providea monitoring of the main indicators of the working process: combustion pressure pz, effective power Ne, specific effective fuel oil consumption be and exhaust gas temperature tg. The ProPower system also monitors and analyses diesel exhaust gases, including determination of nitrogen oxides (NOX) concentration [80,81]. The ProPower system belongs to modern systems of diagnostics of the working process of marine diesel engines and is used on a large number of marine vessels [82,83].
All measuring equipment that ensures control and regulation of the diesel engine operating parameters is located in the central control post of the engine room (Figure 6 and Figure 7).
Figure 6.
The central control post of the engine room.
Figure 7.
Main and auxiliary engine control computers.
The diesels are operated using DMA and RMG380 petroleum-based fuels and B10 and B30 biodiesel fuels. B10 and B30 fuels include 90% or 70% diesel fuel and 10% or 30% FAME fuel. Currently, marine diesel engines use biofuels with a maximum FAME content of no more than 30%. B30 is such a fuel. B10 fuel was used to expand the experimental data array and determine the effect of biological components of fuel on diesel engine performance. The main characteristics of the fuels are given in Table 2.
Table 2.
Main characteristics of fuels.
When the vessel is in the special environmental areas of SECAs, the diesels are operated with DMA fuel, and when the vessel is outside the SECAs, they were operated with RMG380 fuel. In addition, the diesels use B10 and B30 fuels during the experiments. Throughout the experiment, fuel density and viscosity are continuously monitored using the ship’s Unitor laboratory [84,85]. This ensures the homogeneity of the fuel and guarantees the accuracy of the experiments.
During the navigation passage, the diesels operate at different loads: the main engine 5S60ME-C8 MAN-B&W Diesel Group operates in the range of 25–95% of rated power; auxiliary engine 6DL-16 Daihatsu Diesel operates in the range of 35–80% of rated power.
During the experimental studies, the main engine 5S60ME-C8 of the MAN-B&W Diesel Group was operated at equal intervals with RMG380 heavy fuel and B10 and B30 biodiesel at loads of 65%, 75%, 85% and 95% of rated power. The duration of the experiment for each of the loads was 1–3 h and depended on the sailing conditions of the vessel.
The choice of the main engine load levels was justified by the following. According to the requirements of diesel operation, its continuous operating power should not exceed 95% of the rated power. Reducing the main engine power below 65% reduces the ship’s speed significantly. That is why this research was conducted in the range of 65–95% with an interval of 10%.
At the same time, this load range met the requirements of the charterer and the shipping company. In addition, this range is the most common of all operating modes for most diesel engines used on seagoing vessels as main engines.
The 6DL-16 Daihatsu Diesel auxiliary diesels were operated for equal time intervals with RMG380 heavy fuel and B10 and B30 biodiesel at loads of 50%, 60%, 70% and 80% of rated power. The duration of the experiment for each of the loads was 2–4 h and depended on the energy requirements of the vessel.
The choice of the auxiliary engine load levels was justified by the following. According to the requirements for diesel operation, their continuous operating power should not exceed 80% of the rated power. Reducing the power of auxiliary diesel engines below 50% significantly increases the specific effective fuel consumption and temperature stress of the cylinder group parts. This is why this research was conducted in the range of 50–80% with an interval of 10%.
At the same time, this range of loads provides energy to all ship consumers (navigation equipment, deck mechanisms, ship systems and engine room mechanisms). In addition, this range is the most common of all operating modes for most diesel engines that are used on sea vessels as auxiliary ones.
The efficiency of using biofuels B10 and B30 was evaluated according to environmental and economic criteria. The concentration of nitrogen oxides in exhaust gases of diesel engines was taken as an ecological criterion, NOX, g/(kW⋅h) [86,87], and as an economic one—specific effective fuel oil consumption—be, g/(kW⋅h) [88,89].
4. Results
Initially, the efficiency of B10 and B30 biofuels was determined. The obtained results are given in Table 3, Table 4, Table 5 and Table 6.
Table 3.
Nitrogen oxide concentration in exhaust gases of a 5S60ME-C8 MAN-B&W Diesel Group marine diesel engine under different experimental conditions.
Table 4.
Specific effective fuel oil consumption of the 5S60ME-C8 MAN-B&W Diesel Group marine diesel engine under different experimental conditions.
Table 5.
Nitrogen oxide concentration in exhaust gases of 6DL-16 Daihatsu Diesel under different experimental conditions.
Table 6.
Specific effective fuel oil consumption of 6DL-16 Daihatsu Diesel under different experimental conditions.
The dependences of nitrogen oxide concentration in exhaust gases (NOX), specific effective fuel consumption be for different loads of marine diesel engines when using heavy fuel RMG380, as well as biofuels B10 and B30 are shown in Figure 8 and Figure 9 for the purpose of better visualisation.
Figure 8.
Dependence of nitrogen oxide concentration in exhaust gases (NOX) (a) and specific effective fuel oil consumption be (b) for different loads of marine diesel engine 5S60ME-C8 MAN-B&W Diesel Group: DF—diesel fuel (blue on the Figure); 1—biofuel B10 (green on the Figure); 2—biofuel B30 (yellow on the Figure).
Figure 9.
Dependence of nitrogen oxide concentration in exhaust gases (NOX) (a) and specific effective fuel oil consumption be (b) for different loads of ship diesel engine 6DL-16 Daihatsu Diesel: DF—diesel fuel (blue on the Figure); 1—biofuel B10 (green on the Figure); 2—biofuel B30 (yellow on the Figure).
The use of biofuels helps to reduce the concentration of nitrogen oxides in exhaust gases: both for the 5S60ME-C8 MAN-B&W Diesel Group diesel engine and the 6DL-16 Daihatsu Diesel. However, the specific effective fuel consumption increases. The relative change in these parameters was estimated using the following expressions:
Relative reduction in nitrogen oxide concentration in exhaust gases:
Relative increase in specific effective fuel consumption:
where is the concentration of nitrogen oxides in exhaust gases when using diesel and biofuels (B10 or B30).
are the specific effective fuel oil consumption when using biofuels (B10 or B30) and diesel fuel.
Table 7.
Relative reduction in nitrogen oxide concentration in exhaust gases of 5S60ME-C8 MAN-B&W Diesel Group marine diesel engine under different experimental conditions.
Table 8.
Relative increase in specific effective fuel oil consumption of 5S60ME-C8 MAN-B&W Diesel Group diesel engine under different experimental conditions.
Table 9.
Relative reduction in nitrogen oxide concentration in exhaust gases of 6DL-16 Daihatsu Diesel at different experimental conditions.
Table 10.
Relative increase in specific effective fuel oil consumption of 6DL-16 Daihatsu Diesel under different experimental conditions.
For better visualisation, the values that are given in Table 7, Table 8, Table 9 and Table 10 are presented as nomograms (Figure 10 and Figure 11).
Figure 10.
Relative reduction in nitrogen oxide concentration in exhaust gases (a) and relative increase in specific effective fuel oil consumption (b) of 5S60ME-C8 MAN-B&W Diesel Group diesel engine under different experimental conditions: 1—biofuel B10 (green on the Figure); 2—biofuel B30 (yellow on the Figure).
Figure 11.
Relative decrease in nitrogen oxide concentration in exhaust gas (a) and relative increase in specific effective fuel oil consumption (b) of 6DL-16 Daihatsu Diesel under different experimental conditions: 1—biofuel B10 (green on the Figure); 2—biofuel B30 (yellow on the Figure).
