Numerical Investigation on the Interaction between a Tsunami-like Solitary Wave and a Monopile on a Sloping Sandy Seabed
Abstract
1. Introduction
2. Integrated Numerical Model
2.1. Governing Equations for Waves
2.2. Governing Equations of Porous Sloping Sandy Seabeds
3. Boundary Conditions and Numerical Method
4. Results and Discussion
4.1. Comparison of the Solitary Wave Surface Elevation
4.2. Comparison of the Maximum Run-Up Height on a Vertical Cylinder
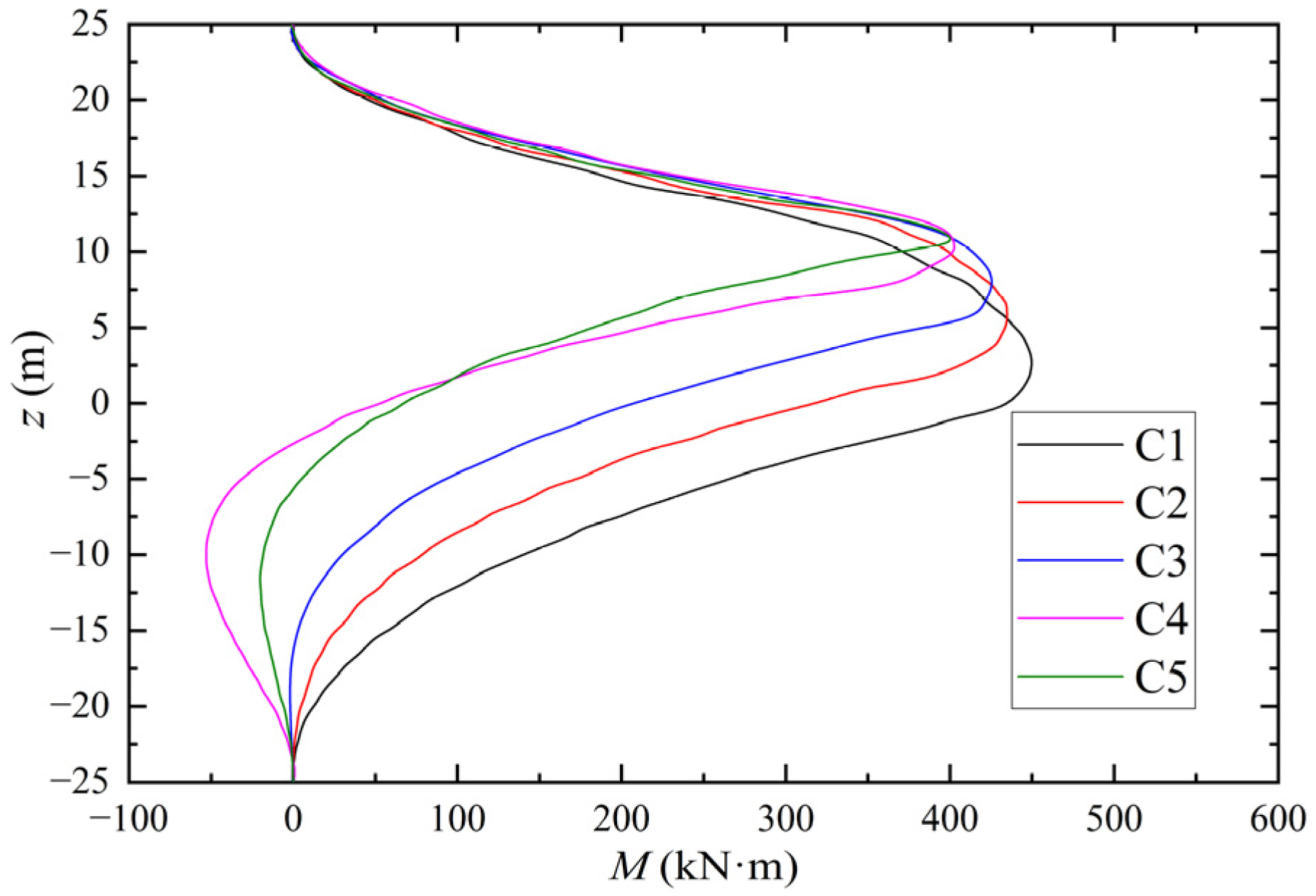
4.3. Solitary Wave Interaction with the Monopile on the Sloping Sandy Seabed
5. Conclusions
Author Contributions
Funding
Institutional Review Board Statement
Informed Consent Statement
Data Availability Statement
Conflicts of Interest
Glossary
| ensemble mean fluid velocity | |
| xi | coordinates x, y, and z |
| ρf | fluid density |
| ρ | average density of porous sloping sandy seabed |
| μ | dynamic viscosity |
| fluid pressure | |
| t | time |
| gi | gravitational acceleration |
| μt | turbulent viscosity |
| k | turbulence kinetic energy |
| δij | Kronecker delta |
| ε | rate of turbulent kinetic energy dissipation |
| μt | turbulent kinematic viscosity |
| p | pore pressure |
| γw | unit weight water |
| n | soil porosity |
| u, v, and w | soil displacements |
| , and | effective normal stresses |
| τxy, τyz, and τxz | shear stresses |
| β | compressibility of pore fluid |
| Kw | bulk modulus of pore water |
| Pw0 | absolute water pressure |
| G | shear modulus |
| H | wave height |
| h | undisturbed water depth |
| η | initial estimate of water elevation |
| F | volume fraction |
| n | normal vector of boundaries |
| pb | dynamic wave pressure on sloping sandy seabed surface |
| Rmax | maximum solitary wave run-up height on vertical wall |
| ρs | density of sloping sandy seabed |
| vs | Poisson ratio of sloping sandy seabed |
| Es | Young’s modulus of sloping sandy seabed |
| kz | permeability of sloping sandy seabed |
| Sr | degree of saturation of sloping sandy seabed |
| Em | Young’s modulus of monopole |
| vm | Poisson ratio of monopole |
| ρm | density of monopole |
| D | monopile diameter |
References
- Chen, J.; Huang, Z.; Jiang, C.; Deng, B.; Long, Y. Tsunami-Induced Scour at Coastal Roadways: A Laboratory Study. Nat. Hazards 2013, 69, 655–674. [Google Scholar] [CrossRef]
- Bricker, J.D.; Francis, M.; Nakayama, A. Scour Depths near Coastal Structures due to the 2011 Tohoku Tsunami. J. Hydraul. Res. 2012, 50, 637–641. [Google Scholar] [CrossRef]