The results above show that both biofuel B10 and biofuel B30 contribute to the improvement in environmental friendliness of diesel engine operation (namely, provide a reduction in nitrogen oxides (NOX) emission). However, at the same time, the efficiency of diesel engine operation deteriorates (specific effective fuel consumption increases), and for biofuel B30, at some operating modes, the increase in specific effective fuel consumption is 4.5–6.0% (diesel engine 5S60ME-C8 MAN-B&W Diesel Group) and 3.1–5.0% (diesel engine 6DL-16 Daihatsu Diesel).
Further studies were carried out using B10 biofuel, which (in comparison with B30 biofuel) provides better economic performance of the diesel engine with the same environmental performance comparatively.
The use of biofuels changes the working cycle in the diesel cylinder, primarily the combustion process [90,91]. This leads to a change in the operational performance of diesel engines, and there arises the task of determining the phases of fuel supply (primarily the advance angle of fuel supply), at which the change in these parameters increases the efficiency of the diesel engine and improves its environmental performance [92,93]. This task can be solved by conducting experiments on the main operational modes of diesel engine operation.
The studies were performed for the range of fuel advance angles recommended by the manufacturer’s θ, which were measured in degrees of crankshaft rotation angle—grad ARC—and were as follows:
- for diesel engine 5S60ME-C8 MAN-B&W Diesel Group: −1…−7 grad ARC;
- for 6DL-16 Daihatsu Diesel: −20…−8 grad ARC.
At the same time, as the most rational choice for diesel engine 5S60ME-C8 MAN-B&W Diesel Group, angle −4 grad ARC is recommended, and for diesel engine 6DL-16 Daihatsu Diesel, −14 grad ARC is recommended. These are the injection advance angles at which the diesels were operated when using diesel fuel. These are the angles that were chosen as the “baseline” for the B10 biofuel tests.
The maximum combustion pressure pz, exhaust gas temperature tg, specific effective fuel oil consumption be and nitrogen oxide concentration in exhaust gases (NOX) were selected as benchmarks for evaluating the performance of marine diesel engines. Their determination was performed with the help of the ProPower ship monitoring and diagnostics system. The choice of these indicators was justified as follows. The maximum combustion pressure characterises the energy efficiency of the diesel engine working cycle; with its increase, the performance of all the main diesel engine indicators increases, the first of which being the average indicator pressure and indicator/effective power. The temperature of exhaust gases characterises the efficiency of fuel combustion. An increase in the exhaust gas temperature indicates a shift of the combustion process to the expansion line and afterburning of fuel in the exhaust receiver. The maximum combustion pressure and exhaust gas temperature are mandatory parameters that are monitored during diesel engine operation. Their values are determined for each individual cylinder, the average for all cylinders of the diesel engine, and the deviation of values for individual cylinders from the average is calculated. Specific effective fuel consumption characterises the fuel efficiency of diesel engine operation and characterises the economic feasibility of selecting certain fuel supply parameters. Specific fuel oil consumption is also directly proportional to the total fuel consumption (hourly or daily) and affects the ship’s fuel reserves: an indicator that is relevant for sea transport vessels performing long sea or ocean passages without the possibility of bunkering. The concentration of nitrogen oxides in exhaust gases is the main indicator characterising the environmental performance of marine diesel engines. Its value is regulated in accordance with the requirements of Annex VI MARPOL and depends on the speed of the diesel engine and the year of construction of the vessel.
The experimental results are summarised in Table 11 and Table 12 and are shown in Figure 12 and Figure 13.
Table 11.
Experimental results (diesel 5S60ME-C8 MAN-B&W Diesel Group).
Table 12.
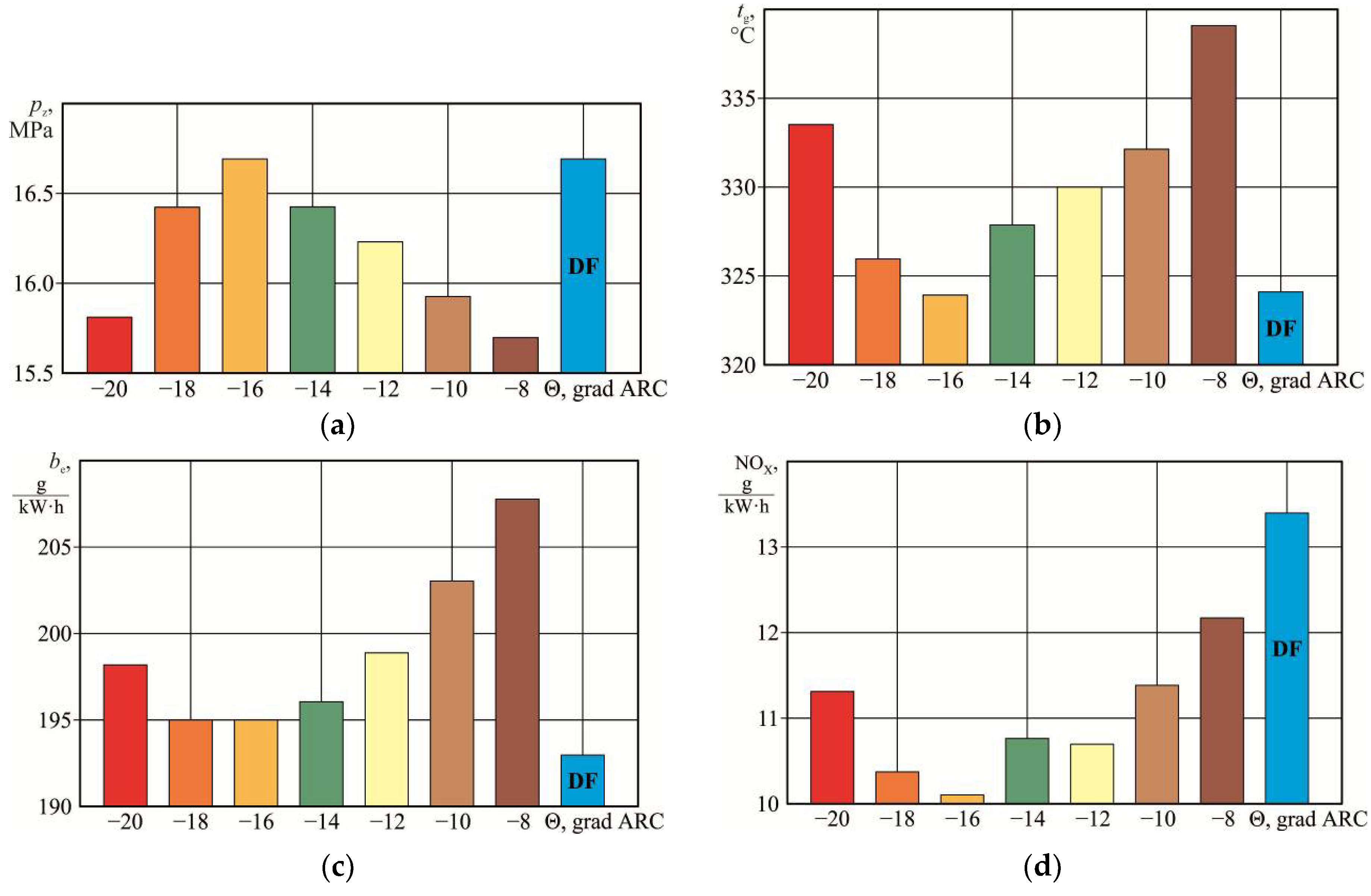
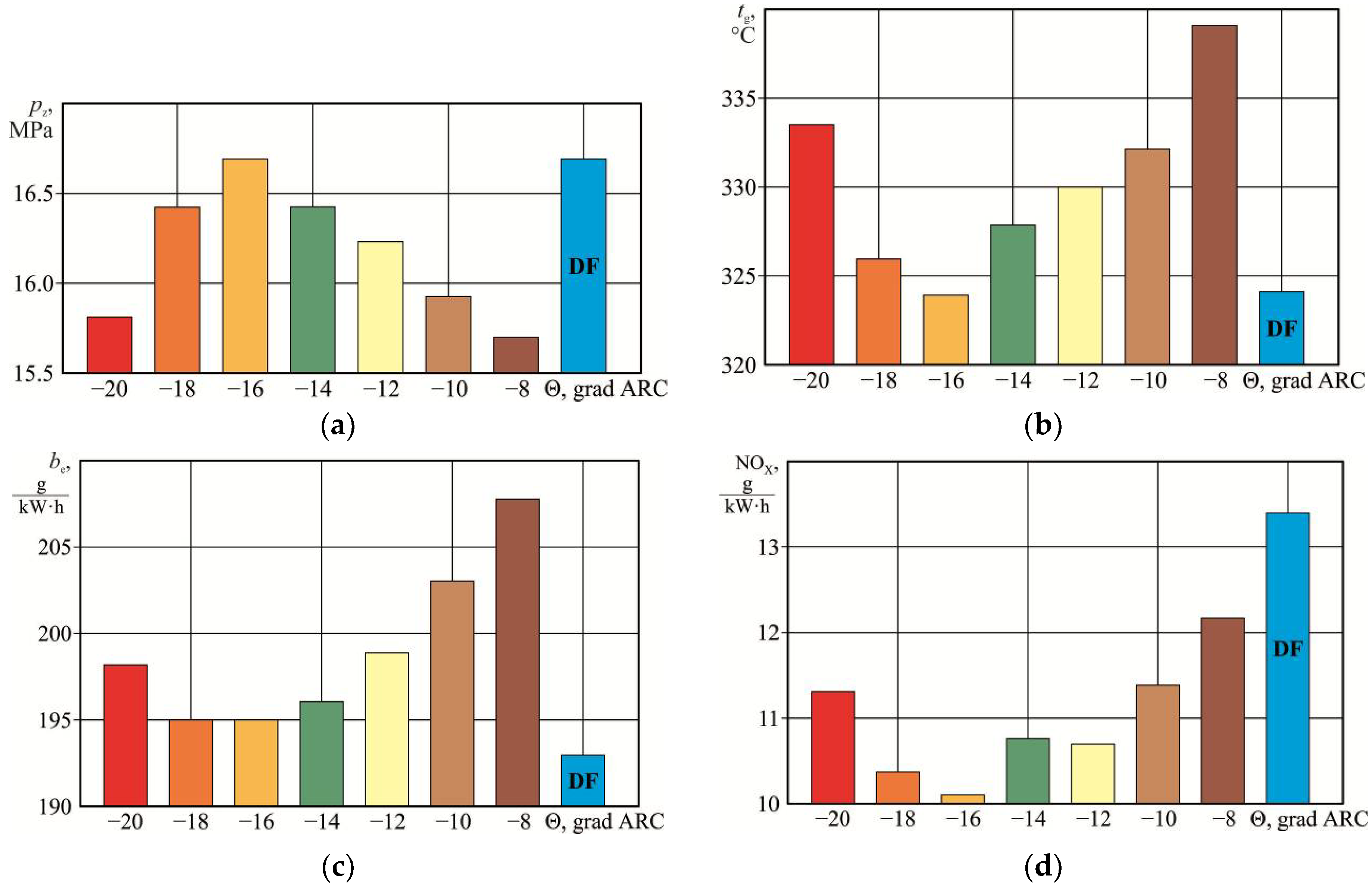
Experimental results (diesel 6DL-16 Daihatsu Diesel).

Figure 12.
Variation in performance indicators of 5S60ME-C8 MAN-B&W diesel engine at different advance angles (−7—red, −6—orange, −5—yellow, −4—green, −3—beige, −2—brown, −1—dark brown) biodiesel B10: (a) maximum combustion pressure; (b) exhaust gas temperature; (c) specific effective fuel oil consumption; (d) concentration of nitrogen oxides in exhaust gases; DF—heavy diesel fuel—blue.
Figure 13.
Variation in performance indicators of 6DL-16 Daihatsu Diesel at different advance angles (−20—red, −18—orange, −16—yellow, −14—green, −12—beige, −10—brown, −8—dark brown)of biodiesel B10: (a) maximum combustion pressure; (b) exhaust gas temperature; (c) specific effective fuel oil consumption; (d) concentration of nitrogen oxides in exhaust gases; DF—heavy diesel fuel—blue.
The relative change in the operating parameters of diesel engines at different advance angles of biodiesel B10 was carried out using the following formulae:
Relative reduction in nitrogen oxide concentration in exhaust gases:
Relative increase in specific effective fuel consumption:
Relative reduction in the maximum combustion pressure:
Relative increase in exhaust gas temperature:
where are the concentration of nitrogen oxides in exhaust gases, specific effective fuel consumption, maximum combustion pressure and temperature of exhaust gases when using diesel fuel.
are the concentration of nitrogen oxides in exhaust gases, specific effective fuel consumption, maximum combustion pressure and exhaust gas temperature at different advance angles of biodiesel B10.
Table 13.
Relative change in performance parameters of 5S60ME-C8 MAN-B&W diesel engine at different B10 biodiesel advance angles.
Table 14.
Relative change in performance parameters of 6DL-16 Daihatsu Diesel at different B10 biodiesel advance angles.
For a comprehensive assessment of the relative change in the performance indicators of diesel engines at different advance angles of biodiesel B10, the diagrams shown in Figure 14 and Figure 15 are plotted.
Figure 14.
Relative change in operational indicators of the ship diesel engine 5S60ME-C8 MAN-B&W at different advance angles of biodiesel B10: 1—temperature of exhaust gases (red); 2—specific effective fuel oil consumption (green); 3—maximum combustion pressure (yellow); 4—concentration of nitrogen oxides in exhaust gases (blue).
Figure 15.
Relative change in operational indicators of 6DL-16 Daihatsu Diesel at different advance angles of biodiesel B10: 1—temperature of exhaust gases (red); 2—specific effective fuel oil consumption (green); 3—maximum combustion pressure (yellow); 4—concentration of nitrogen oxides in exhaust gases (blue).
The ecological efficiency of B10 biodiesel use was evaluated by the value of ecological sustainability of marine diesel engines at different advance angles of B10 biodiesel supply. The value of environmental sustainability was determined by the formula
where is the maximum possible concentration of nitrogen oxides in exhaust gases according to the requirements of Annex VI MARPOL.
For diesel engine 5S60ME-C8 MAN-B&W, = 14.4 g/(kW⋅h) for diesel engine 6DL-16 Daihatsu Diesel is determined by the formula
where n is the rotational speed, min−1.
Considering the characteristics of the 6DL-16 Daihatsu Diesel
The values of environmental sustainability of marine diesel engines 5S60ME-C8 MAN-B&W and 6DL-16 Daihatsu Diesel at different advance angles of biodiesel B10 are given in Table 15 and Table 16.
Table 15.
Environmental sustainability of the 5S60ME-C8 MAN-B&W diesel engine at different B10 biodiesel advance angles.
Table 16.
Environmental sustainability of 6DL-16 Daihatsu Diesel at different B10 biodiesel advance angles.
The higher the sustainability value is, the further the value of nitrogen oxide concentration in exhaust gases is from the Annex VI MARPOL regulated value.