- Tanaka, N.; Sato, M. Scoured Depth and Length of Pools and Ditches Generated by Overtopping Flow from Embankments during the 2011 Great East Japan Tsunami. Ocean Eng. 2015, 109, 72–82. [Google Scholar] [CrossRef]
- Lombardi, D.; Bhattacharya, S.; Muir Wood, D. Dynamic Soil-Structure Interaction of Monopile Supported Wind Turbines in Cohesive Soil. Soil Dyn. Earthq. Eng. 2013, 49, 165–180. [Google Scholar] [CrossRef]
- Jung, S.; Kim, S.R.; Patil, A.; Hung, L.C. Effect of Monopile Foundation Modeling on the Structural Response of a 5-MW Offshore Wind Turbine Tower. Ocean Eng. 2015, 109, 479–488. [Google Scholar] [CrossRef]
- Sassa, S.; Takahashi, H.; Morikawa, Y.; Takano, D. Effect of Overflow and Seepage Coupling on Tsunami-Induced Instability of Caisson Breakwaters. Coast. Eng. 2016, 117, 157–165. [Google Scholar] [CrossRef]
- Ye, J.; Jeng, D.; Ren, W.; Zhu, C. Numerical Study of the Stability of Breakwater Built on a Sloped Porous Seabed under Tsunami Loading. Appl. Math. Model. 2013, 37, 9575–9590. [Google Scholar]
- Clamond, D.; Dutykh, D. Fast accurate computation of the fully nonlinear solitary surface gravity waves. Comput. Fluids 2013, 84, 35–38. [Google Scholar] [CrossRef]
- Dutykh, D.; Clamond, D. Efficient computation of steady solitary gravity waves. Wave Motion 2014, 51, 86–99. [Google Scholar] [CrossRef]
- Abdalazeez, A.; Didenkulova, I.; Dutykh, D. Nonlinear deformation and run-up of single tsunami waves of positive polarity: Numerical simulations and analytical predictions. Nat. Hazards Earth Syst. Sci. 2019, 19, 2905–2913. [Google Scholar] [CrossRef]
- Watanabe, M.; Arikawa, T.; Kihara, N.; Tsurudome, C.; Hosaka, K.; Kimura, T.; Hashimoto, T.; Ishihara, F.; Shikata, T.; Morikawa, D.; et al. Validation of tsunami numerical simulation models for an idealized coastal industrial site. Coast. Eng. J. 2022, 64, 302–343. [Google Scholar] [CrossRef]
- Grilli, S. Shoaling of Solitary Waves on Plane Beaches. J. Waterw. Port Coast. Ocean. Eng. 2008, 120, 609–628. [Google Scholar] [CrossRef]
- Zhao, H.; Jeng, D.; Zhang, H.; Zhang, J.; Zhang, H. 2-D Integrated Numerical Modeling for the Potential of Solitary Wave-Induced Residual Liquefaction over a Sloping Porous Seabed. J. Ocean. Eng. Mar. Energy 2016, 2, 1–18. [Google Scholar] [CrossRef]