For better visualisation, diagrams are plotted on the values that are given in Table 15 and Table 16 (Figure 16).
Figure 16.
Environmental sustainability of marine diesel engines 5S60ME-C8 MAN-B&W (a) and 6DL-16 Daihatsu Diesel (b) at different B10 biodiesel advance angles (−7—red, −6—orange, −5—yellow, −4—green, −3—beige, −2—brown, −1—dark brown for 5S60ME-C8 MAN-B&W and −20—red, −18—orange, −16—yellow, −14—green, −12—beige, −10—brown, −8—dark brown for 6DL-16 Daihatsu Diesel).
During this research, all the main parameters of the main and auxiliary diesel engines, as well as the parameters in the systems that ensure their functioning, were controlled and maintained within the required range. These included
- pressure in the cylinder at the end of compression, exhaust gas temperature, average indicator pressure and the deviation of these indicators from the average value for all cylinders;
- diesel shaft speed;
- the valve timing (opening and closing angles of the purge and exhaust valves);
- pressure and temperature of cooling water and circulation oil at the inlet and outlet of diesel engines;
- fuel temperature and viscosity, as well as the technical condition of the high-pressure fuel equipment [94,95,96,97].
Due to the unidirectional flow of the processes and the commensurate values of the results, only the data corresponding to the maximum diesel load, namely, 0.95NeHOM for the 5S60ME-C8.2 MAN-Diesel&Turbo diesel and 0.8NeHOM for the 6DL-16 Daihatsu Diesel, are shown in Table 11, Table 12, Table 13, Table 14, Table 15 and Table 16 and Figure 13, Figure 14, Figure 15 and Figure 16.
5. Discussion
The operation of marine diesel engines is inseparably linked not only to ensuring their required power but also to maintaining the environmental performance of their operation. In this regard, the main parameters regulated by the requirements of Annex VI of MARPOL are the sulphur content in the fuel and the emission of nitrogen oxides. Ensuring the environmental sustainability of marine diesel engines can be achieved by using fuel blends that include biodiesel. The combustion of biodiesel results in a reduction in nitrogen oxide concentrations in the exhaust gases.
When using biologically derived fuel in diesel engines, oxidation and combustion processes change (compared to the operation of a diesel engine using petroleum fuel), which leads to a change in the thermodynamics of the combustion process. This is the reason for changes in the main performance indicators of the diesel engine.
Increasing the efficiency of biofuel use consists not only in choosing its optimal composition, but also in determining the optimal advance angles of biofuel supply to the diesel cylinder. Changing the advance angle of biofuel supply (compared to the variant of diesel operation on diesel fuel) is necessary due to the change in the composition of the fuel mixture that burns in the diesel cylinder.
Dependences of the main operational indicators of both two-stroke and four-stroke diesel engines on the advance angle of fuel supply have a sinusoidal form and are characterised by the presence of an optimum: the minimum values of exhaust gas temperature, nitrogen oxide concentration in exhaust gases, specific effective fuel oil consumption as well as the maximum value of combustion pressure.
In order to increase the efficiency of biofuel utilisation, it is necessary to shift the feeding process to the compression line: to increase the fuel advance angle, and the range of this change should be in accordance with the manufacturers’ recommendations regarding possible angles of fuel feeding.
The optimum advance angle of biofuel is determined experimentally and depends on the characteristics of the diesel engine.
The use of biofuel (compared to diesel operation on diesel fuel) increases the environmental sustainability of the diesel engine, which occurs over the entire range of diesel operating modes. It increases the environmental stability margin, which can be understood as the relative difference between the maximum permissible and current concentration of nitrogen oxides in the exhaust gases.
6. Conclusions
One of the ways to ensure environmental efficiency and expand the range of environmental sustainability of marine diesel engines is the use of biofuels. One of the most common types of biofuels is the biodiesel fuel FAME (Fatty Acid Methyl Ester). Marine diesel engines use fuel mixtures, the main part of which (70–90%) is made of distillate grades of fuel, with FAME fuels used as an additive (10–30%). Biofuels B10 and B30 were used as such mixtures during this study. The experiments, which were carried out on marine diesel engines 5S60ME-C8.2 MAN-Diesel&Turbo and 6DL-16 Daihatsu Diesel, allow us to come up to the following conclusions.
1. Biofuels B10 (which contains 90% distillate fuel and 10% FAME biodiesel) and B30 (which contains 70% distillate fuel and 30% FAME biodiesel), compared to heavy fuel RMG380, provide a reduction in the concentration of nitrogen oxides in exhaust gases in the following range:
- for the diesel 5S60ME-C8.2 MAN-Diesel&Turbo, by 12.95–19.90% (biofuel B10) and by 16.73–23.62% (biofuel B30);
- for the diesel 6DL-16 Daihatsu Diesel, by 14.71–21.43% (biofuel B10) and by 22.29–25.13% (biofuel B30).
- At the same time, when using biofuel, the specific effective fuel oil consumption increases:
- for the diesel 5S60ME-C8.2 MAN-Diesel&Turbo, by 1.70–4.37% (biofuel B10) and by 2.84–6.01% (biofuel B30);
- for the diesel 6DL-16 Daihatsu Diesel, by 1.55–2.51% (biofuel B10) and by 2.59–5.03% (biofuel B30).
The increase in specific effective fuel oil consumption in certain operating modes of diesel engines is a negative factor and may be the reason for limiting the use of biofuel.
2. Research on determining the effect of B10 biofuel on the performance of marine diesel engines has established that the use of biofuel changes the working process in the diesel cylinder. At the same time, depending on the biofuel injection advance angle, the following is possible:
- reduction in maximum combustion pressure: by 1.31–7.19% for the diesel 5S60ME-C8.2 MAN-Diesel&Turbo and by 1.50–5.99% for the 6DL-16 Daihatsu Diesel;
- reduction in nitrogen oxide emissions: by 7.45–21.39% for the diesel 5S60ME-C8.2 MAN-Diesel&Turbo and by 10.20–22.45% for the diesel 6DL-16 Daihatsu Diesel;
- increase in exhaust gas temperature by 0.70–4.93% for the diesel engine 5S60ME-C8.2 MAN-Diesel&Turbo and by 0.62–4.63% for the diesel engine 6DL-16 Daihatsu Diesel;
- increase in effective fuel oil consumption by 0.57–9.66% for the diesel engine 5S60ME-C8.2 MAN-Diesel&Turbo and by 1.57–8.38% for the diesel engine 6DL-16 Daihatsu Diesel.
The comparable results obtained for the two-stroke diesel engine 5S60ME-C8.2 MAN-Diesel&Turbo and the four-stroke engine 6DL-16 Daihatsu Diesel confirm the correctness of the experiments and the reliability of the conclusions. The optimal biofuel feed advance angle is determined experimentally and must comply with the limits recommended by the diesel engine operating instructions.
3. The use of B10 biofuel increases the environmental sustainability of marine diesel engines. The environmental sustainability margin is,
- for the diesel 5S60ME-C8.2 MAN-Diesel&Turbo, 13.75–26.74%;
- for the diesel 6DL-16 Daihatsu Diesel, 18.28–29.42%.
This increases the environmental safety of diesel engines in the event of emergency situations as well as accidental and short-term emissions of exhaust gases into the atmosphere with an increased content of nitrogen oxides: phenomena that are possible in starting modes of diesel operation as well as in modes of sudden load changes.
It is the increased environmental friendliness of marine diesel engines in the case of using biofuel that is the most positive criterion and contributes to the intensity of the use of biofuel in the power plants of marine vessels.
Author Contributions
Conceptualisation, S.S.; methodology, S.S., O.K. and O.V.; validation, O.M., R.R. and T.S.; data curation, O.K., T.S. and O.M.; writing, original draft preparation, O.K., R.R. and O.V.; writing, review and editing, S.S., T.S. and O.V.; visualisation, S.S., O.M. and O.K.; investigation, S.S., R.R., T.S. and O.V. All authors have read and agreed to the published version of the manuscript.
Funding
This research received no external funding.
Institutional Review Board Statement
Not applicable.
Informed Consent Statement
Not applicable.
Data Availability Statement
The original contributions presented in the study are included in the article, further inquiries can be directed to the corresponding author.
Conflicts of Interest
The authors declare no conflicts of interest.
References
- Sagin, S.; Madey, V.; Sagin, A.; Stoliaryk, T.; Fomin, O.; Kučera, P. Ensuring Reliable and Safe Operation of Trunk Diesel Engines of Marine Transport Vessels. J. Mar. Sci. Eng. 2022, 10, 1373. [Google Scholar] [CrossRef]
- Ma, Z.; Du, T.; Duan, S.; Qu, H.; Wang, K.; Xing, H.; Zou, Y.; Sun, P. Analysis of Exhaust Pollutants from Four-Stroke Marine Diesel Engines Based on Bench Tests. J. Mar. Sci. Eng. 2023, 11, 413. [Google Scholar] [CrossRef]
- Kaminski, P. Experimental Investigation into the Effects of Fuel Dilution on the Change in Chemical Properties of Lubricating Oil Used in Fuel Injection Pump of Pielstick PA4V185 Marine Diesel Engine. Lubricants 2022, 10, 162. [Google Scholar] [CrossRef]
- Skoko, I.; Stanivuk, T.; Franic, B.; Bozic, D. Comparative Analysis of CO2 Emissions, Fuel Consumption, and Fuel Costs of Diesel and Hybrid Dredger Ship Engines. J. Mar. Sci. Eng. 2024, 12, 999. [Google Scholar] [CrossRef]
- Vorokhobin, I.; Burmaka, I.; Fusar, I.; Burmaka, O. Simulation Modeling for Evaluation of Efficiency of Observed Ship Coordinates. TransNav Int. J. Mar. Navig. Saf. Sea Transp. 2022, 16, 137–141. [Google Scholar] [CrossRef]
- Melnyk, O.; Onyshchenko, S.; Onishchenko, O.; Lohinov, O.; Ocheretna, V. Integral Approach to Vulnerability Assessment of Ship’s Critical Equipment and Systems. Trans. Marit. Sci. 2023, 12, 1–10. [Google Scholar] [CrossRef]
- Wang, Y.; Wright, L.A. A Comparative Review of Alternative Fuels for the Maritime Sector: Economic, Technology, and Policy Challenges for Clean Energy Implementation. World 2020, 2, 456–481. [Google Scholar] [CrossRef]
- Shim, H.; Kim, Y.H.; Hong, J.-P.; Hwang, D.; Kang, H.J. Marine Demonstration of Alternative Fuels on the Basis of Propulsion Load Sharing for Sustainable Ship Design. J. Mar. Sci. Eng. 2023, 11, 567. [Google Scholar] [CrossRef]
- Lu, R.; Ringsberg, J.W. Ship energy performance study of three wind-assisted ship propulsion technologies including a parametric study of the Flettner rotor technology. Ships Offshore Struct. 2020, 15, 249–258. [Google Scholar] [CrossRef]
- Van, T.G.; Ramirez, J.; Ristovskim, Z.; Brown, R.J. Global impact of recent IMO regulation on marine fuel oil refining processes and ship emissions. Transp. Res. Part D Transp. Environ. 2019, 70, 123–134. [Google Scholar] [CrossRef]
- Van Roy, W.; Merveille, J.-B.; Scheldeman, K.; Van Nieuwenhove, A.; Schallier, R.; Van Roozendael, B.; Maes, F. Assessment of the Effect of International Maritime Regulations on Air Quality in the Southern North Sea. Atmosphere 2023, 14, 969. [Google Scholar] [CrossRef]
- Sagin, S.V.; Kuropyatnyk, O.A. The Use of Exhaust Gas Recirculation for Ensuring the Environmental Performance of Marine Diesel Engines. Naše More Int. J. Marit. Sci. Technol. 2018, 65, 78–86. [Google Scholar] [CrossRef]
- Yu, P.; Yin, Y.; Yue, Q.; Wu, S. Experimental Study of Ship Motion Effect on Pressurization and Holding Time of Tank Containers during Marine Transportation. Sustainability 2022, 14, 3595. [Google Scholar] [CrossRef]
- Melnyk, O.; Onyshchenko, S.; Onishchenko, O. Development measures to enhance the ecological safety of ships and reduce operational pollution to the environment. Sci. J. Silesian Univ. Technol. Ser. Transp. 2023, 118, 195–206. [Google Scholar] [CrossRef]
- Myrhorod, V.; Hvozdeva, I.; Budashko, V. Multiparameter Approximation Model of Temperature Conditions of Marine Diesel Generator Sets, Based on Markov Chain Monte Carlo. TransNav 2022, 16, 779–784. [Google Scholar] [CrossRef]
- Budashko, V.; Shevchenko, V. The Synthesis Of Control System To Synchronize Ship Generator Assemblies. East.-Eur. J. Enterp. Technol. 2021, 1, 45–63. [Google Scholar] [CrossRef]
- Wang, X.; Zhu, J.; Han, M. Industrial Development Status and Prospects of the Marine Fuel Cell: A Review. J. Mar. Sci. Eng. 2023, 11, 238. [Google Scholar] [CrossRef]
- Gan, S.; Shi, W.; Xu, X. Proposed Z-Source Electrical Propulsion System of a Fuel Cell/Supercapacitor-Powered Ship. J. Mar. Sci. Eng. 2023, 11, 1543. [Google Scholar] [CrossRef]
- ISO 8217:2024; Products from Petroleum, Synthetic and Renewable Sources—Fuels (Class F)—Specifications of Marine Fuels. ISO: Geneva, Switzerland, 2024.