- Hsieh, C.; Hwang, R.R.; Peng, Y.; Yang, W. Numerical Simulations of Solitary Wave Running and Breaking on a Slopping bed. Isope 2007, 2321–2326. [Google Scholar]
- Liang, D.; Gotoh, H.; Khayyer, A. Boussinesq Modelling of Solitary Wave and N-Wave Runup on Coast. Appl. Ocean Res. 2013, 42, 144–154. [Google Scholar] [CrossRef]
- Zelt, J.A. The Run-up of Nonbreaking and Breaking Solitary Waves. Coast. Eng. 1991, 15, 205–246. [Google Scholar] [CrossRef]
- Abdalazeez, A.; Didenkulova, I.; Dutykh, D.; Denissenko, P. Comparison of dispersive and nondispersive models for wave run-up on a beach. Izv. Atmos. Ocean. Phys. 2020, 56, 494–501. [Google Scholar] [CrossRef]
- Abdalazeez, A.; Didenkulova, I.; Dutykh, D. Dispersive effects during long wave run-up on a plane beach. In Advances in Natural Hazards and Hydrological Risks: Meeting the Challenge: Proceedings of the 2nd International Workshop on Natural Hazards (NATHAZ’19), Pico Island—Azores; Springer: Cham, Switzerland, 2019; pp. 143–146. [Google Scholar]
- Yao, Y.; He, T.; Deng, Z.; Chen, L.; Guo, H. Large eddy simulation modeling of tsunami-like solitary wave processes over fringing reefs. Nat. Hazards Earth Syst. Sci. 2019, 19, 1281–1295. [Google Scholar] [CrossRef]
- Tripepi, G.; Aristodemo, F.; Veltri, P. On-bottom stability analysis of cylinders under tsunami-like solitary waves. Water 2018, 10, 487. [Google Scholar] [CrossRef]
- Isaacson, M. Solitary Wave Diffraction around Large Cylinder. J. Waterw. Port Coast. Ocean Eng. 1977, 109, 121–127. [Google Scholar] [CrossRef]
- Yates, G.T.; Wang, K.H. Solitary Wave Scattering by a Vertical Cylinder. In Proceedings of the The Fourth International Offshore and Polar Engineering Conference, Osaka, Japan, 10–15 April 1994. [Google Scholar]
- Ohyama, T. A Numerical Method of Solitary Wave Forces Acting on a Large Vertical Cylinder. Coast. Eng. 1991, 1990, 840–852. [Google Scholar]
- Isaacson, M. Nonlinear-Wave Effects on Fixed and Floating Bodies. J. Fluid Mech. 2006, 120, 267–281. [Google Scholar] [CrossRef]
- Zhao, M.; Cheng, L.; Teng, B. Numerical Simulation of Solitary Wave Scattering by a Circular Cylinder Array. Ocean Eng. 2007, 34, 489–499. [Google Scholar] [CrossRef]
- Mo, W.; Jensen, A.; Liu, P. Plunging Solitary Wave and Its Interaction with a Slender Cylinder on a Sloping Beach. Ocean Eng. 2013, 74, 48–60. [Google Scholar] [CrossRef]
- Cao, H.; Wan, D. RANS-VOF Solver for Solitary Wave Run-up on a Circular Cylinder. China Ocean Eng. 2015, 29, 183–196. [Google Scholar] [CrossRef]
- Chen, Q.; Zang, J.; Kelly, D.M.; Dimakopoulos, A.S. A 3-D Numerical Study of Solitary Wave Interaction with Vertical Cylinders Using a Parallelised Particle-in-Cell Solver. J. Hydrodyn. 2017, 29, 790–799. [Google Scholar] [CrossRef]
- Alagan, C.M.; Bihs, H.; Myrhaug, D.; Muskulus, M. Breaking Solitary Waves and Breaking Wave Forces on a Vertically Mounted Slender Cylinder over an Impermeable Sloping Seabed. J. Ocean Eng. Mar. Energy 2017, 3, 1–19. [Google Scholar] [CrossRef]
- Biot, M.A. Mechanics of Deformation and Acoustic Propagation in Porous Media. J. Appl. Phys. 1962, 33, 1482–1498. [Google Scholar] [CrossRef]
- Zienkiewicz, O.C.; Chang, C.T.; Bettess, T. Drained, Undrained, Consolidating and Dynamic Behaviour Assumptions in Soils. Geotechnique 1980, 30, 385–395. [Google Scholar] [CrossRef]
- Zhang, Q.; Zhou, X.; Wang, J.; Guo, J. Wave-Induced Seabed Response around an Offshore Pile Foundation Platform. Ocean Eng. 2017, 130, 567–582. [Google Scholar] [CrossRef]
- Jeng, D.S.; Rahman, M.S. Effective Stresses in a Porous Seabed of Finite Thickness: Inertia Effects. Can. Geotech. J. 2011, 37, 1383–1392. [Google Scholar] [CrossRef][Green Version]
- Zhou, X.; Zhang, J.; Wang, J.; Xu, Y.; Jeng, D. Stability and Liquefaction Analysis of Porous Seabed Subjected to Cnoidal Wave. Appl. Ocean Res. 2014, 48, 250–265. [Google Scholar] [CrossRef]
- Liao, C.; Zhao, H.; Jeng, S. Poro-Elasto-Plastic Model for the Wave-Induced Liquefaction. J. Offshore Mech. Arct. Eng. 2015, 137, 042001. [Google Scholar] [CrossRef]
- Tong, D.; . Liao, C.; Jeng, D.; Zhang, L.; Wang, J.; Chen, L. Three-Dimensional Modeling of Wave-Structure-Seabed Interaction around Twin-Pile Group. Ocean Eng. 2017, 145, 416–429. [Google Scholar] [CrossRef]
- Leng, J.; Ye, G.; Liao, C.; Jeng, D. On the Soil Response of a Coastal Sandy Slope Subjected to Tsunami-like Solitary Wave. Bull. Eng. Geol. Environ. 2018, 77, 999–1014. [Google Scholar] [CrossRef]
- Launder, B.E.; Spalding, D.B. The Numerical Computation of Turbulent Flows. Comput. Methods Appl. Mech. Eng. 1974, 3, 269–289. [Google Scholar] [CrossRef]
- Rodi, W. Turbulence Models and Their Application in Hydraulics: A State of the Art Review; International Association for Hydraulic Research, 1984; Available online: https://www.taylorfrancis.com/books/mono/10.1201/9780203734896/turbulence-models-application-hydraulics-wolfgang-rodi (accessed on 14 August 2024).