- Aydın, S. Detailed evaluation of combustion, performance and emissions of ethyl proxitol and methyl proxitol-safflower biodiesel blends in a power generator diesel engine. Fuel 2020, 270, 117492. [Google Scholar] [CrossRef]
- Sagin, S.V.; Semenov, O.V. Motor Oil Viscosity Stratification in Friction Units of Marine Diesel Motors. Am. J. Appl. Sci. 2016, 13, 200–208. [Google Scholar] [CrossRef]
- Temizer, I.; Cihan, O.; Eskici, B. Numerical and experimental investigation of the effect of biodiesel/diesel fuel on combustion characteristics in CI engine. Fuel 2020, 270, 117523. [Google Scholar] [CrossRef]
- Sagin, S.; Kuropyatnyk, O.; Sagin, A.; Tkachenko, I.; Fomin, O.; Píštěk, V.; Kučera, P. Ensuring the Environmental Friendliness of Drillships during Their Operation in Special Ecological Regions of Northern Europe. J. Mar. Sci. Eng. 2022, 10, 1331. [Google Scholar] [CrossRef]
- Likhanov, V.A.; Lopatin, O.P.; Yurlov, A.S.; Anfilatova, N.S. Simulation of soot formation in a tractor diesel engine running on rapeseed oil methyl ether and methanol. IOP Conf. Ser. Earth Environ. Sci. 2021, 839, 052057. [Google Scholar] [CrossRef]
- Likhanov, V.A.; Lopatin, O.P. Dynamics of soot formation and burnout in a gas diesel cylinder. IOP Conf. Ser. Mater. Sci. Eng. 2020, 862, 062033. [Google Scholar] [CrossRef]
- Varbanets, R.; Fomin, O.; Píštěk, V.; Klymenko, V.; Minchev, D.; Khrulev, A.; Zalozh, V.; Kučera, P. Acoustic Method for Estimation of Marine Low-Speed Engine Turbocharger Parameters. J. Mar. Sci. Eng. 2021, 9, 321. [Google Scholar] [CrossRef]
- Shen, F.; Li, X. Effects of fuel types and fuel sulfur content on the characteristics of particulate emissions in marine low-speed diesel engine. Environ. Sci. Pollut. Res. 2020, 27, 37229–37236. [Google Scholar] [CrossRef] [PubMed]
- Wanderley Neto, A.O.; Rodrigues, D.V.; De Oliveira Freitas, J.C.; Da Silva, V.L.; Ribeiro, L.S.; Nunes Da Silva, D.N. A novel oil-in-water microemulsion as a cementation flushing fluid for removing non-aqueous filter cake. J. Pet. Sci. Eng. 2020, 184, 106536. [Google Scholar] [CrossRef]
- Sagin, S.V.; Solodovnikov, V.G. Cavitation Treatment of High-Viscosity Marine Fuels for Medium-Speed Diesel Engines. Mod. Appl. Sci. 2015, 9, 269–278. [Google Scholar] [CrossRef]
- Nelyubov, D.V.; Fakhrutdinov, M.I.; Sarkisyan, A.A.; Sharin, E.A.; Ershov, M.A.; Makhova, U.A.; Makhmudova, A.E.; Klimov, N.A.; Rogova, M.Y.; Savelenko, V.D.; et al. New Prospects of Waste Involvement in Marine Fuel Oil: Evolution of Composition and Requirements for Fuel with Sulfur Content up to 0.5%. J. Mar. Sci. Eng. 2023, 11, 1460. [Google Scholar] [CrossRef]
- Ershov, M.A.; Savelenko, V.D.; Makhmudova, A.E.; Rekhletskaya, E.S.; Makhova, U.A.; Kapustin, V.M.; Mukhina, D.Y.; Abdellatief, T.M.M. Technological Potential Analysis and Vacant Technology Forecasting in Properties and Composition of Low-Sulfur Marine Fuel Oil (VLSFO and ULSFO) Bunkered in Key World Ports. J. Mar. Sci. Eng. 2022, 10, 1828. [Google Scholar] [CrossRef]
- Chen, C.; Yao, A.; Yao, C.; Wang, D.; Lu, H.; Fen, J. Study of the characteristics of PM and the correlation of soot and smoke opacity on the diesel methanol dual fuel engine. Appl. Therm. Eng. 2019, 148, 391–403. [Google Scholar] [CrossRef]
- Zhang, Z.; Tian, J.; Xie, G.; Li, J.; Xu, W.; Jiang, F.; Huang, Y.; Tan, D. Investigation on the combustion and emission characteristics of diesel engine fueled with diesel/methanol/n-butanol blends. Fuel 2022, 314, 123088. [Google Scholar] [CrossRef]
- Zhang, Z.; Li, J.; Tian, J.; Dong, R.; Zou, Z.; Gao, S.; Tan, D. Performance, combustion and emission characteristics investigations on a diesel engine fueled with diesel/ethanol/n-butanol blends. Energy 2022, 249, 123733. [Google Scholar] [CrossRef]
- Tabatabaeiab, M.; Aghbashlo, M.; Dehhaghice, M.; Kazem, H.; Panahic, S.; Mollahosseini, A.; Hosseini, M.; Soufiya, M. Reactor technologies for biodiesel production and processing. Prog. Energy Combust. Sci. 2019, 74, 239–303. [Google Scholar] [CrossRef]
- Sahar, M.; Kassem, H.; Driss, Z.; Abid, M. Effects of hydrogen enrichment and injection location on in-cylinder flow characteristics, performance and emissions of gaseous LPG engine. Energy 2021, 150, 92–108. [Google Scholar] [CrossRef]
- Zablotsky, Y.V.; Sagin, S.V. Enhancing Fuel Efficiency and Environmental Specifications of a Marine Diesel When using Fuel Additives. Indian J. Sci. Technol. 2016, 9, 353–362. [Google Scholar] [CrossRef]
- Sagin, S.V.; Kuropyatnyk, O.A.; Zablotskyi, Y.V.; Gaichenia, O.V. Supplying of Marine Diesel Engine Ecological Parameters. Naše More Int. J. Marit. Sci. Technol. 2022, 69, 53–61. [Google Scholar] [CrossRef]
- Öztürk, E.; Can, Ö. Effects of EGR, injection retardation and ethanol addition on combustion, performance and emissions of a DI diesel engine fueled with canola biodiesel/diesel fuel blend. Energy 2020, 244, 123129. [Google Scholar] [CrossRef]
- Feng, C.; Deng, Y.; Chen, L.; Han, W.; Jiaqiang, E.; Wei, K.; Han, D.; Zhang, B. Hydrocarbon emission control of a hydrocarbon adsorber and converter under cold start of the gasoline engine. Energy 2022, 239, 122138. [Google Scholar] [CrossRef]
- Cruz-Peragón, F.; Torres-Jiménez, E.; Lešnik, L.; Arma, O. Methodology improvements to simulate performance and emissions of engine transient cycles from stationary operating modes. A case study applied to biofuels. Fuel 2022, 312, 122977. [Google Scholar] [CrossRef]
- Chena, Z.; Chena, H.; Wang, L.; Geng, L.; Zen, K. Parametric study on effects of excess air/fuel ratio, spark timing, and methanol injection timing on combustion characteristics and performance of natural gas/methanol dual-fuel engine at low loads. Energy Convers. Manag. 2020, 210, 112742. [Google Scholar] [CrossRef]
- Yadav, P.; Athanassiadis, D.; Yacout, D.; Tysklind, M.; Upadhyayula, V. Environmental Impact and Environmental Cost Assessment of Methanol Production from wood biomass. Environ. Pollut. 2020, 265, 114990. [Google Scholar] [CrossRef]
- Sagin, S.V.; Sagin, S.S.; Fomin, O.; Gaichenia, O.; Zablotskyi, Y.; Píštěk, V.; Kučera, P. Use of biofuels in marine diesel engines for sustainable and safe maritime transport. Renew. Energy 2024, 224, 120221. [Google Scholar] [CrossRef]