- Munk, W.H. The Solitary Wave Theory and Its Application to Surf Problems. Ann. N. Y. Acad. Sci. 1949, 51, 376–424. [Google Scholar] [CrossRef]
- Hirt, C.W.; Nichols, B.D. Volume of Fluid (VOF) Method for the Dynamics of Free Boundaries. J. Comput. Phys. 1981, 39, 201–225. [Google Scholar] [CrossRef]
- Maxworthy, T. Experiments on Collisions between Solitary Waves. J. Fluid Mech. 1976, 76, 177–186. [Google Scholar] [CrossRef]
- Chen, Y.Y.; Kharif, C.; Yang, J.H.; Hsu, H.C.; Touboul, J.; Chambarel, J. An Experimental Study of Steep Solitary Wave Reflection at a Vertical Wall. Eur. J. Mech.—B/Fluids 2015, 49, 20–28. [Google Scholar] [CrossRef]
- Byatt-Smith, J.G.B. An Integral Equation for Unsteady Surface Waves and a Comment on the Boussinesq Equation. J. Fluid Mech. 1971, 49, 625–633. [Google Scholar] [CrossRef]
- Su, C.H.; Mirie, R.M. On Head-on Collisions between Two Solitary Waves. J. Fluid Mech. 1980, 39, 781–791. [Google Scholar] [CrossRef]
- Chambarel, J.; Kharif, C.; Touboul, J. Head-on Collision of Two Solitary Waves and Residual Falling Jet Formation. Nonlinear Process. Geophys. 2009, 16, 111–122. [Google Scholar] [CrossRef]
- Sun, J.L.; Wang, C.Z.; Wu, G.X.; Khoo, B.C. Fully Nonlinear Simulations of Interactions between Solitary Waves and Structures Based on the Finite Element Method. Ocean Eng. 2015, 108, 202–215. [Google Scholar] [CrossRef]




















| Water Characteristics | |||
|---|---|---|---|
| Water Depth (h) | 10 (m) | Wave Height (H) | 3 (m) |
| Slopping seabed characteristics | |||
| Density (ρs) | 1850 (kg/m3) | Young’s modulus (Es) | 4.05 × 107 (N/m2) |
| Poisson ratio (vs) | 3.448 | Permeability (kz) | 1 × 10−3 (m/s) |
| Porosity (n) | 0.4 | Degree of saturation (Sr) | 0.98 |
| Monopile characteristics | |||
| Young’s modulus (Em) | 0.5 | Density (ρm) | 2300 (kg/m3) |
| Poisson ratio (vm) | 0.25 | Monopile diameter (D) | 2 (m) |
Disclaimer/Publisher’s Note: The statements, opinions and data contained in all publications are solely those of the individual author(s) and contributor(s) and not of MDPI and/or the editor(s). MDPI and/or the editor(s) disclaim responsibility for any injury to people or property resulting from any ideas, methods, instructions or products referred to in the content. |
© 2024 by the authors. Licensee MDPI, Basel, Switzerland. This article is an open access article distributed under the terms and conditions of the Creative Commons Attribution (CC BY) license (https://creativecommons.org/licenses/by/4.0/).
Share and Cite
Xie, W.; Zhang, Q.; Cai, H.; Fu, M. Numerical Investigation on the Interaction between a Tsunami-like Solitary Wave and a Monopile on a Sloping Sandy Seabed. J. Mar. Sci. Eng. 2024, 12, 1421. https://doi.org/10.3390/jmse12081421
Xie W, Zhang Q, Cai H, Fu M. Numerical Investigation on the Interaction between a Tsunami-like Solitary Wave and a Monopile on a Sloping Sandy Seabed. Journal of Marine Science and Engineering. 2024; 12(8):1421. https://doi.org/10.3390/jmse12081421
Chicago/Turabian StyleXie, Wenbo, Qi Zhang, Hao Cai, and Miao Fu. 2024. "Numerical Investigation on the Interaction between a Tsunami-like Solitary Wave and a Monopile on a Sloping Sandy Seabed" Journal of Marine Science and Engineering 12, no. 8: 1421. https://doi.org/10.3390/jmse12081421
APA StyleXie, W., Zhang, Q., Cai, H., & Fu, M. (2024). Numerical Investigation on the Interaction between a Tsunami-like Solitary Wave and a Monopile on a Sloping Sandy Seabed. Journal of Marine Science and Engineering, 12(8), 1421. https://doi.org/10.3390/jmse12081421