- Likhanov, V.A.; Lopatin, O.P.; Yurlov, A.S.; Anfilatova, N.S. Investigation of the effective performance of diesel engines running on methanol and rapeseed oil methyl ether. J. Phys. Conf. Ser. 2021, 1889, 042067. [Google Scholar] [CrossRef]
- Yang, L.; Liu, M.; Liu, Y.; Zhang, T.; Lu, H.; Lu, Q.; Yan, J. Thermo-Mechanical Coupling Analysis of the Sealing Structure Stress of LNG Cryogenic Hose Fittings. J. Mar. Sci. Eng. 2024, 12, 581. [Google Scholar] [CrossRef]
- Lopez, J.A.; Alvarez, P.; Onur, B.; Kiliciris, A.; Vis, F.A. An inventory control policy for liquefied natural gas as a transportation fuel. Omega 2020, 90, 101985. [Google Scholar] [CrossRef]
- Mei, D.; Yu, Q.; Zhang, Z.; Yue, S.; Tu, L. Effects of Two Pilot Injection on Combustion and Emissions in a PCCI Diesel Engine. Energies 2021, 14, 1651. [Google Scholar] [CrossRef]
- Kim, J.K.; Jeong, B.; Choi, J.-H.; Lee, W.-J. Life Cycle Assessment of LPG Engines for Small Fishing Vessels and the Applications of Bio LPG Fuel in Korea. J. Mar. Sci. Eng. 2023, 11, 1488. [Google Scholar] [CrossRef]
- Chun, K.W.; Kim, M.; Hur, J.-J. Development of a Marine LPG-Fueled High-Speed Engine for Electric Propulsion Systems. J. Mar. Sci. Eng. 2022, 10, 1498. [Google Scholar] [CrossRef]
- Chen, C.; Yao, A.; Yao, C.; Wang, H.; Liu, M.; Li, Z. Selective catalytic reduction of nitrogen oxides with methanol over the (Cobalt-Molybdenum)/Alumina dual catalysts under the diesel methanol dual fuel conditions. Chem. Eng. Sci. 2020, 211, 115320. [Google Scholar] [CrossRef]
- Knight, M.; Blanco-Davis, E.; Platt, O.; Armin, M. Life-Cycle and Applicational Analysis of Hydrogen Production and Powered Inland Marine Vessels. J. Mar. Sci. Eng. 2023, 11, 1611. [Google Scholar] [CrossRef]
- Drazdauskas, M.; Lebedevas, S. Optimization of Combustion Cycle Energy Efficiency and Exhaust Gas Emissions of Marine Dual-Fuel Engine by Intensifying Ammonia Injection. J. Mar. Sci. Eng. 2024, 12, 309. [Google Scholar] [CrossRef]
- Xiao, H.; Ying, W.; Chen, A.; Chen, G.; Liu, Y.; Lyu, Z.; Qiao, Z.; Li, J.; Zhou, Z.; Deng, X. Study on the Impact of Ammonia–Diesel Dual-Fuel Combustion on Performance of a Medium-Speed Diesel Engine. J. Mar. Sci. Eng. 2024, 12, 806. [Google Scholar] [CrossRef]
- Zhang, Z.; Tian, J.; Li, J.; Wang, S.; Zhong, Y.; Dong, R.; Gao, S.; Cao, C.; Tan, D. Investigation on combustion, performance and emission characteristics of a diesel engine fueled with diesel/alcohol/n-butanol blended fuels. Fuel 2022, 320, 123975. [Google Scholar] [CrossRef]
- Ingaldi, M.; Klimenska-Tatar, D. People’s Attitude to Energy from Hydrogen—From the Point of View of Modern Energy Technologies and Social Responsibility. Energies 2020, 13, 6495. [Google Scholar] [CrossRef]
- Jiaqi, H.; Helin, X.; Xiaolong, Y.; Fengyun, G.; Xiuqing, H. Effects of methanol blending on combustion characteristics and various emissions of a diesel engine fueled with soybean biodiesel. Fuel 2020, 15, 118734. [Google Scholar] [CrossRef]
- Legue, D.R.K.; Ayissi, Z.M.; Babikir, M.H.; Obounou, M.; Ekobena Fouda, H.P. Experimental and Simulation of Diesel Engine Fueled with Biodiesel with Variations in Heat Loss Model. Energies 2021, 14, 1622. [Google Scholar] [CrossRef]
- Fomin, O.; Lovska, A.; Kučera, P.; Píštěk, V. Substantiation of Improvements for the Bearing Structure of an Open Car to Provide a Higher Security during Rail/Sea Transportation. J. Mar. Sci. Eng. 2021, 9, 873. [Google Scholar] [CrossRef]
- Andrade Torres, F.; Doustdar, O.; Herreros, J.M.; Li, R.; Poku, R.; Tsolakis, A.; Martins, J.; Vieira de Melo, S.A.B. A Comparative Study of Biofuels and Fischer–Tropsch Diesel Blends on the Engine Combustion Performance for Reducing Exhaust Gaseous and Particulate Emissions. Energies 2021, 14, 1538. [Google Scholar] [CrossRef]
- Popovskii, A.Y.; Altoiz, B.A.; Butenko, V.F. Structural Properties and Model Rheological Parameters of an ELC Layer of Hexadecane. J. Eng. Phys. Thermophys. 2019, 92, 703–709. [Google Scholar] [CrossRef]
- Strus, M.; Poprawski, W. Efficiency of the Diesel engine fuelled with the advanced biofuel Bioxdiesel. Combust. Engines 2021, 186, 89–95. [Google Scholar] [CrossRef]
- Zhang, Z.; Li, J.; Tian, J.; Xie, G.; Tan, D.; Qin, B.; Huang, Y.; Cui, S. Effects of Different Diesel-Ethanol Dual Fuel Ratio on Performance and Emission Characteristics of Diesel Engine. Processes 2021, 9, 1135. [Google Scholar] [CrossRef]
- Gharehghani, A.; Kakoee, A.; Andwari, A.M.; Megaritis, T.; Pesyridis, A. Numerical Investigation of an RCCI Engine Fueled with Natural Gas/Dimethyl-Ether in Various Injection Strategies. Energies 2021, 14, 1638. [Google Scholar] [CrossRef]
- Sagin, S.; Karianskyi, S.; Madey, V.; Sagin, A.; Stoliaryk, T.; Tkachenko, I. Impact of Biofuel on the Environmental and Economic Performance of Marine Diesel Engines. J. Mar. Sci. Eng. 2023, 11, 120. [Google Scholar] [CrossRef]
- Visan, N.A.; Carlanescu, R.; Niculescu, D.C.; Chiriac, R. Study on the Cumulative Effects of Using a High-Efficiency Turbocharger and Biodiesel B20 Fuelling on Performance and Emissions of a Large Marine Diesel Engine. J. Mar. Sci. Eng. 2022, 10, 1403. [Google Scholar] [CrossRef]
- Najafi, G.; Shadidi, B.; Mamat, R.; Safieddin Ardebili, S.M.; Hazrati, S.; Ebadi, M.T.; Ghazali, M.F. Multi-objective optimization of the performance and emissions characteristics of a CI engine powered by Pyrus glabra biodiesel as a novel feedstock using response surface method. Biofuels 2024, 1–10. [Google Scholar] [CrossRef]
- Madey, V.V. Usage of biodiesel in marine diesel engines. Austrian J. Tech. Nat. Sci. Sci. J. 2021, 7–8, 18–21. [Google Scholar] [CrossRef]
- Shadidi, B.; Najafi, G.; Zolfigol, M.A. A Review of the Existing Potentials in Biodiesel Production in Iran. Sustainability 2022, 14, 3284. [Google Scholar] [CrossRef]
- Labeckas, G.; Slavinskas, S.; Mickevicius, T. Experimental investigation of biodiesel-n-butanol fuels blends on performance and emissions in a diesel engine. Combust. Engines 2022, 188, 90–95. [Google Scholar] [CrossRef]
- Melnyk, O.; Onyshchenko, S.; Onishchenko, O.; Koskina, Y.; Lohinov, O.; Veretennik, O.; Stukalenko, O. Fundamental Concepts of Deck Cargo Handling and Transportation Safety. Eur. Transp. 2024, 98, 1. [Google Scholar] [CrossRef]
- Madey, V. Assessment of the efficiency of biofuel use in the operation of marine diesel engines. Technol. Audit. Prod. Reserves 2022, 2, 34–41. [Google Scholar] [CrossRef]
- Likhanov, V.A.; Lopatin, O.P.; Vylegzhanin, P.N. Calculation of geometric parameters of diesel fuel ignition flares. IOP Conf. Ser. Mater. Sci. Eng. 2020, 862, 062074. [Google Scholar] [CrossRef]
- Ershov, M.A.; Grigorieva, E.V.; Abdellatief, T.M.M.; Chernysheva, E.A.; Makhin, D.Y.; Kapustin, V.M. A New Approach for Producing Mid-Ethanol Fuels E30 Based on Low-Octane Hydrocarbon Surrogate Blends. Fuel Process. Technol. 2021, 213, 106688. [Google Scholar] [CrossRef]
- Salova, T.; Lekomtsev, P.; Likhanov, V.; Lopatin, O.; Belov, E. Development of calculation methods and optimization of working processes of heat engines. AIP Conf. Proc. 2023, 2700, 050015. [Google Scholar] [CrossRef]
- Gorb, S.; Levinskyi, M.; Budurov, M. Sensitivity Optimisation of a Main Marine Diesel Engine Electronic Speed Governor. Sci. Horiz. 2021, 24, 9–19. [Google Scholar] [CrossRef]
- Zhang, Y.; Zhong, Y.; Wang, J.; Tan, D.; Zhang, Z.; Yang, D. Effects of Different Biodiesel-Diesel Blend Fuel on Combustion and Emission Characteristics of a Diesel Engine. Processes 2021, 9, 1984. [Google Scholar] [CrossRef]
- Gorb, S.; Popovskii, A.; Budurov, M. Adjustment of speed governor for marine diesel generator engine. Int. J. GEOMATE 2023, 25, 125–132. [Google Scholar] [CrossRef]
- Varbanets, R.; Shumylo, O.; Marchenko, A.; Minchev, D.; Kyrnats, V.; Zalozh, V.; Aleksandrovska, N.; Brusnyk, R.; Volovyk, K. Concept of vibroacoustic diagnostics of the fuel injection and electronic cylinder lubrication systems of marine diesel engines. Pol. Marit. Res. 2022, 29, 88–96. [Google Scholar] [CrossRef]
- Lee, J.-U.; Hwang, S.-C.; Han, S.-H. Numerical and Experimental Study on NOx Reduction According to the Load in the SCR System of a Marine Boiler. J. Mar. Sci. Eng. 2023, 11, 777. [Google Scholar] [CrossRef]
- Ershov, M.A.; Grigorieva, E.V.; Abdellatief, T.M.M. Hybrid Low-Carbon High-Octane Oxygenated Environmental Gasoline Based on Low-Octane Hydrocarbon Fractions. Sci. Total Environ. 2021, 756, 142715. [Google Scholar] [CrossRef]
- Minchev, D.S.; Gogorenko, O.A.; Kyrnats, V.I.; Varbanets, R.A.; Moshentsev, Y.L.; Píštěk, V.; Kučera, P.; Shumylo, O.M. Prediction of centrifugal compressor instabilities for internal combustion engines operating cycle simulation. Proc. Inst. Mech. Eng. Part D J. Automob. Eng. 2023, 237, 572–584. [Google Scholar] [CrossRef]
- Neumann, S.; Varbanets, R.; Minchev, D.; Malchevsky, V.; Zalozh, V. Vibrodiagnostics of marine diesel engines in IMES GmbH systems. Ships Offshore Struct. 2022, 18, 1535–1546. [Google Scholar] [CrossRef]
- Sagin, S.V.; Solodovnikov, V.G. Estimation of Operational Properties of Lubricant Coolant Liquids by Optical Methods. Int. J. Appl. Eng. Res. 2017, 12, 8380–8391. [Google Scholar]
- Sagin, S.V.; Semenov, O.V. Marine Slow-Speed Diesel Engine Diagnosis with View to Cylinder Oil Specification. Am. J. Appl. Sci. 2016, 13, 618–627. [Google Scholar] [CrossRef]
- Sultanbekov, R.; Denisov, K.; Zhurkevich, A.; Islamov, S. Reduction of Sulphur in Marine Residual Fuels by Deasphalting to Produce VLSFO. J. Mar. Sci. Eng. 2022, 10, 1765. [Google Scholar] [CrossRef]
- Sagin, S.V.; Karianskyi, S.; Sagin, S.S.; Volkov, O.; Zablotskyi, Y.; Fomin, O.; Píštěk, V.; Kučera, P. Ensuring the safety of maritime transportation of drilling fluids by platform supply-class vessel. Appl. Ocean Res. 2023, 140, 103745. [Google Scholar] [CrossRef]
- Kneba, Z.; Stepanenko, D.; RudnickiI, J. Numerical methodology for evaluation the combustion and emissions characteristics on WLTP in the light duty dual-fuel diesel vehicle. Combust. Engines 2022, 189, 94–102. [Google Scholar] [CrossRef]
- Liu, L.; Liu, S.; Liu, D. Research on the Ignition Strategy of Diesel Direct Injection Combined with Jet Flame on the Combustion Character of Natural Gas in a Dual-Fuel Marine Engine. J. Mar. Sci. Eng. 2024, 12, 857. [Google Scholar] [CrossRef]
- Lopatin, O.P. Investigation of the combustion process in a dual-fuel engine. J. Phys. Conf. Ser. 2024, 2697, 012079. [Google Scholar] [CrossRef]
- Lopatin, O.P. Modeling of physico-chemical processes in the combustion chamber of gas diesel. AIP Conf. Proc. 2024, 2969, 050008. [Google Scholar] [CrossRef]
- Gorb, S.; Budurov, M. Increasing the accuracy of a marine diesel engine operation limit by thermal factor. Int. J. Theor. Appl. Mech. 2021, 6, 18–26. [Google Scholar] [CrossRef]
- Varbanets, R.; Minchev, D.; Savelieva, I.; Rodionov, A.; Mazur, T.; Psariuk, S.; Bondarenko, V. Advanced marine diesel engines diagnostics for IMO decarbonization compliance. AIP Conf. Proc. 2024, 3104, 020004. [Google Scholar] [CrossRef]
- Popovskii, Y.M.; Sagin, S.V.; Khanmamedov, S.A.; Grebenyuk, M.N.; Teregerya, V.V. Designing, calculation, testing and reliability of machines: Influence of anisotropic fluids on the operation of frictional components. Russ. Eng. Res. 1996, 16, 1–7. [Google Scholar]
- Zablotsky, Y.V.; Sagin, S.V. Maintaining Boundary and Hydrodynamic Lubrication Modes in Operating High-pressure Fuel Injection Pumps of Marine Diesel Engines. Indian J. Sci. Technol. 2016, 9, 208–216. [Google Scholar] [CrossRef]
- Yang, Z.; Tan, Z.; Tan, Q.; Tu, S. Analysis of Carbon Particulate Matter Removal Performance of Dual-Fuel Marine Engine with DOC + CDPF. Atmosphere 2023, 14, 1041. [Google Scholar] [CrossRef]
- Varbanets, R.; Zalozh, V.; Shakhov, A.; Savelieva, I.; Piterska, V. Determination of top dead centre location based on the marine diesel engine indicator diagram analysis. Diagnostyka 2020, 21, 51–60. [Google Scholar] [CrossRef]
Disclaimer/Publisher’s Note: The statements, opinions and data contained in all publications are solely those of the individual author(s) and contributor(s) and not of MDPI and/or the editor(s). MDPI and/or the editor(s) disclaim responsibility for any injury to people or property resulting from any ideas, methods, instructions or products referred to in the content. |
© 2024 by the authors. Licensee MDPI, Basel, Switzerland. This article is an open access article distributed under the terms and conditions of the Creative Commons Attribution (CC BY) license (https://creativecommons.org/licenses/by/4.0/).